Усилители низкой частоты
Усилители низкой частоты (УНЧ) являются относительно простыми устройствами по своей структуре и вместе с тем весьма сложными для оценки. До сих пор не существует объективных параметров для их сравнения и пока непонятно, возможно ли это в принципе. Так, до сих пор не утихают споры между сторонниками и противниками ламповых усилителей. Но, поскольку усилители все же надо как-то оценивать, то давайте поближе познакомимся с их классификацией и общепринятыми параметрами, применяемыми для их оценки. Мы не будем затрагивать другие виды усилителей, кроме усилителей мощности низкой частоты переменного тока и именно их будем иметь в виду под аббревиатурой УНЧ, хотя многие параметры одинаковы для всех видов усилителей.
Абсолютно необходимо упомянуть о том, что мы будем рассматривать усилители, предназначенные для качественного воспроизведения звука, поэтому все оценки усилителей и их параметров, типа лучше-хуже, будут исходить именно из этого критерия. Идеалом является Hi-End, классический Hi-End в инженерном, а не аудиофильском понимании этого слова, развитие старого доброго Hi-Fi — высокая верность воспроизведения в терминах технических параметров и научных терминов, измеряемая и воспроизводимая.
Эти лекции полностью посвящены интегральным усилителям низкой частоты. Никто не знает, что будет завтра, но сегодня не существует таких интегральных УНЧ, которые могли бы по качеству воспроизведения сравниться с усилителями на дискретных элементах. Их достоинства — это низкая стоимость (в тысячи и десятки тысяч раз), малые габариты и простота использования. Есть и еще ряд достоинств, возникающих благодаря технологии производства. Такой идентичности параметров транзисторов дифференциальных пар как у тех, которые выращены на одном кристалле, на дискретных элементах добиться невозможно. Автоматический контроль за тепловыми и электрическими режимами важнейших силовых структур, находящимися на одном кристалле со всей остальной схемой — легко и просто. Все преимущества и весь опыт, накопленный в процессе производства операционных усилителей, к вашим услугам. Недостаток интегральных УНЧ — это, прежде всего, затрудненный отвод тепла и сложность работы с большими и малыми токами одновременно на одной подложке. Кроме того, при их разработке не ставится задача добиться чего-то эксклюзивного. Это, прежде всего дешевый массовый продукт, позволяющий легко, дешево и удобно получать прекрасные результаты.
Для того чтобы было легче понять, о чем идет речь, необходимо вспомнить ряд общих вопросов. Специалисты, безусловно, могут этого не читать, но большинству читателей хотелось бы освежить в памяти ряд вопросов, тем более, что современной литературы по данному вопросу на русском языке немного. Для начинающих эти вопросы, наверное, покажутся недостаточно полно освещенными, но ведь это и не учебник.
Основные параметры усилителей
Усилителем электрических сигналов называется устройство, которое за счет энергии источника питания обеспечивает увеличение амплитуды тока и/или напряжения на выходе, по сравнению с входным сигналом, не изменяя его формы. Наверное, это не самое лучшее определение, но для наших целей вполне пригодно (кстати, абсолютно корректных определений я не встречал). Уже из определения можно сделать ряд выводов. Часто говорят об усилителях напряжения, усилителях тока и усилителях мощности. В принципе это не совсем корректные выражения. Их можно употреблять, говоря о главой задаче данного усилителя или о конкретной нагрузке. Когда мы говорим об УНЧ, то всегда имеем ввиду усиление мощности В каких единицах измеряется усиление? На сегодняшний день общепринятым мировым стандартом являются децибелы (дБ). Впервые децибелы были введены в практику для обозначения отношения мощностей.

Это связано с тем, что громкость для человеческого уха воспринимается как прямое увеличение интенсивности акустического воздействия (т.е. выходной мощности усилителя), а как ее логарифм. Считалось, что децибел —это минимальная различимая человеком величина. Сегодня общепринятой нормой стало принимать за минимальную чувствительность уха величину 0,5 дБ. Из эгого и следует исходить, оценивая различные характеристики усилителей. Несколько позже децибел стал применяться и для обозначения просто отношения напряжений, хотя это и не совсем корректно, а потоми других величин. Из сказанного следует и такой вывод: усилитель, мощность которого в 10 раз больше, звучит громче всего в два раза. Это надо помнить при выборе выходной мощности усилителя.
Коэффициент усиления по напряжению для усилителей определяется при синусоидальном входном сигнале как отношение выходного напряжения к входному и, вообще говоря, является комплексной величиной, зависящей от частоты.

В технике под коэффициентом усиления понимается его модуль.

где Uo — выходное напряжение, aUiN — входное напряжение.
Измерения коэффициента усиления, как и всех остальных параметров усилителя или любого другого прибора, производятся при заранее оговоренных производителем условиях и не всегда эти условия одинаковы для разных производителей.
Коэффициент усиления по току определяется так же, как и по напряжению, но эта характеристика УНЧ применяется редко, так же как и коэффициент усиления по мощности, поэтому в дальнейшем, под коэффициентом усиления будем понимать именно коэффициент усиления по напряжению.
Коэффициент усиления (любой) не является величиной постоянной, а зависит от многих факторов. В частности он зависит от частоты входного сигнала. Зависимость коэффициента усиления от частоты является одной из важнейших характеристик усилителя и называется амплитудно-частотной характеристикой (АЧХ) или полосой пропускания (frequencyresponse).
Идеальный усилитель имеет абсолютно плоскую АЧХ, однако реальные усилители далеки от этого. Все усилители имеют спад АЧХ в области высоких частот по ряду причин, главной из которых являются ограниченные частотные свойства активных элементов: транзисторов, ламп и т.п. Многие усилители имеют спад в области низких частот, обусловленный влиянием разделительных емкостей. Следует заметить, что для УНЧ идеальной характеристикой является вовсе не прямая линия. Для них представляет интерес лишь диапазон от16 Гц до 20 кГц, т.е. диапазон звуковых колебаний, который слышит человеческое ухо. Лишние частотные области, в которых нет полезного сигнала, а присутствуют только шумы, как от внутренних, так и от внешних источников, только ухудшают работу усилителя, уменьшая его КПД, а высокочастотная область, в случае не слишком удачных схемных решений, даже представляет некоторую опасность для выходных каскадов и акустики при возникновении автогенерации. Однако в усилителях высокого класса некоторый запас по частоте необходим по ряду причин, как психоакустического, так и технического характера. Поэтому верхняя граница идеальной характеристики устанавливается в районе 25...50 кГц. Абсолютного стандарта здесь нет. Можно только сказать, что если характеристика конкретного прибора выходит за эти рамки, то ее искусственно ограничивают. В некоторых случаях эту область сужают гораздо больше, если выходное устройство принципиально не может воспроизводить весь частотный спектр, как, например, мегафон или телефон, или данная область содержит большое количество помех от внешних источников, как в автомобильной технике.
Выглядят АЧХ по-разному даже в пределах информации, предоставляемой одним разработчиком. Иногда это график зависимости коэффициента усиления от частоты, иногда — затухание выходного сигнала. Встречается и нормированные характеристики, когда по оси Y откладывается отношение выходного напряжения или коэффициента усиления к этой же величине, замеренной на средней частоте. Последнее время широкое распространение получил термин POWERBANDWIDTH (BW),to есть полоса пропускания по мощности. Самое главное при оценке этих характеристик помнить, что граница АЧХ определяется по уровню 0,5 от уровня на средних частотах, если это мощностная характеристика (т.е. по уровню —3 дБ) и по уровню 0,707 (или —6 дБ), если это напряжение. Поскольку у современных усилителей эти характеристики весьма равномерны, то чаще всего их графики даже не приводятся, а просто даются табличные данные о полосе пропускания или о граничных частотах, т.е. о тех частотах, на которых спад АЧХ достигает упомянутых выше величин. Так, различаются верхняя и нижняя граничные частоты (fн, fL).
Второй характеристикой комплексного коэффициента усиления является фазовый сдвиг (phaseshift), вносимый усилителем. Зависимость фазового сдвига от частоты сигнала называется фазочастотной характеристикой усилителя или просто фазовой характеристикой. Поскольку такая зависимость всегда имеет место, это означает, что различные спектральные составляющие проходят через усилитель за разное время, что приводит к искажению формы выходного сигнала. Фазовые характеристики никогда не приводятся ни для интегральных усилителей, ни для готовых изделий, т.к. их измерение чрезвычайно сложно и нет общих стандартов для проведения таких измерений. Кроме того, нет единого мнения о том, как фазовые искажения влияют на восприятие акустических сигналов, и потому нет единых требований. Все искажения формы сигнала, описываемые частотными и фазовыми характеристиками, являются линейными, т.е. могут быть описаны функциями вида

где А и В — постоянные величины. Это связано с тем, что они вызваны линейными реактивными элементами и соответственно не приводят к появлению новых составляющих в спектре сигнала, а только изменяют соотношение фаз и амплитуд существующих.
Выходная мощность усилителя является самым известным и популярным у потребителя параметром усилителя. Параметр казалось бы абсолютно однозначный и не допускающий различных толкований. Но это только на первый взгляд. Многие третьесортные производители в целях рекламы своей продукции приводят самые невероятные значения мощности, выраженные в абсолютно непонятных единицах и неизвестным способом замеренные. Примером служат разнообразные пиковые мощности PMPO (PeakMusicPowerOutput) наиболее часто встречающиеся на подделках китайского производства — единица, не имеющая под собой никакого физического смысла. Некоторые изделия-рекордсмены ухитрялись иметь, по свидетельству очевидцев, маркировку 480 W РМРО, тогда как реальная мощность едва переваливала за 5 Вт!
Выходная мощность (OutputPower, PO) усилителя, часто имеющая при себе некорректную приставку RMS (RootMeanSquare, т.е. среднеквадратическая) представляет собой произведение эффективных (тех самых RMS) значений выходного тока и напряжения. Напомню, что эффективным или действующим значением синусоидального напряжения
где Ua — амплитудное значение. Некорректность заключается в том, что, говоря о мощности, ничего другого, кроме произведения эффективных значений, никогда в виду не имеют, а если говорят о каких-то специальных вещах, то называют конкретный термин, например «импульсная мощность» или «музыкальная мощность». Последний термин представляет интерес и часто встречается в технической документации. Согласно стандарту IEC 283-3 от января 1983 года, под музыкальной мощностью следует понимать максимальную мощность, которую может развивать усилитель на конкретной нагрузке в течение 1 секунды при входном синусоидальном сигнале с частотой 1 кГц, независимо от величины нелинейных искажений. SGS-THOMSON предлагает следующую методику измерения этого параметра. Температура окружающего воздуха всегда предполагается равной 25°С, если не оговорено иное.
1. Установить питающее напряжение усилителя на 10% ниже максимально допустимого рабочего напряжения.
2. Подать на вход синусоидальный сигнал с частотой 1 кГц в виде пачек длительностью 1 с периодом повторения более 60 с.
3. Замерить выходное напряжение через 1 с после начала импульса.

4. Увеличить входное напряжение до появления нелинейных искажений и довести их уровень до 10%.
5. Замерить выходное напряжение и подсчитать выходную мощность по формуле

где Vo — выходное напряжение по п. 4, aRL — сопротивление нагрузки. Такая методика позволяет проводить измерения, не опасаясь тепловых эффектов.
Данный параметр имеет определенный смысл, как некоторый резерв мощности усилителя. Дело в том, что даже если вы слушаете очень тяжелую музыку на максимальной громкости, средняя мощность, тем не менее, далека от максимальной, благодаря большому динамическому диапазону музыкального сигнала. По разным данным она составляет от 20 до 40% от максимальной, однако некоторые фрагменты могут превышать максимальный уровень. Музыкальная мощность позволяет, например, количественно оценить запас мощности, который вы имеете при прослушивании композиций с большим динамическим диапазоном.
Изложенная методика позволяет не только измерить мощность, но и представить себе, какие основные условия нужны для сопоставимой оценки этого параметра. Это, прежде всего, напряжение питания, параметры входного сигнала, сопротивление нагрузки и коэффициент нелинейных искажений. Несоответствие этих параметров приведет к несопоставимым результатам.
Существует также стандарт измерения мощности EIAJ (ElectronicIndustriesAssociationofJapan — Ассоциация электронной промышленности Японии). В нем, в частности, применяется иной ряд напряжений питания, чем у американцев, а выходной сигнал представляет собой насыщенный меандр. Такой сигнал уже ничего общего с музыкальным не имеет и, по-видимому, призван оценить, в какой мере усилитель может заменять собой электроплитку. Очень похожий параметр, называемый максимальной выходной мощностью иногда встречается и у SGS.
Выходная мощность всегда измеряется на активной нагрузке. Это обязательно нужно помнить, так же как и то, что динамики активной нагрузкой не являются. Реактивная нагрузка для усилителя, вообще говоря, это плохо. Чем больше реактивность, тем меньше КПД усилителя, т.к. реактивные токи точно так же выделяют тепло на переходах, но никакой полезной работы не производят. Кроме того, реактивности нарушают режим работы усилителя и могут стать причиной его самовозбуждения, хотя на активной он будет вести себя вполне прилично.
Перейдем теперь к тем параметрам усилителя, которые встретились нам при обсуждении выходной мощности.
Сопротивление нагрузки (LoadResistance, RL) также является важным параметром усилителя. Некоторые виды усилителей рассчитаны на определенное сопротивление нагрузки, другие допускают его изменение в довольно широких пределах. В усилителях выходное сопротивление стараются сделать крайне малым, прежде всего для того, чтобы иметь возможность работать на низкоомную нагрузку и при этом осуществлять ее демпфирование. Это необходимо для того, чтобы убрать паразитные колебания диффузора динамика, возникающие из-за наличия упругих элементов конструкции. Применяются, конечно, и акустические демпфирующие устройства, но роль усилителя тоже весьма важна. Существует такой параметр, как коэффициент демпфирования (DampingFactor), который равен отношению сопротивления нагрузки к внутреннему сопротивлению усилителя. Особенно важен этот параметр при оценке поведения на низких частотах, т.к. средне- и высокочастотные динамики в электрическом демпфировании не нуждаются ввиду большого сопротивления воздуха на этих частотах и малой амплитуды колебаний диффузора.
Рекомендуемое сопротивление нагрузки обязательно приводится во всех спецификациях всех производителей, зато выходное сопротивление усилителя в интегральном исполнении практически нигде не встречается.
С выходной мощностью непосредственно связаны еще два параметра, а именно рассеиваемая мощность и КПД. Рассеиваемой мощностью (TotalPowerDissipation, Ptot) называется разность между суммарной мощностью, потребляемой усилителем от всех источников питания и выходной мощностью, замеряемой непосредственно на выходных клеммах усилителя. Рассеиваемая мощность потому так и называется, что должна быть рассеяна усилителем в окружающее пространство, чаще всего при помощи теплоотвода, т.к. площадь корпуса микросхемы слишком мала, чтобы полностью отвести тепло от кристалла. Тепловую схему интегрального усилителя можно представить себе в виде генератора напряжения Тj и сопротивлений RthjcaseRthj-amb и Rthhs* Поскольку эти сокращения встречаются везде, поясним, что они означают. Слова junction, case, heatsinkambient и thermal означают переход (имеется в виду полупроводниковая структура, т.е. в нашем случае — кристалл), корпус, теплоотвод, окружающая среда и прилагательное тепловой(ое) соответственно, ну а в условных обозначениях они соответственно сокращены. Таким образом, вышеупомянутые сопротивления — это тепловые сопротивления (ThermalResistance, Rth) переход-корпус (микросхемы, конечно), переход окружающая среда (воздух) и тепловое сопротивление собственно теплоотвода (радиатора). Tj — это температура самого кристалла. Rthj_amb самое большое среди всех, определяется исключительно параметрами корпуса и составляет 15...80°С/Вт. Его надо учитывать, только если прибор используется без радиатора. Для тех же корпусов Rthj.case будет составлять величину 1... 15°С/Вт соответственно, что на полтора порядка ниже. Тепловое сопротивление радиатора надо подсчитать самостоятельно, обязательно с учетом того, что между корпусом и радиатором тепловое сопротивление отнюдь не равно нулю, а при наличии плохой изолирующей прокладки может превышать 3°С/Вт. В справочных листках приводится такой параметр, как максимальная температура кристалла (Tj). Следует иметь в виду, что если кристалл нагрет до этой температуры, то дальнейшая работа усилителя невозможна, т.к. любой сколько-нибудь заметный ток приведет к повышению этой температуры и к разрушению микросхемы. Обычно интегральные усилители, имеющие тепловую защиту, при достижении данной температуры отключают усилитель полностью, либо переводят его в режим с отключенными оконечными каскадами. Об этих режимах поговорим несколько позже.
Любая микросхема и любой транзистор имеют ограничения по рассеиваемой мощности и необходимо учитывать, что с повышением температуры, максимальная рассеиваемая мощность снижается. Часто в справочных данных приводится степень снижения рассеиваемой мощности (DeratingFactor) при превышении определенной температуры, выраженная в ваттах на градус (Вт/°С). Чтобы получить значение реальной рассеиваемой мощности, необходимо умножить разницу температур на упомянутый коэффициент, а результат вычесть из паспортной мощности.
Коэффициентом полезного действия (КПД) называется отношение выходной мощности усилителя к общей мощности, потребляемой им от всех источников питания. Измеряют его обычно на частоте 1 кГц, Для большинства интегральных усилителей он составляет примерно 0,6...0,7 при максимальной мощности. Это связано с тем, что они практически все относятся к классу АВ. Исключение составляют так называемые усилители класса D и Т, у которых он может превышать величину 0,9, при теоретическом максимуме равном единице. КПД всех усилителей зависит от выходной мощности.
Поговорим теперь о нелинейных искажениях. Нелинейными они называются потому, что образуются в результате прохождения через цепи, описываемые нелинейными функциями. Такими, к сожалению, являются все без исключения усилительные элементы, все полупроводниковые элементы, магнитопроводы и многие другие изделия, используемые в усилителях. Главная неприятность заключается в том, что при прохождении гармонического сигнала через такие цепи, его спектр обогащается за счет составляющих, которых не было в исходном сигнале. Если эти составляющие являются гармониками основного тона, то есть частотами, в целое число раз превосходящими основную частоту, то такие изменения спектра называются гармоническими нелинейными искажениями и в музыкальном сигнале воспринимаются как не раздражающие. Музыкальный звукоряд построен на октаве, т.е. на удвоении частоты. Поэтому гармоники основного тона — это те же ноты, но взятые на октаву или несколько октав выше. Самое печальное в том, что нелинейные элементы выполняют функцию смесителей. После прохождения такого «смесителя» в спектре сигнала образуются суммарные и разностные частоты основных тонов, а они вовсе не собираются укладываться в стандартный музыкальный звукоряд. Диссонансные компоненты (не поворачивается язык назвать их гармониками) в количестве, на порядок меньшем, чем консонансные, вызывают гораздо более неприятные ощущения, чем последние. Такие искажения называются интермодуляционными (IntermodulationDistortion, ID).
Линейные искажения в принципе обратимы. Достаточно пропустить сигнал через цепи с обратными характеристиками, и он будет полностью восстановлен. Очень часто сигнал заранее подвергают линейным предыскажениям (preemphasise, премфазис), чтобы компенсировать те искажения, которые он получит, пройдя через конкретную цепь. Для нелинейных цепей полностью это сделать невозможно, да и то, что можно сделать, делается сложно, а чаще — очень сложно. Остается пытаться всеми способами линеаризировать цепь, чтобы свести искажения к минимуму. Очень большую роль в этом процессе играют общие и местные обратные связи (Feedback).
Параметров, отражающих способность усилителя портить сигнал, довольно много. Важнейшими из них являются: коэффициент нелинейных искажений, коэффициент интермодуляционных искажений, скорость нарастания выходного сигнала и переходная характеристика усилителя.
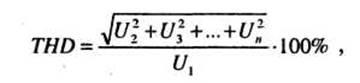
Перейдем теперь к наиболее интересному параметру усилителя, а именно к коэффициенту нелинейных искажений — THD (TotalHarmonicDistortion), иногда просто d. Часто его еще называют коэффициентом гармоник.

где Ui — амплитудное значение основного сигнала, aU2...Un — амплитуды соответствующих гармоник. Этот показатель является важным, но не определяющим в оценке усилителя. Еще лет десять назад впечатляющей могла показаться цифра 0,1%, а сегодня никого не удивит и 0,001%. Тем не менее, может оказаться, что усилитель с более высокими искажениями звучит гораздо приятнее. Подчеркнем еще раз, что на сегодняшний день никто не знает, какой параметр является ключевым в оценке усилителя. Более того, не существует такого параметра! Тем не менее, битва за THD продолжается. Несомненно, что чем он ниже — тем лучше в рамках той же концепции высокой верности воспроизведения.
Для интегральных усилителей этот показатель пока не достиг таких высот, но и в этой области прогресс несомненен. В этом справочнике вы найдете усилители с THD = 0,005%, например TDA7293 имеет такой показатель при мощности до 5 Вт. Существуют усилители, у которых THD еще ниже. Принято считать приемлемым THD = 1...3% при максимальной громкости воспроизведения. Показатель THD = 10%, который очень часто встречается в справочных данных, говорит только о том, что в данном режиме усилитель представляет собой низкокачественный скремблер, а вовсе не УНЧ.
У всех усилителей с ростом мощности этот показатель растет, поэтому в справочных, данных всегда приводятся условия, при которых он замеряется. Растет он и с увеличением частоты входного сигнала. Как правило, приво-дятся графики зависимости его от частоты, мощности и нагрузки.
При рассмотрении зависимости коэффициента нелинейных искажений от мощности и частоты, можно заметить, что, начиная с некоторого значения, график резко поворачивает в сторону увеличения THD. Не следует этого сильно пугаться. Как уже отмечалось, музыкальный сигнал никогда не воспроизводится на полной мощности. Средний уровень громкости всегда на 10...20 дБ ниже, а кратковременные фрагменты с большим уровнем гармоник будут практически незаметны. Что касается частоты, то доля высоких частот на самом деле довольно мала. Примерно половина всей мощности приходится на частоты ниже 500 Гц. Искажения же замеряются на синусоидальном сигнале определенной частоты, чего в реальности не бывает. При сравнении усилителей, всегда в первую очередь сравнивайте условия измерений. Если они отличаются, то абсолютные значения показателей ничего не дадут. Сомнения должны возникнуть, когда значение THD приводится для маленького входного сигнала или для малой выходной мощности. Это, скорее всего, означает, что при больших сигналах показатель будет выглядеть очень плохо и лучше его не демонстрировать.
Коэффициент интермодуляционных искажений (IMD) еще более важный показатель усилителя, т.к. в большей степени, чем THD характеризует нелинейность тракта усиления, и, наверное, по этой причине никогда не приводится в технических характеристиках интегральных усилителей. Для аппаратуры классов Hi-Fi и выше он приводится также достаточно редко.

где U1 и U2 — амплитудные значения синусоидальных сигналов с частотами f1 и f 2, а 12 • — амплитуда разностного ил и суммарною сигналов

Понятно, что выбор частот и амплитуд является очень* важным параметром, иначе сравнить результаты будет невозможно. В стандарте DIN4550&, который является общепризнанным для Hi-Fi аппаратуры принято f, *= 250 Гц, f 2 = 8 кГц, U1 = 0,25U2, и конечно амплитуды выбираются таким образом, чтобы THD был минимальным. Надо отметить, что, как и в случае с коэффициентом гармоник, возникает, вообще говоря, бесконечное множество комбинационных частот вида nf1 ± mf2, а их амплитуды тем выше, чем выше нелинейность системы.
Очень простой и понятной характеристикой является скорость нарастания выходного сигнала SR (SlewRate). Она измеряется в вольтах на микросекунду (В/мкс) и понимается буквально, т.е. усилитель не может воспроизвести слишком крутой перепад напряжения. На выходе вместо прямоугольного сигнала мы получим трапецеидальный, причем наклон трапеции численно равен максимальной скорости нарастания. Связь между частотой, выходным напряжением и скоростью нарастания проста:

где f — частота (МГц), U — амплитуда неискаженного напряжения (В). Скорость нарастания должна приводиться для наихудшего случая, каковым для операционного усилителя является повторитель, а для обычного — наи- меньший возможный коэффициент усиления, т.к. в этом режиме усилитель нуждается в наиболее сильной частотной коррекции.
Сквозная передаточная характеристика усилителя представляет собой зависимость выходного напряжения от входного. В справочниках она приводится редко, т.к. недостаточно информативна в связи с наличием огромного количества факторов, влияющих на результат. В технических характеристиках иногда попадается простейшая разновидность ее — амплитудная характеристика. Она снимается при воздействии на вход усилителя синусоидального сигнала. Идеальная характеристика должна представлять собой прямую линию, выходящую из начала координат. Угол ее наклона — это коэффициент усиления. Прежде всего, реальная характеристика не только не начинается там, где ей положено, в начале координат, а вообще до нуля не доходит. В этом районе сосредоточены все шумовые свойства усилителя, Нелинейность начального участка характеристик усилительных элементов, тепловые дрейфы, наводки и помехи, фон и многое другое. Нетрудно догадаться, что динамический диапазон усилителя (DynamicRange), под которым понимается отношение максимального выходного (входного) неискаженного напряжения к минимальному, определяется именно этим участком, а вовсе не максимальным выходным напряжением. Измерения как обычно идут на частоте 1 кГц.

Поскольку употреблено слово «неискаженного», то в условиях измерения обязательно должно быть указано, что это значит. Если речь идет о величинах более 1...3%, то можно смело сократить приведенную величину минимум вдвое. Нас не интересует диапазон хрюканья» а поскольку мы уже знаем, что на высоких частотах и при сложном сигнале искажения всегда увеличиваются, можно легко понять, как это будет выглядеть в реальных условиях. Динамический диапазон человеческою уха составляет порядка 120 дБ, диапазон звукозаписывающей аппаратуры реально не выходит за пределы 70 дБ.
По мере приближения амплитуды выходного сигнала к уровню питающего напряжения, начинается процесс клонирования, т.е. обрезания верхней части сигнала. Этот процесс сопровождается потерей информации и резким увеличением THD и IMD. Наиболее часто эти явления встречаются в переносной и автомобильной аппаратуре, где остро стоят вопросы ограниченного питающего напряжения и есть желание продекларировать наивысшую мощность, так сказать, не прикладная рук. Приведенные в настоящем руководстве интегральные усилители выпускаются солидными производителями с мировыми именами, все необходимые для разработчика параметры приведены в достаточном объеме и при грамотном использовании этих микросхем, такие вопросы не должны возникать. Многие производители, и SGS в том числе, вводят так называемый режим мягкого ограничения (Softlimiter), когда токи транзисторов выходного каскада постепенно ограничиваются, не позволяя им войти в насыщение.
Более информативной характеристикой является импульсная переходная характеристика. На вход испытуемого усилителя подается прямоугольный импульс. В таком случае, о зависимости от входного напряжения можно говорить, как о параметрической, а в качестве аргумента использовать время. Если по оси абсцисс откладывать не абсолютное значение выходного напряжения, а отношение текущего значения к установившемуся, то такая нормированная характеристика уже пригодна для сравнения различных усилителей. Посмотрев на внешний вид переходной характеристики, читатель, знакомый с теорией автоматического регулирования сразу ее узнает. Не удивительно, т.к. усилитель, охваченный обратной связью (ОС), представляет классический объект для этой теории, и для описания его применяются, естественно, те же термины.
УНЧ, особенно в интегральном исполнении, мало чем отличается от обычного операционного усилителя. Некоторые типы усилителей даже имеют вы-воды инвертирующего и неинвертирующего входов. Поэтому все, что справедливо для операционных усилителей, годится и для УНЧ. Различие заключается только в одном: все операционные усилители, но далеко не все интегральные УНЧ, являются усилителями постоянного тока.
Определим сейчас ряд параметров, которые понадобятся для обсуждения вопросов ОС. Все параметры зависят от условий измерения.
Коэффициентом усиления по напряжению при разомкнутой петле обратной связи GV или А называется отношение выходного напряжения к входному, неважно амплитудное или действующее, при отсутствии ОС. Если данный усилитель не допускает, по техническим условиям, изменения коэффициента усиления, то приводится коэффициент усиления с имеющейся внутренней обратной связью. Обозначается он также, но при этом про обратную связь ничего не говорится. Иногда приводятся оба коэффициента.
Коэффициент усиления с увеличением частоты всегда падает, поэтому в справочниках часто приводится частота единичного усиления fT (UnityGainBandwidth). Как следует из названия, это частота, на которой усиление равно единице. Практически у всех современных усилителей (о ламповых говорить не будем) на входе используется дифференциальный каскад. Это объясняется его свойствами, которые при применении в интегральных схемах делают дифференциальный каскад еще более привлекательным. Наиболее важными являются стабильность режима, возможность последовательного соединения без переходных конденсаторов, малые искажения и, наконец, способность выделять малый дифференциальный сигнал Ud на фоне большого синфазного (CommonMode, CM) сигнала UCM. Основой схемы дифференциального усилителя является пара эмиттерно связанных транзисторов, обычных или полевых. Реальные схемы значительно сложнее, но их рассмотрение не входит в нашу задачу. Понятно, что для работы схемы необходимо протекание базовых токов транзисторов, что обусловливает наличие конечного входного сопротивления. В связи с этим возникает параметр, называемый входным токам смещения (InputBiasCurrent, Iib). Он определяется, как постоянный ток, необходимый для управления входными каскадами усилителя к замеряется при нулевом выходном напряжении.

Входной ток смещения стремятся сделать как можно ниже, для чего применяют супер-Ь транзисторы и очень маленькие токи коллекторов. За это приходится расплачиваться низким коэффициентом усиления входного каскада и малой скоростью нарастания выходного напряжения.
Для усилителей часто приводится максимальное синфазное входное напряжение Vicm, которое определяется как максимально допустимое синфазное напряжение, приложенное ко входу, при котором работа выходного каскада не нарушается (PHILIPS). Как правило, можно считать, что допустимое синфазное напряжение на 3...4 В ниже напряжения питания, если в спецификации не оговорено иное.
Входные токи смещения всегда отличаются друг от друга, пусть и ненамного, но ввиду высокого входного сопротивления и достаточно высокого коэффициент усиления, на выходе получается некоторый сигнал ошибки U = GV(I1 — I2)rj. Здесь rj — внутреннее сопротивление усилителя синфазному сигналу (InputResistance), определяемое по закону Ома для любого из входов, когда второй заземлен, а выходное напряжение равно нулю, а I1 - I2 = Iia— разность входных токов (InputOffsetCurrent). Часто возникает путаница из-за того, что Bias и Offset переводятся как «смещение», aIJb и 1^ слабо отличаются по виду, да и происхождение у них одно — физическое различие между парными транзисторами. Поэтому в литературе встречается и выражение «сдвиг», применительно к термину Offset. Тогда говорят о входном напряжении сдвига или о входном токе сдвига.
Помимо синфазного входного сопротивления, различают дифференциальное входное сопротивление rid (DifferentialInputResistance), которое измеряется по закону Ома между двумя незаземленными входами усилителя в режиме малого сигнала. Синфазное сопротивление всегда значительно больше дифференциального.
Дифференциальное входное напряжение определено кaк напряжение, прикладываемое между входами усилителя, а максимальное дифференциальное входное напряжение это то, которое может выдержать данный усилитель без повреждения внутренних цепей.
Дифференциальный коэффициент усиления Кd — это отношение приращения сигнала на выходе к вызвавшему его приращению дифференциального входного напряжения. Вводится для дифференциального усилителя. Одновременно с ним определяется коэффициент усиления синфазного сигнала Ks, как отношение приращения выходного напряжения к приращению входного синфазного сигнала. В идеальном усилителе этот коэффициент строго равен нулю. Реальные усилители, даже после специальной операции по симметрированию, имеют различные коэффициенты усиления для инвертирующего и неинвертирующего входов. Численно Ks равен разности этих коэффициентов. В справочниках ни Кd, ни Кs для УНЧ никогда не приводятся. Дело в том, что для них Кd и GV это одно и то же, aKs неинтересен как таковой. Разработчиков усилителей интересует совсем другой параметр — коэффициент ослабления синфазного сигнала CMRR (CommonModeRejectionRatio, рус. КОСС), который представляет не что иное, как отношение KD/KS.
CMRR, как правило, имеет достаточно большую величину порядка 60...100 дБ. Но как все параметры усилителя, носит комплексный характер, благодаря наличию паразитных емкостей и уменьшается с ростом частоты. Частота среза для CMRR значительно ниже, чем для Кd, из-за того, что в первом случае в качестве сопротивления RC-цепочки выступает коллекторная нагрузка дифференциального каскада, а во втором — большое внутреннее сопротивление источника тока. Наиболее полно реализовать преимуществa которые дает разработчику большой CMRR, можно при использовании дифференциального входа усилителя, но далеко не все УНЧ имеют такую возможность. У многих интегральных усилителей, неинвертирующий вход не имеет своего вывода.
Особенности схемотехники интегральных УНЧ
Здесь мы вкратце напомним основные понятия, необходимые для понимания работы усилительной техники. Говорят, что некоторая система или часть системы охвачены обратной связью по данному параметру (ОС рус. или feedbackF), если отклик системы на внешнее воздействие, является, частично или полностью, внешним воздействием для этой системы, по этому же параметру. Для усилителей такими параметрами являются чаще всего ток или напряжение. Различают соответственно общие и местные обратные связи. Могут одновременно существовать несколько обратных связей разного рода. Если воздействие обратной связи направлено на усиление внешнего воздействия, то такая связь называется положительной (ПОС, PositiveFeedback, PF), если наоборот, то отрицательной (ООС рус, NegativeFeedback, NF). Если воздействие обратной связи равно отклику системы, то такая связь называется 100% (стопроцентной). Существует еще много разновидностей и классификаций обратных связей. Отметим, что, строго говоря, положительной или отрицательной обратная связь может быть названа только в условиях определенного частотного диапазона. При повышении частоты коэффициент обратной связи, являющийся комплексной величиной, может изменить свой характер, положительная связь может стать отрицательной и наоборот.
Если на частоте fT (частота единичного усиления) фазовый сдвиг превышает 180*, то обратная связь на этой частоте становится положительной. Понятно, что система нуждается в коррекции. Видов и способов коррекции очень много. Одним из способов заключается в том, чтобы использовать
усилитель при относительно большом коэффициенте усидения. Для интегральных УНЧ очень характерным является требование минимально допустимого коэффициента усиления, приводимое в технических условиях. Оно вызвано тем, что запас устойчивости при уменьшении коэффициента усиления падает. Для каждого усилителя приводятся оптимальные способы его коррекции, если она необходима, и желательно придерживаться этих рекомендаций. Общепринятым является мнение, что правильно скорректированный усилитель должен иметь запас по фазе порядка 65°. В этом случае его переходная характеристика будет иметь небольшой выброс и оптимальную крутизну фронтов. Значения порядка 90° означают недостаточный запас по частоте и соответствующее затягивание фронтов и спадов. Такие усилители применяются в системах управления, где перерегулирование по каким-то причинам недопустимо, а не в УНЧ. Значения меньшие 45° применять не рекомендуется, т.к. устойчивость легко нарушается при изменении параметров нагрузки, а поскольку она в нашем случае имеет резко выраженный реактивный характер, запас надо иметь как можно больше.
Рассматривая усилитель, не следует забывать о том, что он находится не в абстрактном пространстве, а на печатной плате и окружен навесными элементами и связан с другими устройствами. Проводники печатной платы обладают заметными индуктивностями и емкостями и вполне могут создавать паразитные обратные связи. Источник питания вещь вообще особая и заслуживает специального рассмотрения. Для некоторых усилителей приводятся рекомендуемые разводки печатных плат, для которых все это более менее учтено, в том числе и развязка по питанию. Вполне может оказаться, что при каком-то конкретном рисунке печатной платы придется применять специальные меры для обеспечения устойчивой работы устройства, в то время как для другого рисунка ничего этого не понадобится.
Не следует упускать из виду и навесные элементы, которые часто являются не совсем такими, какими нам бы хотелось их видеть. Так конденсаторы часто обладают заметной индуктивностью, емкость у них часто зависит от частоты. Например, у обычного электролитического конденсатора очень ограничен частотный диапазон, за пределами которого он представляет собой , в основном сопротивление утечки, а бумажные конденсаторы заметно индуктивно. Индуктивностью обладают и резисторы.
Очень важно также применение деталей с высокой температурной стабильностью. В этом смысле надо обращать особое внимание на конденсаторы, так как может оказаться, что при некотором повышении температуры усилитель начнет самовозбуждаться или самовыражаться какими-нибудь другим способом и все это из-за высокого температурного коэффициента какой-нибудь емкости. Подробное обсуждение свойств навесных элементов не входит в нашу задачу, я только хотел призвать к внимательному подбору комплектации. Не случайно во многих описаниях Содержатся рекомендации по подбору комплектующих для усилителя. Делать же окончательные выводы можно лишь после того, как полностью собранное устройство пройдет хотя бы элементарные температурные испытания. Собственно говоря, средства для таких испытаний есть практически у всех — это холодильник и духовка. Не пренебрегайте этими испытаниями, ведь усилитель может отказать в самый неудобный для вас момент. О профессионалах я не говорю, для них этот вопрос очевиден, но даже дома температура может меняться в значительных пределах, а для автомобильной техники это, наверное, самое главное.
Если вы внимательно просмотрите характеристики представленных уси-лителей, то заметите, что у последних моделей какие либо выводы для кор-рекции и компенсации отсутствуют. Это и хорошо и плохо. Хорошо потому что от разработчика меньше требуется думать, просто взять готовое изделие и поставить его на плату. Плохо же это тем, что потребитель вынужден довольствоваться тем, как кто-то решил эту задачу. Этот неизвестный конструктор, скорее всего, исходил из принципа максимальной универсальности изделия, а этот принцип никогда не мог удовлетворить разработчиков специальной аппаратуры, неважно усилитель это или система лазерного наведения. За вас сделали выбор и теперь для того, чтобы понять, удовлетворяет данное изделие вашим специфическим условиям или нет, вам придется либо ограничиться приводимыми в спецификации данными, либо приобрести изделие и опробовать его. Для УНЧ, к сожалению, приемлемым оказывается только второй путь, потому что объективных критериев для комплексной оценки качества не существует, а по косвенным вы ни за что не сможете понять, в чем разница между двумя усилителями разных фирм, показатели которых примерно совпадают. Эту разницу можно оценить, только прослушав оба усилителя, да и то, скажем, на одной нагрузке лучшим может оказаться один, а на другой нагрузке — второй.
Для твердотельных УНЧ вопрос применения или неприменения обратной связи даже не ставится — слишком много различных нелинейностей и нестабильностей. Степень влияния обратной связи на усилитель можно оценить, сравнив соответствующие значения коэффициентов усиления. Разность коэффициентов усиления (выраженных в децибелах) без ООС и с ней, называется глубиной ОС. Эта разность показывает, какая часть ресурсов направляется на линеаризацию общих характеристик системы и компенсацию различных нелинейностей и погрешностей. Само абсолютное значение этого параметра мало что означает и может находиться в диапазоне 20...50 дБ, хотя это тоже лишь типовые значения. Можно предположить, при большом значении этого параметра, что усилитель должен иметь весьма хорошие характеристики по нелинейным искажениям и что приоритет при его разработке был отдан не локальным обратным связям, а общей ОС, что само по себе опять же ни хорошо ни плохо.
Разберем сейчас один из вариантов обратных связей, который очень часто встречается в интегральных УНЧ и довольно часто в усилителях на дискретных элементах, как на биполярных, так и на полевых транзисторах. Рассмотрим схему на рис. 2.
Это типичная схема выходного каскада усилителя с бутстрэпом. От обычной схемы ее отличает наличие двух элементов: резистора R1 и конденсатора С. Питание может быть как одно-, так и двухполярным, Коллекторное сопротивление входного транзистора заменяется суммой двух сопротивлений, и расчет тока покоя каскада производится обычным путем. При питании от одного источника выходных каскадов и предоконечного каскада получается, что на максимальной нагрузке полностью раскачать выходные эмиттерные повторители невозможно. Для этого размах переменного напряжения первого каскада должен быть не меньше полного напряжения питания. Увеличение коэффициента усиления за счет увеличения коллекторного сопротивления, влечет за собой снижение тока покоя. Введение упомянутых добавочных элементов позволяет компенсировать недостаток за счет выходного напряжения усилителя. При закрытом транзисторе рас качки напряжение на его коллекторе превысит напряжение питания за счет напряжения на конденсаторе.

Рис. 2. Параметрическая обратная связь
В нашей литературе этот эффект называется параметрической обратной связью, параллельной обратной связью по питанию или вольтодобавкой, а в зарубежной — бутстрэпом (bootstrap). В переводе это слово означает шнурок от ботинка и примерно соответствует случаю с бароном Мюнхгаузеном, который вытащил себя из болота за волосы, только у англичан вместо волос использовались шнурки от ботинок. Конечно, физически за все приходится платить, и применение такой схемы вызывает уменьшение амплитуды выходного напряжения от 5 до 20%, в зависимости от емкости конденсатора, но реальный выигрыш в итоге составляет 5...7 дБ на низких частотах. На высоких частотах бутстрэп не нужен, т.к. амплитуда сигналов на них не так велика. В высококачественных усилителях на дискретных элементах такие решения давно не применяются, но для интегральных схем, особенно при жестких ограничениях на питание, такая схема очень эффективна. Настойчиво рекомендую придерживаться значений, приведенных в справочных данных. Не следует ни увеличивать, ни уменьшать рекомендуемую емкость бутстрэпа, т.к. и то и другое приведет к снижению эффективности работы усилителя и может ухудшить его параметры, в частности THD. Бугстрэпом часто называют также управляемое питание выходных каскадов усилителя.
Основных режимов работы усилителя три. Это режим ожидания (STANDBY, STAND-BY, STBY, STB), режим глушений сигнала (MUTE) и режим воспроизведения (PLAY). В режиме ожидания усилитель фактически выключен, но его цепи находятся под напряжением. Все каскады, потребляющие сколько-нибудь значимый ток находятся в запертом состоянии и в таком состоянии могут находиться сколь угодно долго. Ток, потребляемый усилителем, при этом от единиц миллиампер и до единиц микроампер, т.е. находится на уровне токов утечки автомобильного аккумулятора. Поэтому усилитель можно не отключать от источника питания. При этом основной ток потребляет не вывод питания усилителя, а управляющий вывод режима STAND-BY. Такой режим чрезвычайно удобен тем, что вместо мощных реле, выключателей или силовых ключей, включение производится логическим
сигналом уровня КМОП и с той же энергетикой. Выходной сигнал при этом нормируется. Он составляет порядка—100...—120 дБ, что ниже уровня шума усилителя класса HI-END.
Следует вообще иметь в виду, что рассматриваемые УНЧ не предназначены, вообще говоря, для использования в качестве домашнего усилителя, хотя конечно можно применять их и таким образом. Эти усилители рассчитаны, прежде всего, на применение в составе какого-либо устройства, например телевизора, автомобильного радиоприемника, магнитолы и т.п. Поэтому их наделяют соответствующим интерфейсом, пусть и несложным.
При переводе усилителя из режима STAND-BY в режим PLAY возникают практически те же переходные процессы, что и при обычном включении, а значит, возникает соответствующее акустическое сопровождение. Основной ток при этом протекает, как ему и положено по выводам питания. Надо отметить, что сильные щелчки возникают не только и не столько в выходных каскадах усилителя, сколько во входных. Понятно, что подача питания на блок микрофонного предусилителя может вызвать гораздо более громкие щелчки, чем включение выходного каскада. Для исключения этих эффектов применяется функция MUTE, которая характеризуется подавлением входного сигнала на 60...80 дБ. При этом отключаются выходные каскады, так что ток, потребляемый усилителем, снижается до нескольких миллиампер. Это ток, который потребляют маломощные входные каскады.
В большинстве усилителей этот режим реализован аппаратно, но в более старых моделях его может и не быть. В таком случае приводится вариант его реализации с помощью навесных элементов. Как правило, при этом производится заколачивание конденсатора схемы подавления пульсаций CSVR внешним транзистором.
В некоторых вариантах усилителей функция MUTE срабатывает автоматически при уменьшении напряжения питания ниже некоторого предела, как правило, 6...8 В. Это важно для автомобильных усилителей, т.к. например, при включении стартера, напряжение бортовой сети сильно падает. При этом возможны как искажения сигнала, так и посторонние шумы. Кроме того, это удобно, потому что не требуется заранее перед выключением подавать сигнал на вход MUTE.
Поскольку чаще всего схема управления MUTE и STAND-BY использует систему SVR, то CSVR естественно оказывает влияние на временные соотношения этих режимов. Это собственно означает, что выбор конденсатора влияет как на подавление пульсаций, так и на время включения и выключения усилителя. Усилитель перейдет в режим PLAY тогда и только тогда, когда CSVR зарядится до определенного напряжения, поэтому величина его емкости должна удовлетворять противоположным требованиям хорошей фильтрации и небольшого времени включения. Рекомендованное значение этой емкости приводится всегда.
Для управления режимами MUTE и STAND-BY практически во всех случаях требуется применение RC-цепочек. Это нужно, прежде всего, для исключения появления шумов от самих управляющих воздействий, а также для соблюдения необходимой скорости нарастания этих сигналов, которая не должна превышать 2,5 В/мс. Цифровые микросхемы управления имеют быстродействие на 5...6 порядков выше. Необходимо также соблюдать рекомендации по выбору сопротивлений этих цепочек. Слишком высокое сопротивление может нарушить работу схемы из-за высокого падения
напряжения на нем. Тогда подача низкого логического уровня на вход цепочки просто не вызовет необходимого изменения напряжения на самом управляющем входе.
Режим MUTE используется также системой термозащиты некоторых усилителей. При превышении некоторой критической температуры, режим включается принудительно, а затем, после остывания усилителя, включается снова. Еще более продвинутые системы, в случае если температура продолжает повышаться, включают режим STAND-BY. Более простые системы делают это сразу, без MUTE.
Некоторые усилители имеют дополнительный режим, который включается при обнаружении короткого замыкания. Одни могут находиться в этом режиме сколь угодно долго, другие — несколько часов.
Давайте посмотрим, как и от чего защищают усилитель светлые головы инженеров Запада. Для транзистора главнейшими параметрами, определяющими его работу в мощных каскадах, являются:
максимально допустимое напряжение коллектор-эмиттер UCE;
максимальный ток коллектора 1С МАХ;
максимальная рассеиваемая мощность Ptot.
Есть и другие параметры, связанные с его безопасной работой, но они не связанны напрямую с его внешним окружением и поэтому будем считать, что предыдущие каскады рассчитаны правильно и с этой стороны транзистору никакая опасность не грозит. Максимальные параметры связаны между собой определенной зависимостью, которая графически выглядит примерно как на рис. 3.

Рис. 3. Зона безопасной работы транзистора (SOA) и диаграмма работы в режиме АВ
Сверху зона безопасной работы транзистора (SOA, SafeOperatingArea) ограничивается максимальным током коллектора, справа — максимальным напряжением коллектор-эмиттер, сбоку — максимальной рассеиваемой мощностью и напряжением вторичного (лавинного) пробоя. Эксплуатация транзисторов при максимальных значениях хотя бы одного из параметров не допускается.
Превышение Ptot означает, прежде всего, что мощность, рассеиваемая на кристалле, не может быть отведена в окружающее пространство и, стало быть, будет употреблена на разогрев кристалла. Превышение кристаллом некоторой критической температуры приведет к необратимому тепловому пробою и выходу прибора из строя. Поэтому системы тепловой защиты УНЧ являются устройствами защиты от превышения максимальной мощности рассеивания. Интегральные УНЧ имеют в этом смысле значительные преимущества перед усилителями на транзисторах, так как имеют возможность непосредственного измерения температуры кристалла и даже конкретной области кристалла. Мало того, вся схема защиты находится на этом же кристалле и не требует никакой дополнительной информации. Сам р-n переход является наилучшим температурным датчиком, а уж в микросхеме этих переходов сколько угодно. Самые примитивные системы защиты просто отключают усилитель. Некоторые производители выводят наружу выход термодатчика, с тем, чтобы внешняя система защиты также могла поучаствовать в работе. Более продвинутые системы осуществляют регулировку выходных каскадов таким образом, что при повышении температуры мощность усилителя понижается, а некоторые могут использовать режимы MUTE и STAND-BY для понижения температуры, так как в этих режимах рассеиваемая на кристалле мощность практически равна нулю. Тепловой защитой оборудованы все современные интегральные УНЧ, так что с этой стороны можно быть спокойным. Далеко не так хорошо обстоят дела с защитой от короткого замыкания.
Трудность заключается в том, что транзистор является быстродействующим прибором и вывести его из строя коротким замыканием в нагрузке можно за микросекунды, особенно когда он находится в режиме больших токов. Кроме того, возможны различные типы замыканий, например замыкание на вывод питания, замыкание на другой выход. Опасность представляет случайное отсоединение общего провода во время работы. Системы защиты должны уметь отличать нештатные ситуации от естественных бросков тока при воспроизведении сигнала с большим динамическим диапазоном или как еще говорят, с большим пик-фактором. Но самая большая сложность заключается в отсутствии влияния систем защиты на выходной сигнал при нормальной работе.
Для повышения надежности защиты микросхемы, некоторые современные усилители при включении производят тестирование выхода. Для этого на выход подается небольшой ток. Если при этом напряжение на выходе значительно меньше нормального, то усилитель остается в этом состоянии до тех пор, пока не будет выключен или пока не будет ликвидирована неисправность, после чего включается. Все это время на диагностическом выводе присутствует сигнал неисправности. Кроме защиты самого усилителя, многие микросхемы осуществляют и защиту динамиков, путем ограничения выходного постоянного тока при неправильном подключении.
Из дополнительных видов защит можно обратить внимание на защиту от переполюсовки, которая часто применяется в автомобильных усилителях в связи любовью пользователей к подключению аккумулятора наоборот. Защитный дио, позволяет длительно пропускать значительный усилителя, в расчете на то, что перегорит плавкая вставка предохранителя.
Микросхемы, содержащие полевые транзисторы, особенно чувствительны к статике. Обращаясь с ними, требуется соблюдать обычные меры предосторожности, применяемые в таких случаях, хотя практически все микросхем имеют защиту. Качество защиты регламентируется в спецификации на устройство в виде максимального заряда, который может выдержать вход.
Интегральные УНЧ изготавливаются исключительно классов АВ, D и Т Правда некоторые из них, как, например TDA7294, имеют отдельные выводы для питания мощных каскадов и могут быть использованы в высокоэффективном режиме, близком к Н, но это реализуется за счет дополнительной внешней схемы.
Ограниченные возможности батарейного питания в переносной и автомобильной технике требуют либо понижать сопротивление динамиков, либо применять другие решения, направленные на повышение выходной мощности усилителей. Таких путей видится два. Первый путь — это повышение напряжения питания с помощью конвертеров. Второй путь проще: включить усилитель по мостовой схеме. Два одинаковых каскада или усилителя включаются в противофазе и работают на общую нагрузку. Громкоговоритель подключается непосредственно к выходам обоих усилителей, без использования разделительных конденсаторов. Выходное напряжение на нагрузке оказывается вдвое больше, так как нагрузка оказывается подключенной в каждую полуволну ко всему напряжению питания, то в одном направлении, то в противоположном. Поэтому при одном и том же напряжении питания и нагрузке выходная мощность мостового усилителя должна быть в 4 раза больше. Реально получается несколько меньше.
Возможность мостового включения предусматривается во многих моделях, но не во всех. Наряду с большей выходной мощностью, мостовым усилителям свойственны и недостатки. В первую очередь — повышенный примерно на 10...20% коэффициент гармоник и меньший коэффициент демпфирования, хотя сравнить не всегда легко, т.к. в справочных данных зачастую измерения проводятся при разных условиях. Кроме того, минимально допустимое сопротивление нагрузки также увеличивается, так как увеличивается ток через нагрузку. При монтаже усилителей надо внимательно следить за соблюдением фразировки динамиков.
Для увеличения мощности применяется также параллельное включение усилителей. Например, усилители, выполненные на ТDА7293, могут работать в параллель на очень низкую нагрузку. Такой вариант включения по терминологии фирмы именуется модульным. При этом один из усилителей является ведущим (MASTER), а все остальные соответственно ведомыми (SLAVE). Входные цепи ведомых усилителей отключены, а остальные цепи соединяются по определенным правилам. При этом все управление берет на себя первый усилитель. Трудно сказать точно, насколько увеличится выходная мощность и насколько можно уменьшить нагрузку, разработчик таких данных не приводит. Понятно, что для работы с той же самый нагрузкой параллельная работа усилителей приведет только к распределению мощности на два усилителя. Общее количество параллельных усилителей разработчик не ограничивает!
Большинство аудиоусилителей включены по неинвертирующей схеме. Это в основном объясняется тем, что при этом включении достигается наибольшее входное сопротивление. Кроме того, коэффициент усиления шума для неинвертирующего включения равен его коэффициенту усиления, а у инвертора он на единицу больше. Однако для систем распределенного усиления самым эффективным является балансное или дифференциальное включение. Это практически не имеет значения для УНЧ домашнего применения или переносной аппаратуры. Но для автомобильных систем, где приходится иметь дело с большим уровнем шума или с дополнительными УНЧ, расположенными на удалении от источника сигнала, это очень важно. Также это важно для активных колонок. Некоторые усилители построены таким образом, что их можно включать в балансном режиме, например усилитель TDA7396. Такой режим позволяет наиболее эффективно использовать коэффициент подавления синфазного сигнала, т.е. избавляться от помех и наводок на входе усилителя.
Из дополнительных функций можно отметить присутствующие во многих современных моделях функции диагностики и детекторы клипирования (ограничения сигнала). Например, такой системой обладает упомянутый выше TDA7396. Как правило, система диагностики включает в себя и детектор клипирования, но встречаются и схемы только с одним детектором. Вот типовые функции схемы диагностики. Она реагирует на:
клипирование выходного сигнала;
перегрев;
аварийные состояния выходных цепей:
- короткое замыкание на корпус;
- короткое замыкание на шину питания;
- «мягкое» короткое замыкание при включении.
Принцип работы детектора клипирования выходного сигнала заключается в отслеживании тока выходных транзисторов. Если он начинает приближаться к току насыщения, детектор срабатывает. В результате, сигнал на выводе 25 принимает вид последовательности импульсов, четко синхронизированных с каждым единичным случаем клипирования и имеющих ту же длительность. Эта функция дает возможность автоматической регулировки уровня громкости при перегрузке усилителя. Устройства, использующие эту информацию, обычно осуществляют фильтрацию или интегрирование этих импульсов пассивными RC-цепочками и реализуют алгоритм изменения громкости (или тембра НЧ) с помощью аудиопроцессора, управляемого микроконтроллером. Другим способом контроля искажений является, например, установка максимально допустимого уровня нелинейных искажений (например, THD - 0,5%) во всем частотном диапазоне.
Чувствительность схемы указывается в виде коэффициента нелинейных искажений, на который она реагирует. Для простых схем эта величина порядка 10%. В некоторых схемах порог срабатывания даже может регулироваться. Такие схемы, в противопатожность более простым, могут реагировать на ограничение сигнала, выражающееся в единицах процентов THD. Например, в усилителе TDA7376B детектор клипирования реализован именно таким образом. На вход датчика подается постоянное напряжение, которое должно быть пропорциональным напряжению питания и поэтому выражается в долях от питающего напряжения от 0,15 до 0,4 Vs, что определяет порог срабатывания от 3,5 до 10%.
Сигнал на выходе схемы диагностики появляется также при перегреве кристалла. В различных схемах величина теплового порога составляет 2...10°С до порога теплового отключения. При срабатывании детектора короткого замыкания выхода на шину питания или корпус, также выдается аналогичный сигнал. Схема диагностики не делает между ними различий. Сигналом неисправности является просто сигнал низкого уровня. Выход схемы представляет собой открытый коллектор.
Поскольку вся информация идет по одному каналу, требуется внешняя схема обработки. Сигналы можно разделять, благодаря их различным временным характеристикам. Обычно детектор клипирования выдает на выход импульсы нулевого значения, которые значительно короче, чем импульсы аварийных состояний. На этом принципе селекции длительности и строится схема распознавания. Эту схему вам придется изготавливать самостоятельно, хотя вариант приводится в руководстве для данного усилителя. Параметры элементов схемы, разумеется, подбираются на конкретных устройствах.
О предварительной диагностике короткого замыкания во время включения мы уже говорили выше. Поскольку выход схемы диагностики предназначен для информирования управляющего контроллера или для индикации, то решение о действиях при коротком замыкании принимает сама система и отключает выходные каскады до устранения неисправности. При этом на выходе присутствует постоянный сигнал низкого уровня.
Теоретики не выделяют вообще блок питания из состава усилителя и пусть это лишний раз свидетельствует о важнейшей роли этого блока и влиянии его на характеристики усилителя. Здесь не место рассматривать подробно схемотехнику и схемные решения блоков питания, но общие требования сформулировать необходимо.
Все сигнальные цепи усилителя проходят через блок питания, поэтому он сам является сигнальной цепью. Эта цепь должна обладать крайне низким сопротивлением в максимально возможном диапазоне частот, для того, чтобы проходящие по ней токи не взаимодействовали между собой. Необходимо тщательно продумывать топологию источника питания, чтобы избежать появления наводок и помех.
Динамики обладают высокой реактивностью, а при реактивных нагрузках токи увеличиваются многократно, и ток в 50 А в импульсе для мощного УНЧ не является чем-то необычным при среднем токе в 5...7 А. Поэтому требуется высокая нагрузочная способность и еще раз низкое выходное сопротивление источника питания. Таким сопротивлением обладает, например, хороший стабилизатор. На высоких частотах следует учитывать, что ни электролитические емкости, ни стабилизатор на таких частотах развязку не обеспечат. Поэтому обязательно следует шунтировать каждый электролит высокочастотным малоиндуктивным конденсатором, например майларовым, керамическим или полиэстеровым.
А теперь несколько общих советов относительно печатных плат. Не следует полагать, что если устройство работает в диапазоне звуковых частот, то к трассировке печатных плат не предъявляются специальные требования. Неправильно спроектированная печатная плата может испортить все.
Располагать развязывающие конденсаторы следует как можно ближе к выводам микросхемы, а выводы самих конденсаторов следует обрезать как можно короче.
Электролитические конденсаторы развязки по питанию обязательно должны шунтироваться малоиндуктивными майларовыми, керамическими или аналогичными.
Все проводники должны иметь минимальную длину. Помните, что печатная плата тонкая и не располагайте слаботочные сигнальные проводники паралллельно сильноточным ни на одной стороне платы, ни на противоположных.
Удаляйте корпусные проводники большой площади под микросхемой, вокруг нее и под входными выводами, чтобы избежать паразитных наводок.
Никогда не прокладывайте параллельно провода или проводники питания и сигнальные.
Никогда не допускайте замкнутых петель в общем проводе, самой лучшей конфигурацией общего провода является звезда с центром в точке присоединения электролитического конденсатора фильтра питания.
Как правило, в усилителях существуют два земляных контура: сигнальный S-GND и силовой P-GND. Никогда не путайте их. Те элементы, которые должны иметь дело с силовыми цепями должны соединяться только с силовой землей, и наоборот. Иногда эти земли на уровне микросхемы не соединены друг с другом непосредственно. На печатной плате они должны соединяться в одном и только в одном месте и соединение это должно быть качественным, а выбор его места — это искусство и интуиция. Если вспомнить времена ламповых усилителей, которые монтировались на металлических шасси, то место заземления выбиралось экспериментально по минимуму фона и, вообще говоря, могло находиться в любой точке шасси.
Все конденсаторы, имеющие отношение к STAND-BY, должны подсоединяться к S-GND. Конденсатор SVR (подавления пульсаций питания) должен быть подсоединен к S-GND и как можно ближе к микросхеме. Общий провод входных сигнальных цепей — естественно kS-GND.
Конденсаторы фильтра питания должны быть подсоединены к Р-GND. Отрицательный полюс источника питания (общий провод) должен быть подсоединен непосредственно к минусу электролитического конденсатора фильтра питания и эта точка должна быть начальной точкой всех земляных цепей на печатной плате. Это единственная точка, которая может быть названа истинной землей.
Сечение проводника должно соответствовать току, протекающему через него. Вы не сделаете ошибки, если примените более широкий проводник. Учтите, что чем уже и длиннее проводник, тем больше его индуктивность.
Если есть возможность, придерживайтесь топологии, предлагаемой изготовителем микросхемы. Там ребята неглупые и им хочется, чтобы их продукцию покупали и уважали. Плохого не посоветуют.
Особенности применения усилителей класса D (на примере TDA748x)
Усилители TDA7480/81/82 являются моно усилителями класса D с раздельным питанием. Выходным сигналом усилителей является высокочастотная последовательность прямоугольных импульсов (порядка 100 кГц) типа RAIL-TO-RAIL (т.е. с размахом, равным напряжению питания) с изменяемой скважностью.
Для того чтобы получить из этой последовательности импульсов аудио-сигнал, на выходе усилителя должен присутствовать фильтр низких частот. Основным достоинством усилителей является их высокая эффективность в сравнении с обычными усилителями класса АВ.

Рис. 4. Блок-схема усилителя
Предварительный усилитель определяет коэффициент усиления всего усилителя (рис. 4). Второй каскад является усилителем мощности класса D с коэффициентом усиления 1,5. Основой усилителя мощности является управляемый мультивибратор, который при отсутствии входного сигнала генерирует меандр. При наличии сигнала на входе, мультивибратор изменяет скважность выходных импульсов. Частота мультивибратора задается напряжением на выводе 9 (для корпуса DIP20) или 6 (для MULTIWATT15).
В дальнейшем нумерация выводов будет приводиться в квадратных скобках через слэш в том же порядке, т.е. сначала для DIP, а затем для MULTIWATT: [9/6].
Выходной каскад выполнен на мощных n-канальных DMOS транзисторах, причем верхний транзистор снабжен параметрической обратной связью (бутстрэпом) через конденсатор СП (на схемах включения).
|