Банк рефератов содержит более 364 тысяч рефератов, курсовых и дипломных работ, шпаргалок и докладов по различным дисциплинам: истории, психологии, экономике, менеджменту, философии, праву, экологии. А также изложения, сочинения по литературе, отчеты по практике, топики по английскому.
Полнотекстовый поиск
Всего работ:
364139
Теги названий
Разделы
Авиация и космонавтика (304)
Административное право (123)
Арбитражный процесс (23)
Архитектура (113)
Астрология (4)
Астрономия (4814)
Банковское дело (5227)
Безопасность жизнедеятельности (2616)
Биографии (3423)
Биология (4214)
Биология и химия (1518)
Биржевое дело (68)
Ботаника и сельское хоз-во (2836)
Бухгалтерский учет и аудит (8269)
Валютные отношения (50)
Ветеринария (50)
Военная кафедра (762)
ГДЗ (2)
География (5275)
Геодезия (30)
Геология (1222)
Геополитика (43)
Государство и право (20403)
Гражданское право и процесс (465)
Делопроизводство (19)
Деньги и кредит (108)
ЕГЭ (173)
Естествознание (96)
Журналистика (899)
ЗНО (54)
Зоология (34)
Издательское дело и полиграфия (476)
Инвестиции (106)
Иностранный язык (62791)
Информатика (3562)
Информатика, программирование (6444)
Исторические личности (2165)
История (21319)
История техники (766)
Кибернетика (64)
Коммуникации и связь (3145)
Компьютерные науки (60)
Косметология (17)
Краеведение и этнография (588)
Краткое содержание произведений (1000)
Криминалистика (106)
Криминология (48)
Криптология (3)
Кулинария (1167)
Культура и искусство (8485)
Культурология (537)
Литература : зарубежная (2044)
Литература и русский язык (11657)
Логика (532)
Логистика (21)
Маркетинг (7985)
Математика (3721)
Медицина, здоровье (10549)
Медицинские науки (88)
Международное публичное право (58)
Международное частное право (36)
Международные отношения (2257)
Менеджмент (12491)
Металлургия (91)
Москвоведение (797)
Музыка (1338)
Муниципальное право (24)
Налоги, налогообложение (214)
Наука и техника (1141)
Начертательная геометрия (3)
Оккультизм и уфология (8)
Остальные рефераты (21692)
Педагогика (7850)
Политология (3801)
Право (682)
Право, юриспруденция (2881)
Предпринимательство (475)
Прикладные науки (1)
Промышленность, производство (7100)
Психология (8692)
психология, педагогика (4121)
Радиоэлектроника (443)
Реклама (952)
Религия и мифология (2967)
Риторика (23)
Сексология (748)
Социология (4876)
Статистика (95)
Страхование (107)
Строительные науки (7)
Строительство (2004)
Схемотехника (15)
Таможенная система (663)
Теория государства и права (240)
Теория организации (39)
Теплотехника (25)
Технология (624)
Товароведение (16)
Транспорт (2652)
Трудовое право (136)
Туризм (90)
Уголовное право и процесс (406)
Управление (95)
Управленческие науки (24)
Физика (3462)
Физкультура и спорт (4482)
Философия (7216)
Финансовые науки (4592)
Финансы (5386)
Фотография (3)
Химия (2244)
Хозяйственное право (23)
Цифровые устройства (29)
Экологическое право (35)
Экология (4517)
Экономика (20644)
Экономико-математическое моделирование (666)
Экономическая география (119)
Экономическая теория (2573)
Этика (889)
Юриспруденция (288)
Языковедение (148)
Языкознание, филология (1140)

Дипломная работа: Разработка пакета программ для расчета фазированной антенной решетки

Название: Разработка пакета программ для расчета фазированной антенной решетки
Раздел: Рефераты по коммуникации и связи
Тип: дипломная работа Добавлен 18:11:06 08 июля 2009 Похожие работы
Просмотров: 3515 Комментариев: 20 Оценило: 3 человек Средний балл: 5 Оценка: неизвестно     Скачать

Содержание

Аннотация

Введение

1. Обзор литературных источников

1.1 Метод наводимых ЭДС

1.2 Метод парциальной диаграммы направленности

1.3 Методы на основе теории бесконечных периодических структур

2. Расчет полевых и импедансных характеристик ФАР

2.1 Входное сопротивление элемента бесконечной периодической линейной решетки

2.2 Расчет взаимного сопротивления полосковых излучателей в составе бесконечной линейной решетки

2.3 Расчет взаимного сопротивления в двумерной плоской ФАР

2.4 Расчет входного сопротивления излучателя с учетом взаимных связей

2.5 Определение полевых характеристик ФАР

3. Программы для расчета характеристик ФАР

3.1 Общие сведения

3.2 Программа для расчета полевых и импедансных характеристик ФАР

3.2.1 Описание применения

3.2.2 Методика испытаний

3.2.3 Руководство пользователя

3.2.4 Описание программы

3.3 Программа для характеристик ФАР в полосе частот

3.3.1 Описание применения

3.3.2 Методика испытаний

3.3.3 Руководство пользователя

3.3.4 Описание программы

3.4 Программа для расчета входного сопротивления изолированного излучателя

3.4.1 Описание применения

3.4.2 Методика испытаний

3.4.3 Руководство пользователя

3.4.4 Описание программы

3.5 Программа для расчета взаимного сопротивления между излучателями

3.5.1 Описание применения

3.5.2 Методика испытаний

3.5.3 Руководство пользователя

3.5.4 Описание программы

4. Результаты расчетов

4.1 Взаимное сопротивление

4.2 Диаграмма направленности ФАР

4.3 Частотные характеристики ФАР

5. Технико-экономическое обоснование дипломной работы

5.1 Краткая характеристика работы

5.2 Определение затрат на создание программы

5.2.1 Расходы по оплате труда разработчиков программы

5.2.2 Среднечасовая оплата разработчика

5.2.3 Затраты по оплате машинного времени

5.2.4 Общие затраты на создание программы

6. Безопасность и экологичность дипломной работы

6.1 Краткая характеристика работы

6.2 Безопасность проекта

6.2.1 Электробезопасность рабочего места

6.2.2 Пожаробезопасность рабочего места

6.2.3 Микроклимат рабочего места

6.2.4 Освещенность рабочего места

6.2.5 Шумы и вибрации на рабочем месте

6.3 Эргономичность проекта

6.3.1 Рабочее место оператора ЭВМ

6.3.2 Оценка качества программных средств

6.4 Экологичность проекта

6.5 Особенности проектирования антенно-фидерных устройств к воздействию сильных электромагнитных излучений. Возможный характер повреждений

6.5.1 Экранирование

6.5.2 Фильтрация

6.5.3 Заземление

Заключение

Приложение 1

Библиографический список

Аннотация

В дипломной работе на основе метода бесконечных периодических структур был разработан пакет программ, позволяющий рассчитать полевые и импедансные характеристики плоской двумерной фазированной антенной решетки (ФАР), выполненной из полосковых вибраторов или резонансных излучателей на многослойном диэлектрической подложке, с учетом и без учета взаимной связи между излучателями как на фиксированной частоте, так и в полосе частот. Кроме того, пакет включает в себя программу для расчета взаимного сопротивления между излучателями и программу для расчета входного сопротивления изолированного излучателя.

Были произведены расчеты зависимости взаимного сопротивления от расстояния между излучателями при различных диэлектриках, характерисик ФАР в полосе частот при различных диэлектриках и количества излучателей в решетке.

Введение

Фазированные антенные решетки (ФАР ) благодаря возможности быстрого и гибкого изменения амплитудно-фазового распределения в излучающей структуре нашли широкое применение в радиотехнических системах связи, локации и навигации.

Элементная база современных ФАР весьма разнообразна: это и традиционные вибраторы, и щелевые излучатели, рупоры, спирали, зеркальные антенны и т.д. Особое место в этом перечне занимают полосковые излучатели. Применение интегральной технологии при их изготовлении позволяет удовлетворить весьма жестким требованиям к электродинамическим, аэродинамическим, габаритным, весовым, экономическим, конструктивным и другим параметрам.

Развитие и усложнение ФАР привело к разработке новых и усложнению известных методов расчета основных характеристик. Конструирование и расчет антенн значительно усложнились из-за увеличения числа параметов, определяющих характеристики антенн, а также из-за стремления оптимизировать характеристики или более точно их рассчитать.

В антенных решетках имеет место сложное явление взаимодействия излучателей, проявляющееся в изменении направленности и входного сопротивления излучателя при его включении в ФАР. Взаимная связь вызывает изменение входного сопротивления каждого элемента, что приводит к рассогласованию и отражению энергии в фидерной линии обратно к источнику. Резкое рассогласование может вызвать эффект ослепления, когда практически прекращаются излучение и прием электромагнитных волн. Взаимное влияние приводит также к изменению фазового и амплитудного распределения по антенным элементам. Это в свою очередь приводит к изменению диаграммы направленности, КНД, искажению поляризационных характеристик.

В настоящее время интенсивно разрабатывается теория учета взаимных связей в антенных решетках. Инженерные методы расчета взаимодействия излучателей в составе ФАР известны только для некоторых типов антенн. Учет этого взаимодействия, изменяющегося при управлении фазовым распределением, в значительной мере затрудняет расчет ФАР.

Одним из методов, позволяющих учитывать взаимные связи в антенных решетках, является метод бесконечных периодических структур, рассмотренный в [1, 2]. В этом методе сначала рассчитывают входные сопротивления излучателей путем решения интегрального уравнения Фредгольма, ядром которого является тензорная функция Грина областей, частично заполненных диэлектриком. Затем методом Галеркина находятся взаимные сопротивления между излучателями и далее все остальные импедансные и полевые харктеристики ФАР. Однако использование этого метода было ограничено из-за сложности расчетов. В настоящее время при широком распространении ПЭВМ эта задача упростилась.

Целью данной дипломной работы является разработка программы для ПЭВМ, позволяющей использовать вышеописанный метод специалистам, работающим в данной области радиотехники.

1 . Обзор литературных источников

Прогресс техники антенных решеток стимулировал рост числа теоретических работ, посвященных ислледованию электродинамических характеристик ФАР. Элементарная теория антенных решеток рассматривается в [3, 4]. Здесь полагается, что решетка представляет совокупность независимых индивидуальных излучателей, а характеристики излучения ФАР зависят лишь от пространственного расположения отдельных излучателей, а также от распределения амплитуд и фаз токов, заданных на излучателях.

Наряду с этим, в работах [5, 6, 7] приводятся различные методы учета взаимного влияния между излучателями в антенных решетках. Кратко охарактеризуем эти методы.

Возможны два способа оценки взаимной связи между элементами антенной решетки. Первый способ состоит в оценке изменения входного сопротивления элемента за счет взаимного влияния. Второй способ состоит в оценке изменения диаграммы направленности элемента, изолированного от влияния соседних элементов. Для нахождения взаимных сопротивлений существует множество методов как точных, так и приближенных. Кроме этого, все методы можно рассматривать с точки зрения поэлементного подхода, который полезен при анализе решеток малых размеров и подхода на основе бесконечных периодических структур, применяемого в случае больших решеток.

1.1 Метод наводимых ЭДС

Одним из методов поэлементного подхода является метод наводимых ЭДС, подробно рассмотренный в [5]. Систему излучателей представляют эквивалентным четырехполюсником. Например, в простейшем случае, когда рассматривается два связанных вибратора, схема их замещения выглядит как на рис. 1.1.


Рис. 1.1 Связанные вибраторы и их схема замещения

Диагональные элементы в матрице сопротивлений и представляют собственные сопротивления вибраторов. Недиагональные элементы и являются взаимными сопротивлениями, учитывающими электромагнитную связь между вибраторами. Взаимные сопротивления равны, если среда между излучателями изотропна. Для схемы замещения может быть записано следующая система уравнений Кирхгофа:

(1.1)

Известно, что если проинтегрировать поток вектора Пойтинга по бесконечно удаленной поверхности, охватывающей все элементы антенной решетки, то это даст возможность вычислить величину активной мощности, излучаемой всеми антеннами, а вместе с тем и активные составляющие собственных сопротивлений каждой антенны антенны и активные составляющие взаимнх сопротивлени между ними. Реактивная составляющая сопротивлений определяется по известной частотной зависимости активной составляющей.

1 .2 Метод парциальной диаграммы направленности

Другим методом исследования взаимной связи, который подробно излагается в [7], является метод парциальной диаграммы направленности. Этот метод предполагает исследование диаграмм направленности и коэффициентов усиления излучателей в решетке.

Когда какой-либо излучатель антенной решетки находится в окружении остальных элементов, нагруженных на пассивные сопротивления, невозбужденные элементы также проявляют свое участие в излучении решетки. Измеренная при этом парциальная диаграмма направленности излучателя позволяет:

а) в случае возбуждения всех излучателей антенной решетки больших, но конечных размеров суперпозицией таких диаграмм получить истинную ДН решетки,

б) измеренную парциальную диаграмму можно использовать для вычисления действующего входного сопротивления или соответствующего ему коэффициента отражения, что особенно эффективно при применении к решеткам со сложными излучателями, когда теоретический анализ оказывается затруднительным.

Это метод может оказаться весьма полезным при практическом исследовании взаимного влияния в АР или при проверке теоретически полученных результатов.

1.3 Методы на основе теории бесконечных периодических структур

Для анализа больших эквидистантных АР разработан целый ряд методов, суть которых заключается в том, что АР заменяют бесконечной открытой периодической структурой и анализ поля проводят в единичной периодической ячейке такой структуры. Важным преимуществом такого подхода является то, что решение необходимо искать только для одной периодической ячейки АР, что позволяет найти достаточно точное решение при невысоком порядке решаемых уравнений.

Метод спектрального анализа, рассмотренный подробно в [6], применим в основном для эквидистантных АР, составленных из одинаковых излучателей. Мощным средством теоретического исследования таких периодических структур является аппарат рядов Фурье и дискретного преобразования Фурье (ДПФ).

Основным недостатком следует считать невозможность учета конечных размеров АР и краевых эффектов.

Метод единичной ячейки, рассмотренный в [7], применяется для анализа больших АР, состоящих из идентичных излучателей, возбуждаемых с одинаковой амплитудой и одинаковой разностью фаз между соседними элементами. Суть метода заключается в том, что все пространство АР делится две части: нижнюю, где помещается система питания, и верхнюю, в которую решетка излучает. В верхней части вокруг одного из излучателей образуют единичную ячейку, состоящую из двух электрических и двух магнитных стенок, простирающихся до бесконечности. Стенки располагают таким образом, чтобы выполнялись граничные условия и тем самым не нарушалась структура поля, сформированного под воздействием взаимного влияния элементов. После введения стенок можно пренебречь полем вне единичной ячейки, а саму ячейку можно рассматривать как своего рода волновод. Все взаимные связи между щелями учитываются автоматически. Такой подход позволяет использовать хорошо развитую теорию волноводов.

2 . Расчет полевых и импедансных характеристик ФАР

Результаты, полученные на основе модели бесконечных периодических структур, позволяют оценить свойства центральных излучателей больших АР. Часто требуется выполнить расчеты для АР малых размеров, либо исследовать краевые эффекты в больших АР. Расчет взаимных сопротивлений можно выполнять и методами поэлементного подхода, но как правило это сложная электродинамическая задача. Решить данную задачу позволяет процедура, построенная на основе эквивалентности метода поэлементного расчета входных сопротивлений излучателя в бесконечной АР и метода, основанного на теории бесконечных периодических структур [2 ].

2.1 Входное сопротивление элемента бесконечной периодической линейной решетки

Для линейной решетки полосковых вибраторов, расположенных на многослойной диэлектрической подлжке (рис. 2.1) и имеющих распределение тока

, (2.1 )

где -единичный вектор, входное сопротивление можно записать в виде [1]

, (2.2 )

где J(y) – распределение тока по (2.1);


- скалярная компонента функции Грина при разложении полей по волнам Е и Н.

, (2.3 )

где - собственные функции [1];

-характеристические части функции Грина.

Записав выражения для характеристических частей и собственных функций и подставив их в (2.2) и (2.3), получим выражение для расчета входного сопротивления вибратора, имеющего структуру как на рис. 2.1 и находящегося в составе бесконечной решетки с периодом B [1]

, ( 2.4)

где B=nA – период решетки;

- множитель, учитывающий распределение тока по вибратору;

;

;

;

;

α – угол наклона излучателей в решетке (α=0° – параллельные излучатели, α=90° – коллинеарные излучатели).

Для слоистой структуры, представленной на рис. 2.1, проводимость в сечении определяется по следующим рекурентным формулам:

;

;

;

;

; ;

; ; .

Рис. 2.1 Геометрия полосковых излучателей на многослойной диэлектрической подложке


Выражение для расчета входного сопротивления вибратора, имеющего структуру как на рис. 2.2и находящегося в составе бесконечной решетки с периодом B имеет следующий вид [1]

, (2.5)

Для слоистой структуры, представленной на рис. 2.2, проводимость в сечении определяется по следующим рекурентным формулам:

;

;

;

;

; ;

; ; .

Рис. 2.2 Полосковые излучатели на перевернутой диэлектрической подложке


Разложение функции Грина по волнам Е и Н, используемые в данном случае, позволяет получить компактную и достаточно простую запись выражений для расчета входного сопротивления элемента, находящегося в составе бесконечной периодической линейной решетки.

2.2 Расчет взаимного сопротивления полосковых излучателей в составе бесконечной линейной решетки

При анализе антенных решеток конечных размеров необходимо знать взаимное сопротивление между излучателями. Одним из классических методов расчета взаимных сопротивлений является метод наводимых ЭДС. Для простых типов излучателей, размещенных на воздушной подложке, удается получить либо аналитические, либо легко рализуемые алгоритмы расчета для ЭВМ. Однако, в тех случаях, когда в излучающей структуре располагается слоистый диэлектрик, расчет взаимных сопротивлений между излучателями существенно усложняется, так как кроме пространственных волн на взаимную связь между излучателями оказывают влияние поверхностные волны, направляемы диэлектрическими слоями. Одним из решением проблемы является способ определения взаимных сопротивлений между излучателями, в котором используются результаты численных расчетов входного сопротивления излучателя в составе бесконечной линейной решетки [1, 2].

Рассмотрим бесконечную линейную решетку излучателей, период которой может принимать дискретные значения nA, где n=1,2,3… Входное сопротивление решетки с периодом nA при синфазном и равноамплитудном возбуждении определяется как

взаимное сопротивление между центральным и p – элементом решетки с периодом nA,


, (2.6 )

где - взаимные сопротивления между центральным и p‑м элементом (p0) решетки с периодом nA, зависящее только от расстояния между излучателями;

- собственное сопротивление центрального излучателя.

В силу симметрии задачи (2.6) входное сопротивление можно записать в виде

(2.7)

Для того, чтобы определить взаимное сопротивление между центральным излучателем и соседним, находящимся на расстоянии 1A, нужно из входного сопротивления АР с периодом 1А вычитать входное сопротивление АР с другими периодами, кратными 1А так, чтобы при этом компенсировались все взаимные сопротивления кроме одного, интересующего нас. Рассмотрим это более подробно на примерах.

Разность входных сопротивлений центральных элементов решеток с периодом 1А и 2А определяется как.

Рис. 2.3 Бесконечные линейные решетки с разными периодами


Так как (см. рис.2.3), то эта разность входных сопротивлений равна сумме взаимных сопротивлений центального элемента решетки с периодом 1А со всеми нечетными элементами этой решетки. Далее рассмотрим бесконечные АР с периодом 3А и 6А. Если учесть, что и , то разница между входными сопротивлениями центральных элементов данных решеток будет равна удвоенной сумме взаимных сопротивлений центрального элемента решетки с периодом 1А с элементами этой же решетки, имеющими номера 3 (2p‑1).

Если продолжить аналогичные рассуждения далее, то можно составить процедуру.

В первой сумме n=3,5,7….-простые, во второй сумме ,-простые,

( 2.8)

Из предыдущих рассуждений ясно, что при вычислении из входного сопротивления решетки с периодом 1А исключаются собственное сопротивление центрального элемента и взаимные сопротивления между этим элементом и элементами данной решетки с четными номерами. При вычитании из величины из рассмотрения исключаются взаимные сопротивления между центральным элементом решетки с периодом 1А и элементами данной решетки с номерами 3 (2p‑1) (p=0, ±1, ±2, ±3.) и т.д.

Следовательно, при N→∞ величина соответствует значению взаимного сопротивления двух излучателей, разнесенных на расстояние 1A. При расчетах взаимного сопротивления между двумя излучателями с заданной точностью требуется конечное число итераций N в (2.8), которое определяется скоростью сходимости значений входного сопротивления (n→∞) к значению собственного сопротивления излучателя. При использовании в (2.8) N итераций величина ошибки вычисления взаимного сопротивления будет определяться следующим выражением:

, (2.9 )

где

p – числовая последовательность, по которой осуществляется суммирование в процедуре (2.8);

- следующее за N число этой числовой последовательности.

Для возбуждения пространственных волн выражение (2.9) можно записать в следующем виде:

, (2.10 )

гдеk – волновое число;

B – коэффициент пропорциональности.

В случае возбуждения поверхностных волн выражение (2.9) можно записать в следующем виде:

, (2.11 )

где- волновое число;

- коэффициент пропорциональности.

Ряд (2.10) является абсолютно сходящимся, ряд (2.11) сходится для всех А за исключением значений, кратных длине поверхностной волны.

Следует остановиться на оценке быстродействия данного алгоритма. Время счета одного значения взаимного сопротивления между излучателями складывается из времени счета 2·m значений входного сопротивления излучателя в составе бесконечной АР, где m – число слагаемых в процедуре (2.8).

2.3 Расчет взаимного сопротивления в двумерной плоской ФАР

Изложенный в предыдущем разделе метод определения взаимного сопротивления между излучателями в составе линейной антенной решетки может быть применен и для расчета двумерных плоских ФАР.

Рассмотрим ФАР, изображенную на рис.2.4. Ее можно представить в виде нескольких линейных антенных решеток. Например, излучатели с номерами 0; 0 1; 0 2; 0 3; 0 представляют линейную решетку из параллельных вибраторов (α=90°), а излучатели с номерами 0; 0 0; 1 0; 2 0; 3 – линейную решетку из коллинеарных вибраторов (α=0°), см. рис. 2.5. Для расчета взаимного сопротивления между 0; 0 и 1; 0 излучателем необходимо сначала по (2.4) при фиксированном значении α=90° вычислить несколько значений (N) входного сопротивления излучателя в составе бесконечной решетки, имеющей периоды, которые равны и кратны расстоянию между рассматриваемыми элементами ФАР. Затем согласно процедуре (2.8) следует определить взаимное сопротивление, исходя из полученных Nзначений входного сопротивления.

Поскольку антенная решетка является эквидистантной, то удобно проводить расчет входного сопротивления по (2.4) не между конкретными парами излучателей, а при фиксированном угловом направлении (например,-см. рис. 2.5), в котором располагается выбранная линейная решетка из нескольких излучателей.



Рис. 2.4 Плоская ФАР

В этом случае создается массив расстояний, в котором исключаются повторяющиеся периоды, что сокращает число вычислений. Например, рассмотрим линейную решетку 0; 0 1; 0 2; 0 3; 0, расстояние между соседними излучателями составляет . Если рассматривать взаимное сопротивление отдельно между каждой парой излучателей (0; 0 и 0; 1; 0; 0 и 0; 2 и т.д.), то потребовалось бы составить следующие массивы расстояний для каждой пары:

(, 2, 3, 6…) – массив расстояний для пары 0; 0 и 0; 1,

(2, 4, 6, 12…) – массив расстояний для пары 0; 0 и 0; 2,

(3, 6, 9, 18…) – массив расстояний для пары 0; 0 и 0; 3.

Если же рассматривать излучатели совместно, то потребуется один массив расстояний, в котором будут исключены повторяющиеся периоды:

(, 2, 3, 4,6, 9, 18 …) – массив расстояний при фиксированном угловом направлении.

Так как излучатели одинаковые, то взаимное сопротивление между 0; 0 и 0; 1 будет равно взаимному сопротивлению между 0; 1 и 0; 2. Взаимное сопротивление между 0; 0 и 0; 2 будет равно взаимному сопротивлению между 0; 1 и 0; 3. Таким образом, при расчете взаимного сопротивления между излучателями ФАР достаточно рассчитать взаимное сопротивление между 0; 0 излучателем и всеми остальными. Взаимное сопротивление между другими парами будет выбираться из ранее рассчитанных значений из условия совпадения угла и расстояния между излучателями.


Рис. 2.5 Представление двумерной решетки в виде нескольких линейных решеток

Сделанные выше замечания позволяют создать алгоритм расчета взаимных сопртивлений между излучателями в составе плоской ФАР достаточно универсальным и значительно снижающим вычислительные затраты машинного времени по сравнению с решением задачи напрямую.

2.4 Расчет входного сопротивления излучателя с учетом взаимных связей

Входное сопротивление излучателя в составе антенной решетки и находящегося изолированно от других не равнозначны. Это объясняется наличием взаимной связи между излучателями в составе решетки. При сближении элементов взаимная связь возрастает и уменьшается ток каждого отдельного элемента синфазной антенной решетки при неизменной подводимой к излучателю мощности.

Систему входов АР размера описывает следующая матрица сопротивлений

, (2.12 )

где- собственные сопротивления излучателей;

- взаимное сопротивление между i и j излучателями.

Амплитудное распределение можно представить в виде матрицы-столбца комплексных напряжений

(2.13)

Токи на излучателях можно представить в виде матрицы-столбца комплексных токов

(2.14)

Тогда матрица сопротивлений [Z ]однозначно связывает матрицу напряжений [U ] и матрицу токов [I ], согласно [3]


(2.15)

Амплитудное распределение в АР задается заранее, матрицу взаимных сопротивлений [Z ] можно вычислить, используя методику, описанную в предыдущих разделах работы, тогда матрицу токов [I ] на элементах с учетом взаимных связей можно определить через следующее выражение, записанное в матричной форме

, ( 2.16)

где матрица имеет смысл матрицы проводимости. В этом случае, входное сопротивление для каждого элемента антенной решетки с учетом взаимных связей можно записать в виде [3 ]

, ( 2.17)

где n =1… N ;

N – общее число излучателей в ФАР.

Например, для ФАР из четырех элементов входное сопротивление первого элемента будет иметь вид

.

2.5 Определение полевых характеристик ФАР

В плоской двумерной ФАР, имеющей направление ориентации главного максимума диаграммы направленности и (рис. 2.4) дискрет фазы между излучателями по оси ОХ и ОY можно представить в следующем виде

, (2.18)

где k – волновое число;

, - шаг решетки по оси ОХ и ОY соответственно.

В этом случае фаза на излучателях будет определяться выражением [3]

, (2.19 )

где p =1.. m и q =1.. n – координаты излучателя по оси ОХ и ОY соответственно;

;- координаты центрального излучателя.

Разность хода лучей от центра излучения решетки и конкретного излучателя до точки наблюдения с угловыми параметрами θ и φ составит

( 2.20)

В силу линейности уравнений Максвелла электромагнитное поле антенной решетки представляет собой сумму полей отдельных элементов. Если эти элемениы имеют равные размеры, характеризуются одним и тем же законом распределения излучающих токов и ориентированы в пространстве одинаковым образом, то электромагнитное поле в дальней зоне может быть представлено в виде произведения векторной диаграммы направленности одиночного элемента на множитель направленности АР [3]

, (2.21 )

где- амплитудный множитель, зависящий от общей мощности когерентных генераторов, питающих систему излучателей;

- векторная диаграмма направленности одиночного элемента;

- множитель направленности АР.

В главной системе координат отдельных излучателей различаются на величину (2.20). Учитывая, что комплексные амплитуды возбуждения отдельных излучателей могут быть различными, получим следующее представление суммарной диаграммы направленности [3]

(2.22 )

Сравнивая выражение (2.21) и (2.22) можно заметить, что множитель направленности АР имеет вид

, (2.23 )

где p и q – координаты излучателя по оси ОХ и ОY соответственно;

- общее число излучателей в ФАР;

- разность хода лучей;

- комплексная амплитуда тока возбуждения на (p ; q ) излучателе.

Таким образом, если задано амплитудное распределение, линейные размеры антенной решетки, то определив по (2.19) и по (2.20 ) и приняв амплитуду тока , равной амплитуде напряжения возбуждения, можно найти множитель направленности АР без учета взаимной связи. Для учета взаимной связи вместо расчета фазы возбуждения необходимо рассчитать по (2.16) комплексную амплитуду тока и использовать эти значения в (2.23). Тип одиночного излучателя и его геометрия определяют его диаграмму направленности , что позволяет, в конечном счете, рассчитать общую диаграмму направленности ФАР

( 2.24)

3 . Программы для расчета характеристик ФАР

3.1 Общие сведения

В результате дипломной работы был создан пакет программ, предназначенный для расчета полевых и импедансных характеристик плоской ФАР, излучатели в составе которой представляют собой полосковые вибраторы или резонаторные излучатели, выполненные на многослойном диэлектрике (см. рис.2.1 и рис.2.2 ). Для каждого типа диэлектрика разработан собственный пакет. Эти пакеты идентичны, имеют одинаковые алгоритмы расчета и интерфейс, поэтому в дальнейшем будем рассматривать только один из пакетов.

Программный пакет выполнен в рамках математического пакета для инженерных расчетов Mathcad 2001, который благодаря наглядной форме отображения расчетных соотношений и результатов доступен для понимания пользователями. Кроме того, формулы, выходные данные, графики, построенные в данном пакете, могут быть легко импортированы в современные текстовые редакторы, такие как Word, что удобно при создании научных статей, отчетов и других работ.

Пакет, структурная схема пакета приведена на рис. 3.1, включает четыре программы, каждая из которых выполняет определенные функции:

· ФАР_вз_связь. mcd центральная программа пакета и выполняет расчет определение полевых и импедансных характеристик ФАР с учетом и без учета взаимной связи между излучателями;

· вз_сопрот. mcd – вспомогательная программа пакета и предназначена для исследования зависимости взаимного сопротивления излучателей от расстояния между ними;

· рез_размер. mcd программа, вычисляющая входное сопротивление излучателя при различной его длине и ширине. Эта программа может быть полезна при определении резонансного размера излучателя bрез;

· ФАР_полоса. mcd программа выполняющая расчет полевых и импедансных характерисик ФАР в полосе частот по результатам, полученным в программе ФАР_вз_связь. mcd . Эти результаты записаны в файлах данных.


Рис. 3.1 Структурная схема пакета программ

Программы связаны между собой с помощью гиперссылок, изображенные на рис.3.1 в виде стрелок, что позволяет удобно переходить от одной программы к другой не выходя из среды общей Mathcad. Это создает цельность структуры и общность восприятия пакета.

3.2 Программа для расчета полевых и импедансных характеристик ФАР

3 .2.1 Описание применения

Программа, имеющая название ФАР_вз_связь. mcd является центральной программой разработанного пакета и выполняет расчет характеристик плоской ФАР, выполненной из полосковых вибраторов или резонансных излучателей на многослойном диэлектрической подложке, с учетом и без учета взаимной связи между излучателями. Выходными данными программы являются:

· входное сопротивление одиночного излучателя;

· входное сопротивление каждого илучателя ФАР с учетом взаимной связи, рассчитанное по (2.17);

· входное сопротивление ФАР и КСВ при последовательной схеме питания;

· входное сопротивление ФАР и КСВ при двоично-этажной схеме питания;

· матрица взаимных сопротивлений (2.12);

· диаграмма направленности ФАР с учетом и без учета взаимной связи, рассчитаная по (2.24).

Входные данные задаются пользователем вручную в тексте программы, состав входных данных представлен в разделе 3.2.4.

3.2 .2 Методика испытаний

Объектом испытаний является файл с именем ФАР_вз_связь. mcd , который является программой для расчета полевых и импедансных характеристик ФАР с учетом и без учета взаимной связи между излучателями. Целью испытаний является проверка точности работы программы на конкретной вычислительной установке. Во время испытаний следует проверить прохождение контрольного примера при решении задачи с различными входными параметрами. Испытания следует проводить на той же вычислительной установке, на которой планируется эксплуатация программы.

Для проведения испытаний нужно иметь:

· установленный математический пакет Mathcad 2001 или его более поздние версии;

· файл с именем ФАР_вз_связь. mcd ;

· значения входных данных, приводимых ниже;

· таблицу тестовых результатов;

В качестве тестовой задачи выступает расчет АР с равноамплитудным возбуждением размером 2х2 на трех частотах: 1600МГц, 1680МГц, 1740МГц. Полученные в ходе тестирования данные будут являться исходными для тестирования программы ФАР_полоса. mcd . Общие исходные данные следующие:

· f0 =1680 МГц;

· f– одна из трех частот (1600МГц, 1680МГц, 1740МГц);

· Nx =2, Ny =2;

· dx =0,5; dy =0,5;

· a=b=0,424;

· d1 =3 мм, d2 =1 мм;

· ε1 =1; ε2 =2,6; ε3 =1; μ1 = μ2 = μ3 =1;

· Δxy =1;

· Θmax=φmax=0;

· ρл =50.

В результате трехкратного выполнения программы (последовательно изменяется только значение частоты f) в той же директории, где расположен файл ФАР_вз_связь. mcd , должны быть созданы три файла данных с именами: DataZ_2.6_1600_MHz.prn, DataZ_2.6_1680_MHz.prn, DataZ_2.6_1740_MHz.prn. Тексты этих файлов приведены в приложении 1.

3 .2.3Руководство пользователя

Программа ФАР_вз_связь. mcd является центральной программой пакета и выполняет расчет полевых и импедансных характеристик ФАР с учетом и без учета взаимной связи между излучателями на одной фиксированной частоте.

Программа разработана в рамках математического пакета для инженерных расчетов Mathcad 2001 Professional. Требования к ресурсам вычислительной техники определяются, в первую очередь, требованиями, предъявляемыми разработчиками данного математического пакета.

Для выполнения программы предъявляются следующие минимальные требования к вычислительной установке и системе:

· вычислительная установка типа IBMPCс процессором Pentium 133MHz;

· наличие CD-ROM (для установки мат. пакета);

· операционная система Windows 95 или Windows NT 4.0 или более поздние версии;

· объем оперативной памяти не менее 32MB (64 MB рекомендуется);

· объем свободного пространства на диске 1,4 MB (пакет программ) +120 MB (Mathcad);

Для выполнения программы необходимо:

1. Загрузить математический пакет Mathcad;

2. Открыть файл с именем ФАР_вз_связь, имеющий расширение mcd ;

3. В разделе Исходные данные для расчета ввести числовые значения указанных там параметров, указывая размерность для абсолютных величин;

4. После ввода исходных данных для начала вычисления нужно нажать клавишу F9, если в установках не указано автоматическое вычисление. Ошибки, которые могут возникнуть на этом этапе – это пустое поле одной из входных величин или же неверно указанная (или вовсе неуказанная) размерность величины. Признаком начала вычислений служит мигающая лампочка курсора. Время вычисления зависит от типа процессора и составляет для ФАР размера 4х4 около 10 минут при использовании процессора PentiumII 650 MHz.

5. По окончании расчетов (признаком окончания является возвращение обычной стрелки курсора) должны быть построены графики, выведены числовые значения, которые могут быть скопированы и через буфер обмена экспортированы в другие пакеты (например Word).

3.2.4 Описание программы

Программа ФАР_вз_связь. mcd является центральной программой пакета и выполняет расчет определение полевых и импедансных характеристик ФАР с учетом и без учета взаимной связи между излучателями. Результаты расчета в виде файлов данных являются исходными для программы полоса.

Алгоритм расчета взаимного сопротивления, используемый для расчетов, основан на методе бесконечных периодических структур, описанный подробно в [1, 2] и в разделах 2.1 и 2.2 данной дипломной работы.

Блок-схема программы представлена на рис. 3.2. В программе можно выделить три части, обозначенные в тексте программы в виде заголовков:

1. Исходные данные для расчета

В этой части производится ввод следующих параметров ФАР:

· f0 , f – центральная частота и частота для расчетов;

· Nx , Ny – количество излучателей вдоль оси ОХ, OY;

· dx , dy – шаг решетки вдоль оси ОХ, OY;

· a, b – ширина и длина одиночного излучателя;

· d1 , d2 – толщина слоев диэлектрической подложки;

· ε1 , ε2 , μ1 , μ2 – диэлектрическая и магнитная проницаемость слоев;

· Δx , Δy – величина пъедестала амплитудного возбуждения;

· θmax , φmax – углы фазирования АР;

· ρл – волновое сопротивление линии питания.

2. Основные расчетные соотношения

В этой части находятся все расчетные функции и формулы (для удобства использования программы эта громоздкая часть свернута в закрытую область, которую можно просмотреть раскрыть двойным щелчком по стрелке-указателю области), вычисляющие:

· входное сопротивление одиночного излучателя в составе бесконечной периодической решетки Zвх(Dr) (2.4);

· взаимное сопротивление Zz (2.8 );

· матрицу взаимных сопротивлений Z (2.12);

· матрицу токов [I] согласно (2.16);

· входное сопротивление излучателя с учетом взаимной связи Zвхсв (2.17);

· входное сопротивление ФАР при двоично-этажной схеме питания ZвхАРпаралл;

· входное сопротивление ФАР при последовательной схеме питания ZвхАРпосл;

· КСВ, Г.

3. Вывод результатов

В этой части строится график диаграммы направленности ФАР с учетом и без учета взаимной связи, выводится массив взаимных сопротивлений Z другие результаты расчета функций, представленный в предыдущем пункте.

Остановимся подробнее на второй части программы. Основу алгоритма расчета взаимного сопротивления составляет функция вычисления входного сопротивления излучателя в составе бесконечной периодической решетки. Расчет массива входных сопротивлений Za, выполняемый данной функцией, занимает основную часть машинного времени, поэтому оптимизации функции было уделено особое внимание. Блок-схема функции приведена на рис. 3.3. Массив входных данных представляет собой значения расстояний от крайнего излучателя (0; 0) до излучателей, расположенных на одном угловом направлении от него (рис. 2.5), и значения кратные этим расстояниям, сформированные в соответствии с рядом простых чисел, которые используются в процедуре (2.8). Из этого массива последовательно извлекается числовые значения, начиная с наименьшего, и проводится расчет входного сопротивления.

Согласно (2.4 ), расчет входного сопротивления необходимо производить путем интегрирования и суммирования в бесконечных пределах, что невозможно реализовать численными методами. Требуется ограничивать эти пределы, что неизбежно приводит к ошибке вычисления. Максимальное количество гармоник определяется величиной Nmax. Сложность заключается и в том, что эта величина зависит от расстояния Dr: чем больше расстояние между излучателями, тем больше требуется гармоник. Это приводит к тому, что время расчет входного сопротивления с ростом расстояния значительно увеличивается. С другой стороны, с ростом расстояния входное сопротивление излучателя в составе бесконечной периодической решетки изменяется слабо и в пределе стремится к собственному входному сопротивлению излучателя. Это обстоятельство и заложено в основу функции расчета сопротивления одиночного излучателя. Тем самым, требуется установить какой-либо критерий, по которому входное сопротивление уже бы не рассчитывалось, если оно с ростом Drизменяется незначительно. Для этого вводится величина Zdelta =|Znext -Zprev /Zprev |, представляющая собой относительную разность между вновь рассчитанным значением сопротивления Znext и предыдущим значением Zprev . Если величина Zdelta при очередном вычислении становится меньше устанавливаемой константы Ztol, то дальнейший расчет сопротивлений прекращается, а для последующих элементов из массива расстояний Dr, если они еще имеются, присваивается значение входного сопротивления, равное последнему рассчитанному.

Взаимное сопротивление вычисляется функцией Zz в соответствии с (2.8). Как уже отмечалось выше, взаимное сопротивление между разными парами будет совпадать, если излучатели в этих парах расположены под одним углом и на одинаковом расстоянии. Поэтому рассчет проводится только между крайним излучателем (0; 0) и всеми остальными излучателями ФАР. Остальные элементы в матрице взаимных сопротивлений (2.12) заполняются из соответствия углов и расстояний.

Как уже отмечалось ранее, собственное входное сопротивление излучателя можно вычислить используя функцию расчета входного сопротивления излучателя в составе бесконечной периодической решетки. Для этого выбирается период решетки равный 5λ, при таком расстоянии взаимное сопротивление пренебрежимо мало по сравнения с собственным сопротивлением.

Входное сопротивление ФАР при двоично-этажной схеме питания (ZвхАРпаралл) и при последовательной схеме питания (ZвхАРпосл) вычисляется на основе пересчитанных на край кромки входных сопротивлений излучателей. Эти сопротивления, определяемые через формулу для длинных линиях

, (3.1)

пересчитываются ко входу λ/4 трансформаторов. Трансформаторы располагаются на входе ФАР и предназначены для согласования сопротивления излучателей и волнового сопротивления линии питания ρл на центральной частоте f0. Поскольку согласование не является идеальным в полосе частот, в программе предусмотрен расчет КСВ и Г, характеризующие степень согласованности ФАР с линией питания.

Диаграмма направленности ФАР без учета взаимной связи рассчитывается по заданным параметрам амплитудного распределения и шага решетки по (2.24 ). Для учета взаимной связи при расчете множителя направленности АР по (2.23) используется комплексная амплитуда тока, рассчитанная по (2.16).


Рис. 3.2 Блок – схема программы ФАР_вз_связь



Рис. 3.3 Блок – схема функции расчета входного сопртивления излучателя в составе бесконечной периодической структуры


Массив рассчитанных значений входного сопротивления излучателя в составе бесконечной периодической решетки и массив, составленый из исходных данных, сохраняется в файле данных в той же директории, что и программа. Файл имеет название DataZ_*_***_MHz.prn, где первое число * – относительная диэлектрическая проницаемость второго слоя подложки, второе число *** – значение частоты, на которой проводился расчет (например, DataZ_2.6_1680_MHz.prn).

3.3 Программа для характеристик ФАР в полосе частот

3 .3.1 Описание применения

Программа, имеющая название ФАР_полоса. mcd ,выполняет расчет характеристик плоской ФАР, выполненной из полосковых вибраторов или резонансных излучателей на многослойном диэлектрической подложке, с учетом и без учета взаимной связи между излучателями в полосе частот. В программе рассматривается два варианта схемы питания ФАР: последовательная и ддвоично-этажная («елочка»). Кроме того, в программе предусмотрена возможность расчета согласующих λ/4 трансформаторов и выбор типа согласования (задается переменной Type) либо по входному сопротивлению, полученному без учета (Type=0), либо по сопротивлению, полученному с учетом взаимной связи (Type=1).

Программа применяется после того, как был проведен расчет на фиксированных частот с помощью программы ФАР_вз_связь. mcd . Выходными данными программы являются:

· график КСВ, входного сопротивления при последовательной схеме питания в полосе частот;

· график КСВ, входного сопротивления при двоично-этажной схеме питания в полосе частот;

· диаграмма направленности ФАР с учетом и без учета взаимной связи, построенная при двух выбранных частотах;

· входное сопротивление одиночного излучателя в полосе частот;

Входными данными являются файлы (DataZ_*_***_MHz.prn), формируемые программой ФАР_вз_связь. mcd . Количество подключаеиых файлов должно быть не менее трех.

3 .3.2 Методика испытаний

Объектом испытаний является файл с именем ФАР_полоса. mcd , который является программой для расчета полевых и импедансных характеристик ФАР в полосе частот. Целью испытаний является проверка точности работы программы на конкретной вычислительной установке. Во время испытаний следует проверить прохождение контрольного примера при решении задачи с различными входными параметрами. Испытания следует проводить на той же вычислительной установке, на которой планируется эксплуатация программы.

Для проведения испытаний нужно иметь:

· установленный математический пакет Mathcad 2001 или его более поздние версии;

· файл с именем ФАР_полоса. mcd ;

· не менее трех файлов данных с общем именем DataZ_*_***_MHz.prn;

· таблицу тестовых результатов.

В качестве тестовой задачи выступает определение характеристик ФАР с параметрами, представленными в разделе 3.2.2. Исходными данными являются файлы данных с именами DataZ_2.6_1600_MHz.prn, DataZ_2.6_1680_MHz.prn, DataZ_2.6_1740_MHz.prn, которые должны находиться в той же директории, где расположен файл ФАР_полоса. mcd , тексты этих файлов приведены в приложении 1. В самой программе в таблице Frequencyнеобходимо ввести числовые значения 1600,1680,1740 в произвольном порядке, если в таблице есть другие значения, то их надо удалить. Кроме того, надо указать εdiel =2.6, Type=1.

В результате должна быть построена ДН, КСВ (рис. 4.9 , 4.10) и получены следующие числовые значения:

3 .3.3 Руководство пользователя

Программа ФАР_полоса. mcd является дополнением к центральной программе пакета ФАР_вз_связь. mcd и выполняет расчет полевых и импедансных характеристик ФАР с учетом и без учета взаимной связи между излучателями в полосе частот.

Программа разработана в рамках математического пакета для инженерных расчетов Mathcad 2001 Professional. Требования к ресурсам вычислительной техники представлены в разделе 3.2.3 данной дипломной работы.

Для выполнения программы необходимо:

1. Загрузить математический пакет Mathcad 2001;

2. Открыть файл с именем ФАР_полоса , имеющий расширение mcd ;

3. В разделе Исходные данные для расчета в таблице Frequencyнеобходимо ввести числовые значения не менее трех частот. В директории, где расположена программа ФАР_полоса , должны находиться файлы данных с именами, соответствующими введенным значениям частот (например, если в таблице были введены числа 1670,1680,1690, то должны быть файлы DataZ_2.6_1670_MHz.prn, DataZ_2.6_1680_MHz.prn, DataZ_2.6_1690_MHz.prn). Если таких файлов данных не существует, то необходимо перейти в программу ФАР_вз_связь и провести последовательно расчет на каждой из интересующих частот. Кроме того, следует ввести значение относительной диэлектрической проницаемости второго слоя подложки в поле εdiel . Это сделано для того, чтобы можно было проводить анализ характеристик ФАР при различных материалах подложки.

4. Для начала вычислений нужно нажать клавишу F9, если в установках не указано автоматическое вычисление. Ошибки, которые могут возникнуть на этом этапе – это отсутствие одного или нескольких подключаемых файлов данных. Проверьте в директории, где расположена программа ФАР_полоса , наличие всех файлов данных. Признаком начала вычислений служит мигающая лампочка курсора. Время вычислений незначительно (до 1 мин.)

5. По окончании расчетов (признаком окончания является возвращение обычной стрелки курсора) должны быть построены графики, выведены числовые значения, которые могут быть скопированы и через буфер обмена экспортированы в другие пакеты (например Word). Поскольку для построения графиков используется интерполяция расчетных точек, может возникнуть ситуация, когда интерполированный график выходит за границы физической реализуемости параметров (например, КСВ<1, Re(Zвх )<0). Для устранения этого явления рекомендуется дополнить количество расчетных точек, выполнив вычисления в программе ФАР_вз_связь на частоте, где происходит искажение величины.

3 .3.4 Описание программы

Программа ФАР_полоса. mcd является дополнением к центральной программе пакета ФАР_вз_связь и создана для удобства обработки результатов. Расчет в полосе частот можно было бы производить и в рамках одной программы ФАР_вз_связь , но это потребовало бы значительных одновременных затрат ресурсов вычислительной техники (до 1 часа). При расчете характеристик ФАР последовательно на каждой из частот существует возможность прервать вычисления на одной из них при получении некорректного результата или при выходе результата за границы интересующего диапазона.

Алгоритм расчета, используемый в данной программы, совпадает с алгоритмом программы ФАР_вз_связь (рис.3.2). Подробное его описание можно найти в разделе 3.2.4. Отличие заключается в том, что в программе не проводится расчет массива входных сопротивлений излучателя в составе бесконечной периодической решетки Za. Этот массив считывается с файлов данных. Кроме того, пользователем не вводятся исходные данные для расчета, они также считывается с файлов данных.

Главной особенностью программы является построение характеристик ФАР (КСВ, Zвх ) в полосе частот. Количество расчетных точек должно быть не менее трех, верхний предел не ограничен, но исходя из значительных затрат машинного времени не может быть несколько десятков, которое требуется для построения гладких графиков. Для решения этой проблемы в программе предусмотрена интерполяция расчетных точек полиномом второй степени, которая осуществляется с помощью встроенной функции математического пакета.

3.4 Программа для расчета входного сопротивления изолированного излучателя

3 .4.1 Описание применения

Программа, имеющая название рез_размер. mcd ,проводит расчет входного сопротивления изолированного одиночного излучателя, выполненного на многослойном диэлектрической подложке, при различной геометрии излучателя (размера a и b). Программа применяется для того, чтобы выбрать резонансный размер излучателя, при котором Xвх =0. Выбранный размер используется в дальнейшем в программе ФАР_вз_связь. mcd . Выходными данными программы являются:

· график активной части входного сопротивления излучателя в зависимости от его длины b;

· график реактивной части входного сопротивления излучателя в зависимости от его длины b;

Входные данные задаются пользователем вручную в тексте программы, состав входных данных представлен в разделе 3.4.4.

3 .4.2 Методика испытаний

Объектом испытаний является файл с именем рез_размер. mcd ,который является программой, позволяющей определить резонансный размер излучателя. Во время испытаний следует проверить прохождение контрольного примера при решении задачи с различными входными параметрами. Испытания следует проводить на той же вычислительной установке, на которой планируется эксплуатация программы.

Для проведения испытаний нужно иметь:

· установленный математический пакет Mathcad 2001 или его более поздние версии;

· файл с именем рез_размер. mcd ;

· значения входных данных, приводимых ниже;

· таблицу тестовых результатов.

В качестве тестовой задачи выступает определение резонансного размера квадратного излучателями при разных материалах подложки. Общие исходные данные следующие:

· f0 =1680 МГц;

· d1 =3 мм, d2 =1 мм;

· ε1 =1, ε3 =1, μ1 =1, μ2 =1, μ3 =1;

· b0λmin =0,4;

· b0λmax =0,6;

· Nb0 =3.

Для открытой структуры в зависимости от материала подлжки должны быть получены следующие резонансные размеры:

1) ε2 =1, a =b =0,463;

2) ε2 =2,6, a =b =0,424;

3) ε2 =5, a =b =0,405.

3 .4.3 Руководство пользователя

Программа рез_размер. mcd является дополнением к центральной программе пакета и позволяет определить резонансный размер одиночного излучателя, который используется в исходных данных для расчета программы ФАР_вз_связь .

Программа разработана в рамках математического пакета для инженерных расчетов Mathcad 2001 Professional. Требования к ресурсам вычислительной техники представлены в разделе 3.2.3 данной дипломной работы.

Для выполнения программы необходимо:

1. Загрузить математический пакет Mathcad 2001;

2. Открыть файл с именем рез_размер , имеющий расширение mcd ;

3. В разделе Исходные данные для расчета ввести числовые значения нижеуказанных параметров, указывая размерность для абсолютных величин.

· f0 – частота для расчетов;

· a, b – ширина и длина одиночного излучателя;

· d1 , d2 – толщина слоев диэлектрической подложки;

· ε1 , ε2 , μ1 , μ2 – диэлектрическая и магнитная проницаемость слоев;

В программе предусмотрены два варианта изменения размера излучателя:

a) b = varia , a = const . В этом случае ширина излучателя a остается постоянной, а его длина b изменяется в задаваемых пределах с фиксированным шагом;

b) b = varia , a = kb . В этом случае изменяется и длина b излучателя в задаваемых пределах с фиксированным шагом, и пропорционально длине ширина a (k – коэффициент пропорциональности);

4. Для начала вычислений нужно нажать клавишу F9, если в установках не указано автоматическое вычисление. Ошибки, которые могут возникнуть на этом этапе – это пустое поле одной из входных величин или же неверно указанная (или вовсе неуказанная) размерность величины. Признаком начала вычислений служит мигающая лампочка курсора. Время вычислений незначительно (до 2–3 мин.);

5. По окончании расчетов (признаком окончания является возвращение обычной стрелки курсора) должны быть построены графики, выведены числовые значения, которые могут быть скопированы и через буфер обмена экспортированы в другие пакеты (например Word). Поскольку для построения графиков используется интерполяция расчетных точек, может возникнуть ситуация, когда интерполированный график выходит за границы физической реализуемости параметров (например, Re(Zвх )<0). Для устранения этого явления рекомендуется увеличить количество расчетных точек в заданном интервале. Резонансный размер излучателя определяется по графику X(b), из условия X(bрез )=0.

3 .4.4 Описание программы

Программа рез_размер. mcd явлется дополнением к центральной программе пакета ФАР_вз_связь и выполняет расчет входного сопротивления изолированного одиночного излучателя.

Алгоритм расчета входного сопротивления, используемый в данной программы, основан на алгоритме входного сопротивления излучателя в составе бесконечной периодической решетки. Для этого выбирается период решетки равный 5λ, при таком расстоянии взаимное сопротивление пренебрежимо мало по сравнения с собственным сопротивлением. Подобный алгоритм используется в программе ФАР_вз_связь. mcd , рассмотренный в разделе 3.2.4. Особенность заключается в том, что массив входных сопротивлений вычисляется при варьируемой геометрии излучателя. Блок – схема функции расчета входного сопртивления одиночного излучателя представлена на рис. 3.4.

Для увеличения быстродействия в программе проводится интерполяция расчетных точек полиномом второй степени, которая осуществляется с помощью встроенной функции математического пакета.


Рис. 3 .4 Блок – схема функции расчета входного сопртивления одиночного излучателя

3.5 Программа для расчета взаимного сопротивления между излучателями

3 .5.1 Описание применения

Программа, имеющая название вз_сопрот. mcd ,проводит расчет взаимного сопротивления между двумя излучателями при различном угловом положении и расстоянии между ними. Программа применяется для того, чтобы исследовать как взаимная связь изменяется с расстоянием. Выходными данными программы являются:

· график активной части взаимного сопротивления между излучателям в зависимости от расстояния dмежду ними;

· график реактивной части взаимного сопротивления между излучателям в зависимости от расстояния dмежду ними;

Входные данные задаются пользователем вручную в тексте программы, состав входных данных представлен в разделе 3.5.4.

3 .5.2 Методика испытаний

Объектом испытаний является файл с именем вз_сопрот. mcd . Во время испытаний следует проверить прохождение контрольного примера при решении задачи с различными входными параметрами. Испытания следует проводить на той же вычислительной установке, на которой планируется эксплуатация программы.

Для проведения испытаний нужно иметь:

· установленный математический пакет Mathcad 2001 или его более поздние версии;

· файл с именем вз_сопрот. mcd ;

· значения входных данных, приводимых ниже;

· таблицу тестовых результатов.

В качестве тестовой задачи выступает расчет зависимости взаимного сопротивления между квадратными параллельными излучателями от расстояния между ними при разных материалах подложки. Общие исходные данные следующие:

· f0 =1680 МГц;

· d1 =3 мм, d2 =1 мм;

· ε1 =1, ε3 =1, μ1 =1, μ2 =1, μ3 =1;

· α=90˚ (параллельные излучатели);

· d0λmin =0,2,

· d0λmax =1,2,

· Nd0 =6.

В качестве подлжки используются материалы с ε2 =1; ε2 =2,6; ε2 =5. Для каждого из них был выбран резонансный размер посредством программы рез_размер. mcd :

4) ε2 =1, a =b =0,463

5) ε2 =2,6, a =b =0,424

6) ε2 =5, a =b =0,405

Результаты расчета для каждого диэлектрика представлены на рис.4.1 и в табл. 4.1.

3 .5.3 Руководство пользователя

Программа вз_сопрот. mcd является автономной программой пакета и может быть использована независимо от других программ пакета. Программа позволяет исследовать взаимную связь между излучателям при различном расстоянии и угловом положении.

Программа разработана в рамках математического пакета для инженерных расчетов Mathcad 2001 Professional. Требования к ресурсам вычислительной техники представлены в разделе 3.2.3 данной дипломной работы.

Для выполнения программы необходимо:

1. Загрузить математический пакет Mathcad 2001;

2. Открыть файл с именем вз_сопрот , имеющий расширение mcd ;

3. В разделе Исходные данные для расчета ввести числовые значения нижеуказанных параметров, указывая размерность для абсолютных величин:

·f0 – частота для расчетов;

·a0 λ , b0 λ – ширина и длина одиночного излучателя;

·d1 , d2 – толщина слоев диэлектрической подложки;

·ε1 , ε2 , ε3 , μ1 , μ2 , μ3 – диэлектрическая и магнитная проницаемость слоев;

·α – параллельные излучатели;

·d0 λmin – минимальное относительное расстояние между излучателями,

·d0 λmax – максимальное относительное расстояние между излучателями,

·Nd 0 – количество точек для расчета.

4. Для начала вычислений нужно нажать клавишу F9, если в установках не указано автоматическое вычисление. Ошибки, которые могут возникнуть на этом этапе – это пустое поле одной из входных величин или же неверно указанная (или вовсе неуказанная) размерность величины. Признаком начала вычислений служит мигающая лампочка курсора. Время вычислений незначительно (до 2–3 мин.);

5. По окончании расчетов (признаком окончания является возвращение обычной стрелки курсора) должны быть построены графики, выведены числовые значения, которые могут быть скопированы и через буфер обмена экспортированы в другие пакеты (например Word). Поскольку для построения графиков используется интерполяция расчетных точек, может возникнуть ситуация, когда интерполированный график выходит за границы физической реализуемости параметров. Для устранения этого явления рекомендуется увеличить количество расчетных точек в заданном интервале.

3 .5.4 Описание программы

Программа вз_сопрот. mcd явлется автономной программой пакета и может быть использована независимо от других программ пакета. Программа позволяет исследовать взаимную связь между излучателям при различном расстоянии и угловом положении.

Алгоритм расчета взаимного сопротивления основан на процедуре (2.8) и совпадает с алгоритмом, который используется в программе ФАР_вз_связь. mcd и подробно рассмотрен в разделе 3.2.4 данной дипломной работы.

Для увеличения быстродействия в программе проводится интерполяция расчетных точек полиномом второй степени, которая осуществляется с помощью встроенной функции математического пакета.

4 . Результаты расчетов

4.1 Взаимное сопротивление

Разработанный пакет программ позволяет исследовать различные зависимости характеристик ФАР от параметров решетки и излучателя. Рассмотрим некоторые из них.

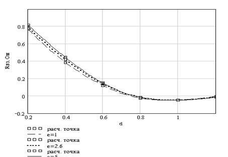
С помощью программы вз_сопрот. mcd ,был проведен расчет взаимного сопротивления между двумя излучателями, имеющими структуру как на рис. 2.1 и 2.2, при различных материалах подложки (ε=1; ε= 2,6; ε=5). Результаты расчета модуля взаимного сопротивления для открытой структуры (рис. 2.1) представлены в табл.4.1 и на рис.4.1.

Таблица 4.1

d/λ Zвз , Ом (ε2 =1) Zвз , Ом (ε2 =2,6) Zвз , Ом (ε2 =5)
0,2 0,771‑j3,212 0,794‑j0,841 0,816+j0,11
0,4 0,387‑j0,107 0,42+j0,071 0,444+j0,065
0,6 0,12‑j0,104 0,139‑j0,092 0,148‑j0,092
0,8 -0,025‑j0,077 -0,018‑j0,078 -0,016‑j0,08
1,0 -0,046‑j2,563·10-3 -0,048+j2,884·10-4 -0,049+j4,628·10-4
1,2 -7,419·10-3 +j0,028 -0,014+j0,033 -0,015+j0,036

Рис. 4.1 Зависимость модуля взаимного сопртивления от относительного расстояния между параллельными излучателями (открытая структура)


Рис. 4.2 Зависимость модуля взаимного сопртивления от относительного расстояния между параллельными излучателями (закрытая структура)

Как видно из графиков, взаимное сопротивление с увеличением расстояния убывает и в пределе стремится к нулю, это полностью подтверждает все теоретические положения. Анализируя влияние диэлектрика, для открытой структуры можно сделать вывод, что с ростом величины ε взаимная связь проявляется меньше на малых расстояниях при d/λ<0,4. При d/λ>0,4 различие в величинах диэлектрической проницаемости подложки проявляется меньше. Для закрытой структуры различие в величинах диэлектрической проницаемости подложки практически не проявляется даже при малых расстояниях.


Рис. 4.3 Зависимость активной части взаимного сопротивления от расстояния

Рис. 4.3 Зависимость реактивной части взаимного сопротивления от расстояния

4.2 Диаграмма направленности ФАР

Интересным является исследование взаимной связи на такую характеристику антенны как диаграмма направленности. С помощью программы ФАР_вз_связь. mcd можно исследовать зависимость ДН ФАР от шага излучателей, диэлектрической проницаемости подложки ε и других параметров. В данной дипломной работе была исследована зависимость степени влияния взаимной связи на ДН от размера решетки. С этой целью были рассмотрены три антенные решетки: 2х2, 4х4 и 8х4. При этом все решетки имели следующие общие параметры:

1. f0 =1680 МГц;

2. ε2 =5;

3. a=b=0,405;

4. dx =dy =0,5.

Рис. 4.4 ДН ФАР, 2х2 (открытая структура)

Для наглядности анализа ДН ФАР с учетом и без учета взаимной связи строились на одном графике. На всех нижеприведенных рисунках сплошная линия обозначает ДН без учета взаимной связи, штриховая линия – ДН с учетом взаимной связи.


Рис. 4.5 ДН ФАР, 4х4 (открытая структура)

Рис. 4.6 ДН ФАР, 4х4 (закрытая структура)

Рис. 4.7 ДН ФАР, 8х4 (открытая структура)


Из рис. 4.4-4.7 можно сделать вывод, что ДН ФАР, построенная с учетом взаимной связи отличается от ДН, построенной без учета взаимной связи, а именно:

1. Наблюдается смещение максимума в направлении, совпадающим с направлением отклонения луча.

2. Уровень боковых лепестков при взаимной связи увеличивается.

3. Происходит так называемое «заплывание нулей» при учете взаимной связи.

4. С ростом количества элементов в АР влияние взаимной связи сказывается в меньшей степени на ДН, чем при малом количестве излучателей, сравните рис. 4.4 и 4.7.

Последнее замечание объясняется тем, что при большом размере антенной решетки центральные ее элементы находятся примерно в одинаковых условиях, тогда как для решеток с малым размером (4х4, 4х2) наблюдается «краевой эффект». Надо отметить, что для решетки 2х2 и 2х1 при фазировании по нормали взаимная связь не влияет на ДН, т. к. все элементы находятся в одинаковых краевых условиях.

4.3 Частотные характеристики ФАР

Поскольку в результате взаимного влияния входное сопротивление излучателя, находящегося в составе АР отличается от сопротивления изолированного излучателя, то и сопротивление всей АР будет отличаться от сопротивления, рассчитанного в предположении отсутствия взаимного влияния излучателей друг на друга. Это может привести к рассогласованию входа АР с фидерной линии. Поэтому очень полезным является рассмотрение входного сопротивления АР в полосе частот и определение такого параметра согласования как КСВ.

Данную возможность предоставляет программа ФАР_полоса. mcd . Ниже приводятся частотные графики КСВ для последовательной и двоично-этажной схем питания с указанием относительной ширины полосы пропускания (%), определяемой по уровню КСВ=2. Расчет проводился для решетки 2х2, f0 =1680 МГц, ε2 =2,6.

Рис. 4.8 Согласование без учета взаимной связи

Как видно из рис. 4.8, если проводить согласование без учета взаимной связи, то относительной ширины полосы пропускания окажется на 0,5% меньше, к тому же наблюдается смещение центральной частоты (1680 МГц). На рис. 4.9 приведено согласование уже с учетом взаимной связи, при этом относительной ширина полосы пропускания увеличилась примерно на 1,7%, но при этом ни на одной из частот не достигается идеального согласования (КСВ=1).

Схема согласования, выполненная на двойном λ/4 трансформаторе увеличивает полосу пропускания от 0,2 до 0,5%. Двоично-этажная схема питания при согласовании с учетом взаимной связи дает большую полосу пропускания, чем последовательная.

Смещение чентральной частоты хорошо иллюстрируют частотные графики входного сопротивления ФАР. Как видно из рис. 4.11 и 4.12 резонансная частота (Xвх =0) смещена в область меньших частот.

Рис. 4.9 Согласование с учетом взаимной связи

Рис. 4.10 Согласование с учетом взаимной связи


Рис. 4.11 Частотная зависимость входного сопротивления(тонкие линии – без учета взаимной связи)

Рис. 4.12 Частотная зависимость входного сопротивления(тонкие линии – без учета взаимной связи)

5 . Технико-экономическое обоснование дипломной работы

5 .1 Краткая характеристика работы

В результате дипломной работы была разработана программа для расчета взаимных связей между излучателями, находящимися в составе плоской антенной решетки. Излучатели могут быть как резонаторными, так и полосковыми вибраторами. Диэлектрик, служащий в качестве подложки, является многослойным. Программа разработана в рамках математического пакета для инженерных расчетов Mathcad.

5.2 Определение затрат на создание программы

Для определения этих затрат воспользуемся методикой, изложенной в [8 ]. Необходимо рассчитать расходы по оплате труда разработчиков программы и расходы по оплате машинного времени при разработке программы.

5 .2.1 Расходы по оплате труда разработчиков программы

Этот вид расходов определяется путем умножения трудоемкости программы на среднюю часовую оплату программиста.

, руб. ( 5 .1)

где t – трудоемкость создания программы,

- среднечасовая зарплата программиста.

Трудоемкость создания программы включает в себя затраты труда на следующие этапы:

· подготовка описания задачи,

· исследование алгоритма и разработка блок-схемы программы,

· программирование по готовой блок-схеме,

· отладка программы на ЭВМ,

· подготовка документации по задаче.

Составляющие затрат труда можно определить через условное число операторов в программном продукте. В эту категорию входят те операторы, которые необходимо написать программисту в процессе работы над задачей с учетом возможных уточнений в постановке задачи, коррекции программы и совершенствования алгоритма реализации поставленных требований и условий.

Условное число операторов можно определить по следующей формуле [8]

, ( 5 .2)

гдеq – предполагаемое число операторов, шт.;

с – коэффициент сложности программы. Этот коэффициент находится в пределах от 1 до 2 [8];

p – коэффициент коррекции программы в ходе ее разработки. Этот коэффициент находится в пределах от 0,05 до 1 [8 ].

Предполагаемое число операторов можно определить, исходя из предварительной версии программы. В программе 330 строк, каждая строка включает в среднем по 3 оператора, поэтому q=1000.

В данном программном продукте при расчете характеристик антенных решеток используются матрицы с комплексными значениями токов, напряжений и сопротивлений. Для их расчета применялись тензорные функции Грина, численное интегрирование функций методом Симпсона, для отображения результатов расчета применялись методы интерполяции. Все это позволяет заключить, что программа является достаточно сложной, поэтому выбираем коэффициент сложности программы с=2.

В процессе работы программный продукт исправлялся, дополнялся и уточнялся. Относительно первоначального варианта в окончательный вариант было внесено до 30% различного рода изменений, поэтому примем коэффициент коррекции программы p=0,3.

Тогда в соответствии с формулой (5.2 ) условное число операторов будет равноQ=1000·2·(1+0,3)=2600 шт.

Затраты труда на изучение описания задачи с учетом уточнения описания и квалификации программиста определяются по следующей формуле, взятой из [8]

, чел.‑ч (5.3 )

гдеB – коэффициент увеличения затрат труда вследствие недостаточного описания задачи, уточнений и некоторой доработки. Этот коэффициент находится в пределах от 1,2 до 5;

K – коэффициент квалификации разработчика. Он должен составлять для работающих до 2 лет – 0,8; от 2 до 3 лет – 1,0; от 3 до 7 лет – 1,3÷1,4; свыше 7 лет – 1,5÷1,6.

Постановка задачи была описана четко, грамотно и полно. Потребовались лишь незначительные уточнения и корректировки. Поэтому можно принять B=1,5.

Разработчиком программного продукта является студент, работающий менее 2 лет, поэтому коэффициент квалификации разработчика принимаем K=0,8.

Затраты труда на описание задачи, исходя из выбранных выше коэффициентов, в соответствии с формулой (5.3), будут равны

чел.‑ч

Затраты труда на разработку алгоритма решения задачи определяются по следующей формуле, взятой из [8]


, чел.‑ч (5.4 )

где Q – условное число операторов, определяемое по (5.2);

K – коэффициент квалификации разработчика, который был определен ранее.

Так как разработка алгоритма была довольно сложной задачей, то примем числовой коэффициент, находящийся в знаменателе формулы (5.4), равным 60.

Тогда затраты труда на разработку алгоритма, в соответствии с формулой (5.4), будут равны

чел.‑ч.

Затраты труда на составление программы по готовой блок-схеме определяются по следующей формуле, взятой из [8 ]

, чел.‑ч (5.5 )

где коэффициенты Qи Kимеют тот же смысл, что и в предыдущих формулах. Числовой коэффициент примем равным 60.

Тогда затраты труда на составление программы по блок-схеме, в соответствии с формулой (5.5), будут равны

чел.‑ч.

Затраты труда на отладку программы на ЭВМ при автономной отладке одной задачи определяются по следующей формуле, взятой из [8]

, чел.‑ч (5.6 )


При комплексной отладке эти же затраты определяются по формуле из [8]

, чел.‑ч ( 5 .7)

Отладка программы требовала значительных затрат, особенно машинного времени, поэтому в формуле (5.6) примем числовой коэффициент равным 40.

Данный программный продукт представляет комплекс программ, каждая из которых выполняет определенную функцию, поэтому в ходе работы требовалась комплексная отладка, включающая в себя как отладку каждой программной единицы, так и отладку совместимости этих единиц. Таким образом, в соответствии с формулами (5.6) и (5.7) имеем следующие затраты на отладку программы

чел.‑ч

чел.‑ч

Любой программный продукт требует точного и ясного документирования. Выходными документами для данной прграммы явились пояснительная записка дипломной работы, руководство пользователя, руководство программиста и комментарии в тексте программы в соответствии с [9], [10 ].

Затраты труда на подготовку документации можно определить по следующей формуле, взятой из [8 ]

, чел.‑ч (5.8)

где - затраты труда на подготовку материала к рукописи, чел.‑ч;

- затраты труда на редактирование, печать и оформление документации.

Эти два вида затрат определяются по следующим формулам, взятым из [8]

, чел.‑ч (5.9 )

, чел.‑ч (5.10 )

Численный коэффициент в формуле (5.9) примем равным 200, поскольку подготовка материалов к рукописи производилась в удобных графических оболочках математического пакета Mathcad, имеющего все необходимо функции текстового редактора. Исходя из этого определяем, что

чел.‑ч,

чел.‑ч.

Общие затраты труда на подготовку документации в соответствие с ‑ч (5.8) составят

, чел.‑ч

Общая трудоемкость создания программного продукта определяется по формуле, взятой из [8]

, чел.‑ч (5.11)

Подставив ранее полученные значения в формулу ‑ч (5.11), определим общую трудоемкость

чел.‑ч

Полученные данные на затраты труда сведены в табл. 5.1.


Табл. 5.1

Наименование затрат Трудоемкость, чел.-ч
Подготовка описания задачи 61
Разработка алгоритма решения задачи 54,2
Составление программирование 54,2
Отладка программы на ЭВМ 121,9
Подготовка документации по задаче 28,5
Общие затраты труда 319,8

5 .2.2 Среднечасовая оплата разработчика

Разработка программного продукта проводилась на кафедре ВЧСРТ, зарплата научного сотрудника этой кафедры на апрель 2001 года составляла 1760 руб. Определим среднечасовую оплату разработчика. Количество часов в рабочем дне составляет 8, количество рабочих дней при пятидневной рабочей неделе в месяце 22. Среднечасовая оплата определяется как отношение зарплаты к числу рабочих часов в месяце

, руб./ч (5.12)

руб./ч

При рассчитаных общих затратах труда и зная среднечасовую оплату труда, можно найти прямую заработную плату разработчика программного продукта в соответствие с [8 ]

, руб. (5.13)

руб.

Основная зарплата (ОЗП) рассчитывается по формуле:

ОЗП=ПЗП+Премия, руб. (5.14)

При премии в 10% основная зарплата составит

ОЗП= 3198+3198·0,1=3517,8 руб.

С учетом уральского коэффициента, который равен 15%, основная зарплата будет составлять

ОЗП =3517,8·1,15=4045,5 руб.

Дополнительная заработная плата составляет 12,5% от ОЗП, или 505,7 руб., отчисления на социальные нужды 36,5%-1476,6 руб.

Табл. 5.2

Наименование затрат Затраты, руб.
Основная заработная плата 4045,5
Дополнительная заработная плата 505,7
Отчисления на социальные нужды 1476,6
Общие затраты по оплате труда разработчика программы 6027,8

5 .2.3 Затраты по оплате машинного времени

Эти затраты определяются путем умножения фактического (планового) времени отладки программы и времени подготовки документации, проводимой также с помощью ЭВМ, на стоимость машино-часа вычислительной техники

, руб. (5.15)

В свою очередь, стоимость машино-часа вычислительной техники определяется по следующей формуле, взятой из [8]

, руб./ч (5.16)


где- действительный годовой фонд времени ЭВМ, ч;

- годовые издержки на амортизацию, руб.;

– годовые издержки на зарплату обслуживающему персонала, руб.;

– годовые издержки на вспомогательные материалы, руб.;

– годовые издержки натекущий ремонт, руб.;

– прочие расходы, руб.;

– накладные расходы, руб.

Стоимость ЭВМ, согласно товарному чеку, составляет 10 000 руб. Согласно [11], издержки на амортизацию составляют 12,5% в год

=10000·0,125=1250 руб. (5.17)

Издержек на зарплату обслуживающему персоналу нет ( руб.). Кроме того, нет издержек на текущий ремонт, т. к. в течение года действовал гарантийный срок (руб.).

Поскольку в процессе работы проводилась распечатка данных результатов машинного расчета, необходимых для отладки, документации на программный продукт, то к издержкам на вспомогательные материалы стоит отнести затраты на бумагу для принтера и его заправку. Среднегодовой расход бумаги составляет 500 листов, или одну пачку. Стоимость одной пачки бумаги для принтера равна 95 руб. (данные взяты из расценника одного из магазинов, торгующего расходными материалами). Среденгодовой расход чернил для принтера составляет один картридж. Стоимость заправки черно-белого картриджа равна 200 руб. (данные взяты из расценника фирмы, занимающейся обслуживанием офисной техники). Суммарные издержки на вспомогательные материалы составят

руб.

Затраты на электроэнергию определяются по следующей формуле, взятой из [8 ]

, руб. (5.18)

где- потребляемая мощность ЭВМ, равна 250 Вт по техн. паспорту;

- действительный годовой фонд времени ЭВМ, ч;

- стоимость 1 кВт·ч электроэнергии, на апрель 2001 года составляла 0,90 руб.

Действительный годовой фонд времени ЭВМ можно определить исходя из того, что ЭВМ эксплуатируется каждый день в среднем в течение 3 часов.

ч

Таким образом, согласно формуле (5.18) получаем следующие затраты на электроэнергию

руб.

В соответствие с формулой (5.16) стоимость машино-часа собственной вычислительной техники будет равна

руб./ч

Тогда затраты по оплате машинного времени согласно формуле (5.15) составят

руб.

5 .2.4 Общие затраты на создание программы

Эти затраты определяются как сумма затрат по оплате труда разработчика программного продукта и затрат по оплате машинного времени


, руб. (5.19)

6108,7+246=6354,7 руб.

Основную часть затрат на создание программы составляют затраты по оплате труда разработчика. Если при создании программы использовать квалифицированного специалиста с опытом работы свыше 7 лет, что соответствует коэффициенту квалификации К=1,6, то общая трудоемкость создания программного продукта уменьшится вдвое. Однако, среднечасовая оплата квалифицированного разработчика будет в 2,5–3 раза выше, поскольку его среднемесячная зарплата должна составлять не менее 5000 руб. (данные по вакансиям программистов). Из всего этого следует, что стоимость создания программы высококвалифицированным разработчиком будет в 1,25–1,5 раз выше, чем в данном случае.

6 . Безопасность и экологичность дипломной работы

6.1 Краткая характеристика работы

В результате дипломной работы была разработана программа для расчета взаимных связей между излучателями, находящимися в составе плоской антенной решетки. Излучатели могут быть как резонаторными, так и полосковыми вибраторами. Диэлектрик, служащий в качестве подложки, является многослойным. Программа разработана в рамках математического пакета для инженерных расчетов Mathcad.

6.2 Безопасность проекта

6 .2.1 Электробезопасность рабочего места

Рабочим местом в данной дипломной работе является место пользователя ПЭВМ. В ЭВМ источником опасности является электрическая часть, а именно входные цепи блока питания, который может быть подключен к сети промышленного тока напряжением 220 В частотой 50 Гц, с изолированной нейтралью. Данный уровень напряжения представляет опасность для человеческой жизни. Выходные цепи блока питания составляют 15, 5 В. Следовательно, устройство относится к установкам с рабочим напряжением до 1000 В.

Использовавшееся помещение с ЭВМ относится к классу помещений без повышенной опасности с точки зрения поражения электрическим током. Температура окружающей среды +20 °С,относительная влажность воздуха 60±20%. В помещении должны быть непроводящие полы, отсутствовать токопроводящая пыль, отсутствовать электрически активная среда, отсутствовать возможность одновременного прикосновения к металлическим частям прибора и заземляющему устройству, отсутствовать высокая температура и сырость.

Эксплуатация устройства должна производиться персоналом, имеющим квалификацию по ТБ III. Работа по устранению неисправностей и наладка должна производиться персоналом с квалификационной группой по ТБ не ниже III и только после снятия напряжения питания с устройства.

Согласно [23], предельно допустимые значения напряжения прикосновения и тока составляют, соответственно 20 В и 6 мА при продолжительности воздействия тока более 1 сек. Поэтому, необходимо предусмотреть защитное заземление, которое обеспечило бы защиту людей от прикосновения к нетоковедущим частям (корпуса измерительных приборов), которые могут оказаться под напряжением в результате повреждения изоляции.

Стекание тока в землю происходит только через проводник, находящийся с нею в непосредственном контакте. Такой контакт обеспечивается проводником или группой соединенных между собой проводников. Одиночный проводник, находящийся в контакте с землей называется одиночным заземлителем или заземляющим электродом, а заземлитель, состоящий из нескольких параллельно соединенных электродов, называется групповым или сложным заземлителем.

По условиям безопасности заземление должно обладать сравнительно малым сопротивлением, обеспечить которое можно путем увеличения геометрических размеров одиночного заземлителя или применения группового заземлителя. В нашем случае, будем использовать групповой заземлитель.

Коэффициент использования проводимости заземления или просто коэффициент использования, есть отношение действительной проводимости группового заземлителя к наибольшей возможной его проводимости, т.е. при бесконечно больших расстояниях между электродами:


(6.1)

При использовании группового заземлителя определить коэффициент использования расчетным путем сложно. Поэтому, при расчете заземляющих устройств, значения η берутся из таблицы 6.1, составленной на основании опытов [24].

Табл. 6.1

η Отношение расстояний между вертикальными электродами к их длине Число вертикальных электродов
2 4 6 10 20
ηв 1 0.85 0.73 0.65 0.59 0.48
2 0.91 0.83 0.77 0.74 0.67
3 0.94 0.89 0.85 0.81 0.76
ηг 1 0.85 0.77 0.72 0.62 0.42
2 0.94 0.80 0.85 0.75 0.56
3 0.96 0.92 0.88 0.82 0.68

Здесь: ηв – коэффициент использования вертикальных электродов группового заземлителя (труб, уголков и т.п.) без учета влияния полосы связи (электроды размещены в ряд);

ηг – коэффициент использования горизонтального полосового электрода, соединяющего вертикальные электроды.

Проводимость группового заземлителя получается путем суммирования проводимостей заземлителей обоих типов (вертикального и горизонтального), поскольку они работают параллельно:

(6.2)

Выражение для сопротивления группового заземлителя запишется в виде:

(6.3)

где n – число вертикальных электродов;

- сопротивление вертикального стержневого электрода;

– сопротивление горизонтального полосового электрода.

Формула для вычисления сопротивлений одиночных заземлителей растеканию тока в однородном грунте записываются в виде:

, (6.4)

где 1 – длина электрода;

s – площадь сечения электрода;

ρ – удельное сопротивление материала электрода.

Выполним заземляющее устройство в виде группового заземлителя, состоящего из трех стержневых электродов, расположенных на расстоянии r = 4 м.

1. Возьмем стержневой электрод длиной l = 5 м с круглым сечением, диаметр которого D = 10 мм. Стержень выполнен из стали, удельное сопротивление которой составляет Ом/м. Рассчитаем сопротивление вертикального электрода:

2. Горизонтальная полоса имеет следующие габаритные размеры:

длина полосы 1 = 12 м, длина сечения – а = 1 см, ширина сечения – b = 1 мм.

Горизонтальный электрод сделан из меди, удельное сопротивление которой равно Ом/м. Вычислим сопротивление горизонтальных электродов:

Отношение расстояния между вертикальными электродами r = 4 м к их длине 1 = 5 м составит r /1 ≈ 1, откуда по таблице 6.1 находим значения коэффициентов использования вертикальных и горизонтальных электродов, которые составляют соответственно ηв = 0,85, ηг = 0,85. Теперь можем вычислить сопротивление всего группового заземлителя:

Для электроустановок напряжением до 1000 В в сети с изолированной нейтралью, сопротивление заземляющего устройства должно быть не более 4 Ом.

Сопротивление группового заземлителя значительно меньше допустимого, а это означает, что рассчитанное заземляющее устройство обеспечит защиту людей от поражения электрическим током в случае повреждения изоляции.

Питание к рабочему столу подводится электропроводами сечением 3 мм2 . Протяженность провода на пути распределительный щиток – электророзетка не превышает 20 м. Провода подводящие напряжение к щитку имеют сечение (2х6 мм2 ). Суммарное сопротивление проводов не превышает 1,5 Ом, что обеспечивает ток короткого замыкания на уровне 146 А. Защита сети от перегрузок должна осуществляется автоматом типа ОП‑6, рассчитанным на ток 25 А, который значительно меньше тока короткого замыкания.


6 .2.2 Пожаробезопасность рабочего места

Пожарная безопасность помещений, имеющих электрические сети, регламентируется [17] и [18 ]. Рабочее место оператора ПЭВМ оборудовано в помещении, которое соответствует категории «Д» пожарной безопасности (негорючие вещества и материалы в холодном состоянии) по [19].

Материалы, применяемые для ограждающих конструкций и отделки рабочего помещения должны быть огнестойкими. Для предотвращения возгорания в зоне расположения ЭВМ обычных горючих материалов (бумага) и электрооборудования, необходимо приниять следующие меры:

· в помещении должны быть размещены углекислотные огнетушители типов ОУ‑2, ОУ‑5, ОУ‑8. в качестве вспомогательного средства тушения пожара могут использоваться гидрант или устройства с гибкими шлангами. Рабочее помещение имеет площадь 12м2 . Согласно [25] на каждые 50м2 должен приходиться один огнетушитель. Таким образом, для обеспечения помещения средствами пожаротушения необходим один огнетушитель.

· для непрерывного контроля за помещением необходимо установить систему обнаружения пожаров, для этого можно использовать комбинированные извещатели типа КИ‑1 из расчета один извещатель на 100 м2 помещения.

· к работе на ПЭВМ допускаются только пользователи, прошедшие инструктажа по безопасности труда и пожарной безопасности

· в помещении должна быть инструкция с правилами пожарной безопасности и план противопожарных мероприятий;

· для помещения быть разработан план эвакуации персонала в случае возникновения пожара;

· должен быть назначен ответственный за противопожарную безопасность;

· монитор и системный блок ПЭВМ дожны быть установлены вдали от источников тепла (например, батареи центрального отопления), прямые солнечные лучи не должны попадать на экран дисплея;

· необходимо использовать модели ПЭВМ, у которых в корпусе имеются вентиляционные отверстия и охлаждающий вентилятор.

6 .2.3 Микроклимат рабочего места

В соответствие с [14 ] помещение с ПЭВМ для поддержания микроклимата оборудовано системой отопления и кондиционирования воздуха. В помещении обеспечиваются оптимальные параметры микроклимата, представленные в табл.6.2.Для повышения влажности воздуха в помещении с ПЭВМ применяется увлажнители воздуха, заправляемые ежедневно дистиллированной или прокипяченнои питьевой водой. Регулярно осуществляется проветривание, что обеспечивает улучшение качественного состава воздуха, в том числе и аэроионный режим.

Табл. 6.2

Период года Температура воздуха, ºСне более Относительная влажность воздуха, % Скорость движениявоздуха, м/с
Холодный 22–24 40–60 0,1
Теплый 23–25 40–60 0,1

Уровни положительных и отрицательных аэроионов в воздухе помещения с ПЭВМ соответствует нормам, приведенным в табл. 6.3.Содержание вредных химических веществ в воздухе помещения не превышает среднесуточных концентраций для атмосферного воздуха.

Табл. 6.3

Уровни Число ионов в 1 см куб. воздуха
n+ n-
Минимально необходимые 400 600
Оптимальные 1500–3000 3000–5000
Максимально допустимые 50000 50000

6 .2.4 Освещенность рабочего места

В соответствие с [14] помещение с ПЭВМ должны имеет естественное и искусственное освещение.

Естественное освещение осуществляется через светопроемы, ориентированные на северо-восток и обеспечивает коэффициент естественной освещенности (КЕО) не ниже 1,2%, что соответствет норме для зоны с устойчивым снежным покровом. Рабочее место по отношению к световым располагается так, что естественный свет падает сбоку справа, что допускается, см. рис.6.2. Оконные проемы ободудованы регулируемыми устройствами типа жалюзи. Все это ограничивае прямую и отраженную блесткость на рабочих поверхностях (экран, стол, клавиатура).

Искусственное освещение осуществляется комбинированной системой освещения (к общему освещению дополнительно устанавливлен светильник местного освещения, предназначенные для освещения зоны расположения документов).

Проведем расчет освещенности по методике, изложенной в [21 ]. Помещение, в котором расположено ПЭВМ, имеет размер 3x4 м, высота подвеса светильника 2,5 м. Согласно [14], освещенность на поверхности стола в зоне размещения рабочего документа должна быть 300–500 лк, примем для расчета среднее значение Ен=400 лк. Индекс помещения определяется по следующей формуле, взятой из [21 ]

(6.5)

где A, B – размеры помещения, м;

H – высота подвеса светильника, м.

Согласно [14], коэффициент запаса (Кз) для осветительных установок общего освещения должен приниматься равным 1,4, коэффициент неравномерности освещения Z=1,1. В качестве светильника применяется светильник серии ЛП036 с зеркализованными решетками, имеющей коэффициент использования осветительной установки η=0,5. Необходимый световой поток при размещении светильников в два ряда (Nр=2) определяется следующим образом, согласно [21]

лм (6.6)

В светильнике используются по две лампы (n=2), каждая мощностью 40 Вт, что соответствует световому потоку Фл=3000 лм (принято, что светоотдача составляет 75 лм / Вт). Тогда количество светильников, обеспечивающих заданную освещенность, определяется по следующей формуле

(6.7)

Если принять число светильников в одном ряду равным N=1, то освещенность снизится в 1,23 раза, что будет соответствовать E=325 лк. Это значение соответствует требуемому диапазону 300–500 лк.

Итак, для обеспечения освещенности в помещении с ПЭВМ требуется размещение двух светильников серии ЛП036 в два ряда.

6 .2.5 Шумы и вибрации на рабочем месте

В соответствие с [14], в помещении, где работают инженерно-технические работники, уровень шума не должен превышать 60 дБ. Основным источником шума и вибрации является вентилятор, находящийся в системном блоке, дополнительным источником шума, значительно превышающего шум основного источника, может служить работающий струйный принтер. Заявленный в техническом паспорте на принтер уровень шума согласно ISO 9296 составляет 50 дБ, что соответсвует требуемой норме.

В помещениях, в которых работа с ПЭВМ является основной, вибрация на рабочих местах не должен превышать допустимых норм вибрации, которые представлены в табл. 6.4.

Для снижения уровня шума в помещениии повешены однотонные занавеси из плотной ткани, гармонирующие с окраской стен и подвешенные в складку на расстоянии 15–20 см от ограждения.

Табл. 6.4

Среднегеометрческие частоты октавных полос, Гц Допустимые значения
по виброускорению по виброскорости
дБ дБ
Ось X Ось Y
2 5,3х10 25 4,5х10 79
4 5,3х10 25 2,2х10 73
8 5,3х10 25 1,1х10 67
16 1,0х10 31 1,1х10 67
31,5 2,1х10 37 1,1х10 67
63 4,2х10 43 1,1х10 67

6.3 Эргономичность проекта

6 .3.1 Рабочее место оператора ЭВМ

Согласно [14], конструкция рабочего стула должна обеспечивать поддержание рациональной рабочей позы при работе на ПЭВМ, позволять изменять позу с целью снижения статического напряжения мышц шейно-плечевой области и спины для предупреждения развития утомления. Рабочий стул должен быть подъемно-поворотным и регулируемым по высоте и углам наклона сиденья и спинки, а так же – расстоянию спинки от переднего края сиденья.

Конструкцияего должна обеспечивать:

· ширину и глубину поверхности сиденья неменее 400 мм;

· поверхность сиденья с закругленным передним краем;

· регулировку высоты поверхности сиденья в пределах 400–550 мм и углам наклона вперед до 15º и назад до 5º; – высоту опорной поверхности спинки 300±20 мм, ширину – не менее 380 мм и радиус кривизны горизонтальной плоскости – 400 мм;

· угол наклона спинки в вертикальной плоскости в пределах 0±30º;

· регулировку расстояния спинки от переднего края сиденья в пределах 260–400 мм;

· стационарные или съемные подлокотники длиной не менее 250 мм и ширинрй – 50–70 мм;

· регулировку подлокотников по высоте над сиденьем в пределах 230±30 мм и внутреннего расстояния между подлокотниками в пределах 350–500 мм.

Экран видеомонитора должен находиться от глаз пользователя на оптимальном расстоянии 600–700 мм, но не ближе 500 мм. Расположение экрана должно обеспечивать удобство зрительного наблюдения в вертикальной плоскости под углом ±30º от нормальной линии взгляда оператора. Конструкция видеомонитора должна обеспечивать возможность фронтального наблюдения экрана путем поворота корпуса в горизонтальной плоскости вокруг вертикальной оси в пределах ±30º и в вертикальной плоскости вокруг горизонтальной оси в пределах ±30º. Уровень глаз при вертикально расположенном экране ВДТ должен приходиться на центр или 2/3 высоты экрана. Линия взора должна быть перпендикулярна центру экрана и оптимальное ее отклонение от перпендикуляра, проходящего через центр экрана в вертикальной плоскости, не должно превышать ±5º, допустимое ±10º.

Клавиатуру следует располагать на поверхности стола, на расстоянии 100–300 мм от края, обращенного к пользователю или на специальной, регулируемой по высоте рабочей поверхности, отделенной от основной столешницы.

Высота рабочей поверхности стола должна составлять 725 мм. Модульными размерами рабочей поверхности стола для ВДТ и ПЭВМ, на основании которых должны рассчитываться конструктивные размеры, следует считать: ширину 800, 1000, 1200 и 1400 мм; глубину 800 и 1000 мм при нерегулиремой его высоте, равной 725 мм.

Рабочий стол должен иметь пространство для ног высотой не менее 600 мм, шириной – не менее 500 мм, глубиной на уровне колен-не менее 450 мм и на уровне вытянутых ног – не менее 650 мм.

Рабочее место должно быть оборудовано подставкой для ног, имеющей ширину не менее 300 мм, глубину не менее 400 мм, регулировку по высоте в пределах до 150 мм и по углу наклона опорной поверхности подставки до 20º. Поверхность подставки должна быть рифленой и иметь по переднему краю бортик высотой 10 мм.

Схема рабочего места оператора ПЭВМ представлена на рис.6.1.


Рис. 6 .1Рабочее место оператора ПЭВМ


Рис. 6.2 Схема расположения рабочих мест относительно светопроемов

6 .3.2 Оценка качества программных средств

Данная оценка производится согласно [15] и [16]. Программное средство оценивается по следующим факторам:

· надежность;

· сопровождаемость;

· удобство применения;

· эффективность.

Оценочные элементы фактора «надежность», имеющиеся в программе: наличие средств контроля полноты входных данных и наличие обработки неопределенностей.

Оценочные элементы фактора «сопровождаемость», имеющиеся в программе: наличие комментариев в точках входа и выхода программы; наличие комментариев ко всем машинозависимым частям программы; наличие комментариев к заголовкам программы с указанием ее структурных и функциональных характеристик; наличие модульной схемы программы.

Оценочные элементы фактора «удобство применения», имеющиеся в программе: возможность освоения программы по документации; полнота и ясность документации для освоения; наличие описания основных функций программного средства во встроенной справочной системе пакета Mathcad; наличие описания входных и выходных данных; наличие рисунков, поясняющих характер вводимых данных; возможность распечатки содержимого программы; легкость и быстрота запуска и завершения программы; обеспечение удобства вывода данных; легкость восприятия.

Оценочные элементы фактора «эффективность», имеющиеся в программе: использование функций ввода / вывода; регулировка числа знаков после запятой в результате вычислений; возможность настройки формата выходных данных для конкретных пользователей; наличие заголовка в программе; размещение операторов по строкам.

6.4 Экологичность проекта

На рабочем месте монитор ПЭВМ является источником электромагнитного и рентгеновского излучения.

Источником рентгеновских лучей внутри монитора является внутренняя флуоресцирующая поверхность экрана. Согласно [14], конструкция видеомонитора должна обеспечивать мощность экспозиционной дозы рентгеновского излучения в любой точке на расстоянии 0,05 м от экрана и корпуса при любых положениях регулировочных устройств не превышающую 7,74х10 А/кг, что соответствует эквивалентной дозе, равной 0,1 мбэр/час (100 мкР/час).

Допустимые значения параметров неионизирующих электромагнитных излучений приведены в табл. 6.5.

Для защиты от электромагнитных и электростатических полей рекомендуется применение приэкранных фильтров, специальных экранов и других средств индивидуальной защиты.

Табл. 6.5

Наименование параметров c 01.01.1997 Допустимое значение
Напряженность электромагнитного поля на расстоянии 50 см. вокруг ВДТ по электрической составляющей должна быть не более: – в диапазоне частот 5 Гц – 2 кГц; 25 В/м
– в диапазоне частот 2 – 400 кГц 2,5 В/м

Плотность магнитного потока должна быть не более:

– в диапазоне частот 5 Гц – 2 кГц;

250 нТл
– в диапазоне частот 2 – 400 кГц. 25 нТл
Поверхностный электростатический потенциал не должен превышать 500 В

Согласно техническому паспорту на монитор, он разработан в соответствии с рекомендациями SWEDAC(MPRII) по уменьшению электрических и магнитных полей.

6 .5 Особенности проектирования антенно-фидерных устройств к воздействию сильных электромагнитных излучений. Возможный характер повреждений

Если не обеспечена электромагнитная совместимость антенно-фидерных трактов с внешней средой, то может возникнуть подавление слабого сигнала сильной помехой, пробой диэлектрика в фидере, выход из строя входного каскада РЭА. Кроме того, необходимо осуществлять защиту персонала от воздействия электромагнитного излучения радиочастоты (ЭМИ РЧ).

Для предотвращения возникновения последствий чрезвычайных ситуаций и для защиты персонала необходимо проводить [22]:

· организационные мероприятия (рационально выбирать режимы работы оборудования, ограничивать место и время нахождения персонала в зоне воздействия электромагнитных полей);

· инженерно-технические мероприятия (экранирование, применение фильтров в каскадах РЭА, заземление антенно-фидерных трактов, использование поглотителей мощности);

· лечебно-профилактические мероприятия, направленные на предупреждение, диагностику и лечение нарушений в состоянии здоровья работника, связанные с воздействием ЭМИ РЧ;

· использовать средства индивидуальной защиты.

6 .5.1 Экранирование

Экранирование является одним из эффективных средств защиты антенно-фидерных устройств от действия мощного электромагнитного излучения, возникающего при атомных и термоядерных взрывах, а также от излучения радиолокационных установок, работающих в импульсном режиме.

Экранирование является конструкторским средством ослабления электромагнитного поля помех в пределах определенного пространства и предназначено для повышения помехозащищенности и обеспечения электромагнитной совместимости РЭА. Конструкции, реализующие указанные требования, называются экранами.

Коэффициент экранирования представляет собой отношение напряженности электрического или магнитного поля в какой-либо точке защищаемого пространства при наличии экрана к напряженности и при отсутствии экрана в той же точке. Практически принято оценивать действие экрана экранным затуханием, которое определяется по следующей формуле, взятой из [13].

, дБ (6.8)

Электромагнитный экран одновременно с выполнением основной функции оказывает воздействие на собственные параметры цепей и контуров экранируемого объекта, что связано с перераспределением электромагнитного поля при установке экрана. Это влияние оценивается с помощью коэффициента реакции экрана, т.е. отношения (или ) в точке пространства помехонесущего поля при наличии экрана к (или ) при отсутствии экрана [13]

(6.9)

Экранирование источников ЭМИ РЧ оссуществляется с помощью отражающих или поглощающих экранов. Отражающие экраны выполняют из металлических листов, сетки, ткани с микропроводом. В поглощающих экранах используются специальные материалы, обеспечивающие поглощение излучения соответствующей длины волны.

При испытании, настройке и регулировке аппаратуры СВЧ применяют защиту рабочего места, представленную на рис. 6.3 . Экран выполняют из металлических листов или сетки, а со стороны излучения покрывают поглощающим материалом, чтобы снизить или исключить отражение от него электромагнитной энергии.

Уменьшение мощности излучения непосредственно в самом источнике излучения достигается за счет применения поглотителей мощности, способных ослабить излучение в 60 дБ и более.


Рис. 6.3 Экранирование рабочего места1- генератор СВЧ; 2- антенна; 3- экран; 4- поглощающий материал; 5 - рупор

Защита временем предусматривает ограничение времени пребывания человека в электромагнитном поле и применяется, когда нет возможности снизить интенсивность излучения до допустимых значений. В диапазоне частот 300 МГц. 300 ГГц значения предельно допустимых уровней плотности потока энергии (ППЭ) представлены в табл. 6.6.

Табл. 6 .6

Продолжительность воздействия, ч
8 и более 25
7 29
6 33
4 50
2 100
1 200
0,5 400
0,2 и менее 1000

Защита расстоянием применяется в том случае, если невозможно ослабить интенсивность облучения другими мерами, в том числе и сокращением времени пребывания человека в опасной зоне. В этом случае прибегают к увеличению расстояния между излучателем и обслуживающим персоналом.

Помимо обеспечения заданной эффективности затухания и коэффициента реакции к экрану предъявляются следующие требования:

· тепловой режим, пыле- и влагозащищенность, устойчивость к вибрационным и ударным нагрузкам;

· требования эргономики, технологичности конструкции.

6 .5.2 Фильтрация

Основным средством ослабления кондуктивных помех является фильтрация. Предназначенные для этой цели помехоподавляющие устройства позволяют снижать кондуктивные помехи как от внешних, так и от внутренних источников.

Эффективность фильтрации определяется вносимым затуханием, которое определяется по следующей формуле, взятой из [13]

, дБ (6 .10)

где- напряжение помех на нагрузке в исходном состоянии,

-напряжение на нагрузке при фильтрации.

К фильтру предъявляются следующие требования:

· обеспечение заданной эффективности фильтрации в требуемом диапазоне частот;

· ограничение по требованиям техники безопасности допустимого значения реактивной составляющей тока на основной частоте;

· конструктивные: эффективность экранирования, минимальные габариты и масса, тепловой режим, стойкость к механическим и климатическим воздействиям, технологичность конструкции.

6.5 .3 Заземление

Система заземления – это электрическая цепь, обладающая свойством сохранять минимальный потенциал, являющийся уровнем отсчета в конкретной аппаратуре.

Антенно-фидерны системы всегда заземляются отдельной цепью заземления. Т. к. антенны используются на высоте обычно превышающей высоту окружающих предметов, то необходимо предусмотреть наличие молниеотвода и заземления.

Согласно [26], молниеотвод защищает от прямых ударов, электростатической и электромагнитной индукции и заноса высоких потенциалов. Зона защиты молниеотвода должна быть типа А, которая обеспечивает степень надежности 99.5% и выше.

Для приема электростатичекого заряда молнии и отвода ее токов в землю служат специальные части молниезащиты-молниеотводы, которые состоят из несущей части (опоры), молниеприемника, токоотвода и заземлителя. В качестве конструкции выберем одиночный стержневой молниеотвод. Опора молниеотвода выполняется из стали любой марки, железобетона или дерева. Высоту опоры молниеотвода примем равной 2 м, тогда зона защиты для стержневого молниеотвода будет иметь вид, паредставленный на рис. 6.4.

Стержневой молниеприемник изготавливают из стали сечением не менее 100 мм2 и длиной не менее 200 мм. От каждого стержневого молниеприемника устраивают не менее двух токоотводов. Токоотводы, соединяющие сетку или кровлю с заземлителями прокладываются не реже, чем через 25 м по периметру здания. Токоотводы выполняются в виде стальных тросов, полос, труб, сечением (24–48 мм2 ) и прокладываются к заземлителям кратчайшим путем. Они должны быть оцинкованы, пролужены или окрашены. При прокладке во избежание разрыва от электродинамических усилий при больших токах молнии, необходимо избегать острых углов и петель. В качестве заземлителя можно использовать следующие конструкции:

а) углубленные из полосовой или круглой стали, укладываемые на дно котлована.

б) вертикальные из стальных ввинчиваемых стержней (2–5 м) или на уголковой стали; верхний конец заземлителя углубляется на 0,6–0,7 м.

в) горизонтальные – из круглой или полосовой стали (160 мм2 ), уложенные на глубине 0,6–0,8 м в виде одного или нескольких симметричных лучей.

г) комбинированные – вертикальные и горизонтальные.

Соединение молниеприемников токоотводов и заземлителей проводится с помощью сварки. Сопротивление заземлителя должно быть не более 10 Ом. Заземлитель защиты от прямых ударов молнии объединяют с заземлителем электроустановок.

Антенна имеет прямоугольную форму, подсчитаем ожидаемое количество поражений молнией в год (N) по следующей формуле, взятой из [26]:

, (6.11)

где h – наибольшая высота сооружения, м;

S, L – соответственно ширина и длина сооружения, м;

n – среднегодовое число ударов молнии в 1 км2 земной поверхности (удельная плотность ударов молнии в землю) в месте нахождения здания.

Для расчета используем следующие данные h=15 м (антенна установлена на крыше 5‑этажного дома), S=1 м, L=1 м, n=4 (соответствует среднегодовой продолжительности гроз 40–60 ч), тогда

Для защиты зданий от вторичных проявлений молнии предусматривают следующие мероприятия:

·металлические корпуса всего оборудования и аппаратов, установленных в защищаемом объекте, присоединяют к заземляющему устройству электроустановок или к железобетонному фундаменту здания;

·внутри здания между трубопроводами и другими протяженными металлическими конструкциями в местах их сближения на расстояние менее 10 см через каждые 30 м выполняют перемычки;

·во фланцевых соединениях трубопроводов внутри здания обеспечивают нормальную затяжку не менее четырех болтов на каждый фланец.

Для защиты от вторичных проявлений молнии металлические корпуса объекта присоединяют к заземляющему устройству электрооборудования или к заземлителю защиты от прямых ударов молнии. Защиту от заноса высокого потенциала по подземным коммуникациям осуществляют присоединением их на вводе в сооружение к заземлителю электроустановок или защиты от прямых ударов молнии.

Защиту от заноса высокого потенциала по внешним наземным (надземным) коммуникациям выполняют путем их присоединения на вводе в сооружение к заземлителю электроустановок или защиты от прямых ударов молнии, а на ближайшей к вводу опоре коммуникации – к ее железобетонному фундаменту.


Рис. 6 .4 Молниезащита антенны

Рабочее место разработчика данного программного продукта, находящееся в домашних условиях не удовлетворяет требованиям электробезопасности по следующим пунктам:

1) питание к ПЭВМ подводится от розетки не с помощью специальной вилки с заземляющим контактом,

2) не подключены к заземлению металлические части оборудования, доступные для оператора.

3) не предусмотрена защита сети от перегрузок

С точки зрения пожаробезопасности рабочее место не удовлетворяет следующим требованиям:

1) для оперативного оповещения не применяются средства автоматического обнаружения пожара и дымоулавливающие датчики;

2) для тушения пожара не установлены углекислотные огнетушители.

Микроклимат рабочего места соответствует всем требованиям. Для выполнения требований по освещенности требуется установить в помещении светильники, количество и тип которых был определен в ходе расчетов в разделе 6.2.4.

Оборудование удовлетворяет требованиям по шуму и вибрации. Современный дизайн системного блока и монитора ПЭВМ соответствует всем требованиям эргономики рабочего места.

Заключение

В дипломной работе были достигнуты следующие результаты:

1. Реализован алгоритм расчета взаимного сопротивления между полосковыми излучателями, выполненными на многослойной диэлектрической подложке, который основан на методе бесконечных периодических структур.

2. На осонове разработанного алгоритма в современном математическом пакете для инженерных расчетов Mathcadбыл создан пакет программ, позволяющий вычислить полевые и импедансные характеристики ФАР как с учетом, так и без учета взаимной связи между излучателями.

3. С помощью пакета программ были получены зависимости взаимного сопротивления между излучателями от расстояния при различных материалах диэлектрической подложки.

4. Рассчитаны диаграммы направленности при разных размерах антенной решетки.

5. Построены частотные зависимости характеристики ФАР и представлены возможности учета взаимной связи при согласовании ФАР с линией питания.

Приложение 1

Тексты файлов данных, генерируемых программой ФАР_вз_связь. mcd .

DataZ_2.6_1600_MHz.prn

**********************

/ Datafile written by Mathcad 8.0

// 06/03/01 02:22:29

MATRIX 0 0 2 1

{1,0,3,1} {2,1,24,1}

MATRIX 1 0 3 1

{3,1,26,1} {4,1,26,1} {5,1,26,1}

MATRIX 2 1 24 1

0.1786, 0 1600, 0 0.424, 0 0.424, 0

3, 0 1, 0 1, 0 2.6, 0

1, 0 1, 0 1, 0 1, 0

0, 0 0, 0 2, 0 2, 0

0.5, 0 0.5, 0 1, 0 1, 0

1, 0 1, 0 50, 0 0.9285, -2.086

MATRIX 3 1 26 1

1.456, -1.515 0.8771, -2.077 0.9393, -2.066 0.9322, -2.069

0.9266, -2.057 0.9319, -2.074 0.9283, -2.061 0.9266, -2.071

0.925, -2.071 0.925, -2.071 0.925, -2.071 0.925, -2.071

0.925, -2.071 0.925, -2.071 0.925, -2.071 0.925, -2.071

0.925, -2.071 0.925, -2.071 0.925, -2.071 0.925, -2.071

0.925, -2.071 0.925, -2.071 0.925, -2.071 0.925, -2.071

0.925, -2.071 0.925, -2.071

MATRIX 4 1 26 1

1.348, -2.099 0.7965, -2.097 0.962, -2.094 0.9431, -2.095

0.9167, -2.097 0.9337, -2.096 0.9257, -2.094 0.9277, -2.095

0.9277, -2.095 0.9277, -2.095 0.9277, -2.095 0.9277, -2.095

0.9277, -2.095 0.9277, -2.095 0.9277, -2.095 0.9277, -2.095

0.9277, -2.095 0.9277, -2.095 0.9277, -2.095 0.9277, -2.095

0.9277, -2.095 0.9277, -2.095 0.9277, -2.095 0.9277, -2.095

0.9277, -2.095 0.9277, -2.095

MATRIX 5 1 26 1

1.06, -2.179 0.9546, -2.071 0.9197, -2.073 0.9318, -2.089

0.9291, -2.083 0.9238, -2.083 0.9298, -2.084 0.9298, -2.084

0.9298, -2.084 0.9298, -2.084 0.9298, -2.084 0.9298, -2.084

0.9298, -2.084 0.9298, -2.084 0.9298, -2.084 0.9298, -2.084

0.9298, -2.084 0.9298, -2.084 0.9298, -2.084 0.9298, -2.084

0.9298, -2.084 0.9298, -2.084 0.9298, -2.084 0.9298, -2.084

0.9298, -2.084 0.9298, -2.084

DataZ_2.6_1680_MHz.prn

*********************

// Datafile written by Mathcad 8.0

// 06/03/01 18:12:43

MATRIX 0 0 2 1

{1,0,3,1} {2,1,24,1}

MATRIX 1 0 3 1

{3,1,26,1} {4,1,26,1} {5,1,26,1}

MATRIX 2 1 24 1

0.1786, 0 1680, 0 0.424, 0 0.424, 0

3, 0 1, 0 1, 0 2.6, 0

1, 0 1, 0 1, 0 1, 0

0, 0 0, 0 2, 0 2, 0

0.5, 0 0.5, 0 1, 0 1, 0

1, 0 1, 0 50, 0 1.059, 0.1557

MATRIX 3 1 26 1

1.695, 0.9479 0.9997, 0.1609 1.071, 0.1726 1.063, 0.1697

1.057, 0.1837 1.063, 0.1637 1.059, 0.1785 1.057, 0.1665

1.055, 0.1668 1.055, 0.1668 1.055, 0.1668 1.055, 0.1668

1.055, 0.1668 1.055, 0.1668 1.055, 0.1668 1.055, 0.1668

1.055, 0.1668 1.055, 0.1668 1.055, 0.1668 1.055, 0.1668

1.055, 0.1668 1.055, 0.1668 1.055, 0.1668 1.055, 0.1668

1.055, 0.1668 1.055, 0.1668

MATRIX 4 1 26 1

1.575, 0.1778 0.9067, 0.1373 1.097, 0.1465 1.076, 0.1443

1.045, 0.1416 1.065, 0.1427 1.056, 0.1443 1.058, 0.1439

1.056, 0.146 1.056, 0.146 1.056, 0.146 1.056, 0.146

1.056, 0.146 1.056, 0.146 1.056, 0.146 1.056, 0.146

1.056, 0.146 1.056, 0.146 1.056, 0.146 1.056, 0.146

1.056, 0.146 1.056, 0.146 1.056, 0.146 1.056, 0.146

1.056, 0.146 1.056, 0.146

MATRIX 5 1 26 1

1.223, 0.06011 1.089, 0.1706 1.048, 0.1685 1.063, 0.1494

1.059, 0.1567 1.053, 0.1562 1.06, 0.155 1.06, 0.155

1.06, 0.155 1.06, 0.155 1.06, 0.155 1.06, 0.155

1.06, 0.155 1.06, 0.155 1.06, 0.155 1.06, 0.155

1.06, 0.155 1.06, 0.155 1.06, 0.155 1.06, 0.155

1.06, 0.155 1.06, 0.155 1.06, 0.155 1.06, 0.155

1.06, 0.155 1.06, 0.155

DataZ_2.6_1740_MHz.prn

*********************

// Datafile written by Mathcad 8.0

// 06/03/01 17:35:22

MATRIX 0 0 2 1

{1,0,3,1} {2,1,24,1}

MATRIX 1 0 3 1

{3,1,26,1} {4,1,26,1} {5,1,26,1}

MATRIX 2 1 24 1

0.1786, 0 1740, 0 0.424, 0 0.424, 0

3, 0 1, 0 1, 0 2.6, 0

1, 0 1, 0 1, 0 1, 0

0, 0 0, 0 2, 0 2, 0

0.5, 0 0.5, 0 1, 0 1, 0

1, 0 1, 0 50, 0 1.169, 1.777

MATRIX 3 1 26 1

1.896, 2.801 1.104, 1.778 1.182, 1.79 1.173, 1.786

1.166, 1.802 1.173, 1.78 1.169, 1.797 1.166, 1.783

1.164, 1.783 1.164, 1.783 1.164, 1.783 1.164, 1.783

1.164, 1.783 1.164, 1.783 1.164, 1.783 1.164, 1.783

1.164, 1.783 1.164, 1.783 1.164, 1.783 1.164, 1.783

1.164, 1.783 1.164, 1.783 1.164, 1.783 1.164, 1.783

1.164, 1.783 1.164, 1.783

MATRIX 4 1 26 1

1.768, 1.84 1.001, 1.751 1.211, 1.766 1.187, 1.763

1.154, 1.76 1.175, 1.761 1.165, 1.763 1.167, 1.763

1.165, 1.765 1.165, 1.765 1.165, 1.765 1.165, 1.765

1.165, 1.765 1.165, 1.765 1.165, 1.765 1.165, 1.765

1.165, 1.765 1.165, 1.765 1.165, 1.765 1.165, 1.765

1.165, 1.765 1.165, 1.765 1.165, 1.765 1.165, 1.765

1.165, 1.765 1.165, 1.765

MATRIX 5 1 26 1

1.362, 1.684 1.202, 1.792 1.157, 1.788 1.173, 1.767

1.169, 1.776 1.163, 1.775 1.17, 1.774 1.17, 1.774

1.17, 1.774 1.17, 1.774 1.17, 1.774 1.17, 1.774

1.17, 1.774 1.17, 1.774 1.17, 1.774 1.17, 1.774

1.17, 1.774 1.17, 1.774 1.17, 1.774 1.17, 1.774

1.17, 1.774 1.17, 1.774 1.17, 1.774 1.17, 1.774

1.17, 1.774 1.17, 1.774

Библиографический список

1 . Князев С.Т. Расчет электродинамических характеристик антенных решеток при наличии слоистого диэлектрика, Свердловск, 1984.

2. Метод расчета взаимных сопротивлений, основанный на теории бесконечных периодических структур. Князев С.Т., Наймушин М.П., Панченко Б.А.-Радиотехника и электроника, вып. 6, 1046–1049 с., 1985.

3. Сазонов Д.М. Антенны и устройства СВЧ: Учеб. для радиотехнич. спец. вузов.-М. Высш. шк., 1988. – 432 с.

4 . Антенны и устройства СВЧ. Проектирование фазированных антенных решеток: Учеб. пособие для вузов/ В.С. Филиппов, Л.И. Пономарев, А.Ю. Гринев и др.; Под ред. Д.И. Воскресенского.2-е изд. – М.: Радио и связь, 1994 – 592 с.

5 . Вендик О.Г. Антенны с немеханическим движением луча (введение в теорию). – М.: Советское радио, 1965.

6 . Анализ и синтез антенных решеток/ Чаплин А.Ф. – Львов: Вища шк. Изд-во при Львов. ун-те. 1987. – 180 с.

7 . Сканирующие антенные системы СВЧ. т. II, перевод с англ. под ред. Г.Т. Маркова и А.Ф. Чаплина, изд-во Советское радио, 496 с.

8 . Организационно-экономическое обоснование конструкторско-технологических проектов в условиях рыночной экономики: методические указания по дипломному проектированию / С.П. Павлов, В.А. Сорокин. Екатеринбург: УГТУ, 1995.

9 . Оформление учебных программных продуктов: методические указания / С.Ю. Дайлис, Р.А. Петров. Екатеринбург: УГТУ, 1996.

10 . ГОСТ 19.504–79. Руководство программиста.

11 . О составе затрат и единых нормах амортизационных отчислений: Сборник нормативных документов с комментариями, 2000.

12 . ГОСТ 12.1.019–79. ССБТ. Электробезопасность. Общие требования.

13 . Мырова Л.О. Обеспечене стойкости аппаратуры связи к ионизирующим и электромагнитным излучениям – М.: Радио и Связь, 1988.

14. СанПиН 2.2.2.542–96. Гигиенические требования к видеодисплейным терминалам, персональным электронно-вычислительным машинам и организации работы.

15 . ГОСТ 28195–89. Оценка качества программных средств. Общие положения.

16 . ГОСТ 28806–90. Качество программных средств. Термины и определения.

17 . ГОСТ 12.1.033–81. ССБТ. Пожарная безопасность объектов с электрическими сетями.

18. ГОСТ 12.1.004–85. ССБТ. Пожарная безопасность. Общие требования.

19 . ОНТП 24–86. Общесоюзные нормы технического проектирования. Определение категорий помещений и зданий по взрывоопасной и пожарной безопасности.

20 . СниП 2.01.02–85. Противопожарные нормы и правила.

21. Кобевник В.Ф. Охрана труда – Киев: В.Ш., 1990.

22 . Безопасность жизнедеятельности. Безопасность технологических процессов и производств: Учебное пособие для вузов/ П.П. Кукин, В.Л. Лапин, Е.А. Подгорных. – М. Высш. шк., 1999.

23 . ГОСТ 12.1.038–82. Электробезопасность. Предельно допустимые значения напряжений прикосновения и токов.

24 . Долин П.А. Основы техники безопасности в электроустановках. М.: Энергоатомиздат, 1984.

25 . ГОСТ 12.4.009–85. ССБТ. Пожарная техника для защиты объектов. Общие требования.

26 . Требования пожарной безопасности к проектам сооружений. Internet‑адрес: http://www.zodchiy.ru/s-info/archive/24.97

Оценить/Добавить комментарий
Имя
Оценка
Комментарии:
Хватит париться. На сайте FAST-REFERAT.RU вам сделают любой реферат, курсовую или дипломную. Сам пользуюсь, и вам советую!
Никита17:18:38 02 ноября 2021
.
.17:18:36 02 ноября 2021
.
.17:18:36 02 ноября 2021
.
.17:18:35 02 ноября 2021
.
.17:18:34 02 ноября 2021

Смотреть все комментарии (20)
Работы, похожие на Дипломная работа: Разработка пакета программ для расчета фазированной антенной решетки

Назад
Меню
Главная
Рефераты
Благодарности
Опрос
Станете ли вы заказывать работу за деньги, если не найдете ее в Интернете?

Да, в любом случае.
Да, но только в случае крайней необходимости.
Возможно, в зависимости от цены.
Нет, напишу его сам.
Нет, забью.



Результаты(287506)
Комментарии (4159)
Copyright © 2005-2021 HEKIMA.RU [email protected] реклама на сайте