Введение
Начнём с бытового, интуитивного определения понятия упитанности: упитанный - полный и здоровый (Толковый словарь Ожегова).
В научной ихтиологической терминологии, как мы дальше покажем, понятие упитанности очень расплывчато и в разных источниках определяется по-разному. Учебник ихтиологии для студентов вузов, обучающихся по специальности «Ихтиология и рыбоводство» П.А. Моисеева и др. обходится такой формулировкой: упитанность характеризуется соотношением мяса и массы тела и содержанием жира в нём. Конечно, это не совсем определение. Явно чувствуется какая-то недосказанность, хотя дальше говорится о важности понятия упитанности для практики.
Понятие действительно, по моему мнению, очень важное для рыбоводства: как мы узнаем, правильно ли кормим или содержим рыбу, в хорошем ли она состоянии? - в первую очередь, конечно, просто посмотрев на неё, т.е. визуально. Посмотрев на рыбу, мы скажем «худая» ли она или «полная и здоровая», упитанная, как говорит нам Ожегов.
У меня есть ещё пример научно-рыбоводного определения упитанности. Это определение мне, как студенту, дали на лекции по методам рыбохозяйственных исследований: упитанность - это экстерьерный показатель, выражающийся в отношении массы тела к его объёму. И далее следует три известные всем ихтиологам формулы: Фультона, Кларк и Сальникова-Кравченко (также быстро переходят от определения упитанности к этим формулам в учебнике Моисеева).
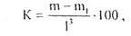
Рассмотрим формулу (коэффициент) упитанности по Фультону:

где m - масса тела рыбы;
1 - длина до конца чешуйного покрова.
Во-первых, давайте вернёмся к определению: упитанность - это масса, делённая на объём. Но ведь масса, делённая на объём, как мы знаем из физики, плотность. То есть под упитанностью мы подразумеваем плотность рыбы? Но и без пояснений видно, что плотность худой, костлявой рыбы будет больше, и по принятым ихтиологами формулам она будет «упитаннее», чем «полная и здоровая» рыба. И это главный вывод из проведённого нами анализа - формулы упитанности стремятся быть «формулами худосочности».
Но рассмотрим формулу Фультона дальше. Что такое L3? Под этим символом, очевидно, подразумевается приближённое значение объёма. Но какое отношение имеет куб, одним из рёбер которого является длина рыбы, к объёму этой рыбы? Тут, конечно, возникает ответ: но ведь очень сложно математически определить объём такой сложной геометрической фигуры, как рыба. Это действительно так. Но если уж Вам так необходимо узнать объём рыбы, вспомните архимедовский метод:
опустите личинку или малька и мерную посуду по числу прибавившихся рисок определите объем рыбы. Для взрослой, крупной рыбы это может быть ведро, наполненное до краёв водой и поставленное в таз. Конечно, странно писать и объяснять такие простые вещи, но, как Вы видите, мы имеем дело с ужасной математической беспомощностью биологов. Это относится и к формуле Фультона (которую приняли без условий, наверно, только из-за слова «фультон» - что-то иностранное, международное, и следовательно, проверенное), и к двум остальным.
Кларк изменила формулу Фультона, полагая, что из формулы нужно исключить массу внутренностей:

где m₁ - масса внутренностей рыбы.
Но, как мы видим, та же кубическая бессмыслица остаётся.
С ещё большей математической беспомощностью рыбных биологов мы встречаемся в формуле Сальникова-Кравченко.
Отечественные учёные Н.Е. Сальников и Д.Н. Кравченко в 1978 г. предложили определять коэффициент упитанности, используя не только длину и массу тела, но и высоту и обхват:

где Н - высота тела рыбы;
О - обхват наиболее толстой части туловища.
Введение этих значений якобы «позволяет получить более объективную характеристику упитанности не только рыб разного пола и возраста, но и разных видов» (Моисеев и др.. 1981).
Подсознательно мы ощущаем, что авторы формулы по всё той же причине незнания истории об Архимеде пытаются приблизить сложную форму рыбы к форме цилиндра, но ведь объём цилиндрах V=lПr2
Мы понимаем, что все ли «усовершенствования» абсолютно бессмысленны и набиты в знаменатель просто так.
Не буду пока рассуждать, почему уже 25 лет рыбоводы-практики и учёные-теоретики используют эти бессмысленные формулы для исследования рыб, хочу только, наконец, привести для любителей математизации биологии свою, как мне кажется, абсолютно верную и простую формулу для расчёта упитанности рыб (если хотите, формулу Калабухова):

Обе формулы одинаково применимы, т.к. масса и объём живой рыбы для нас равнозначны из-за близости плотности рыбы к 1.
Так что количество килограммов в объёме рыбы будет равно количеству соответствующих кубических единиц. Эти формулы, в отличие от разобранных ранее, совершенно объективны и выражают прямую зависимость: чем «полнее и здоровее» рыба, тем, при одинаковой длине, она будет «упитаннее» другой рыбы, имеющей меньшую массу и объём. И наоборот, если при одинаковой массе (объёме) длина одной рыбы больше, то упитанность её будет меньшей.
Как видите, моя формула К = m/lблизка к формуле Фультона К = m*100/l^3; в ней только нет ненужного возведения в куб и умножения на 100. Они принципиально похожи и верны, если не воспринимать 1 как объём, исходя из ошибочного определения упитанности как m/v. Итак, эти формулы близки и верны, это и объясняет, почему учёные-ихтиологи так долго успешно пользовались одной из них, не вникая в суть понятия.
Глава 1. Литературный обзор
Литературы об упитанности рыб достаточно, и многие из авторов давно не довольны формулой Фультона и предлагают свои решения.
Самая большая и самая критическая статья на тему упитанности рыб из тех, которые я нашел,- А.Д. Гершановича, Н.Б. Маркевича и Ж.Т. Дергалевой 1984 года в журнале «Вопросы ихтиологии». Авторы приводят возражения многих ихтиологов, до них критиковавших формулу Фультона, но говорят, что «несмотря на достаточно убедительную критику, коэффициент упитанности по-прежнему широко применяют в ихтиологических исследованиях». Основной их довод такой: коэффициент упитанности – это отношение массы и объема куба с ребром, равным длине рыбы, и поэтому, конечно, реальную упитанность не выражает. Под реальной упитанностью они подразумевают жирность рыбы и так и говорят: «мы исходили из общепринятого в животноводстве понятия упитанности, согласно которому под упитанностью понимается степень накопления в теле животных резервных питательных веществ, главным образом жира (Овсянников, 1955; Ланина, 1973)». Исходя из определения упитанности как жирности, авторы на многих примерах показывают, что значения, вычисленные по формулам Фультона и Кларк, не зависят от реальной жирности рыбы, а если зависят, то часто зависимость обратная. Они делают вывод, что нужно отказаться от этих формул и определять только жирность с помощью химических или др. методов.
Тоже из животноводства взяли идеи для исправления формул упитанности Н.Е. Сальников и Д.Н. Кравченко(1978). В своей статье они пишут, что «упитанность сельскохозяйственных животных обычно определяют прощупыванием мест наибольшего отложения мяса и жира, а при убое – выходом мяса и содержанием в нем жира», а если зоотехники проводят биометрические расчеты, то используют специальные индексы: индекс растянутости Ир, сбитости Ис и массивности Им:
Ир = Lx 100 / H,
Ис = Ox100 / L,
Им = Ox100 / H,
Где L, H, О – соответственно длина, высота и обхват тела.
Путем сложных вычислений авторы пришли к соображению о том, что упитанность рыб больше зависит от высоты и обхвата тела, чем от длины.
Все три зоотехнических индекса они (конечно, совсем не корректно) объединили в такую формулу упитанности :
Ку = Р х 100 / LHO,
Где Р - масса.
Еще один пример литературы на эту тему - статья дальневосточного ихтиолога В.Н. Иванкова «О методике определения упитанности рыб», напечатанная в 1988 году в журнале «Биология моря». В.Н.Иванков придумал обозначать упитанность рыб как
n
А = W/ L ,
Где а - упитанность, W – масса, L – длина, n – показатель степени. Его решение заключается в подгоне показателя степени nдля того, чтобы упитанность принимала более приличные значения. Например, не 0,0029, а 2,9 или 0,29. Показатели степени В.Н. Иванков предлагает для разных видов брать даже дробные, например 3,27 и 1,5.
В.А. Амосов (1956) предложил не определять упитанность, а определять показатель, названный им индексом удельной вальковатости. Индекс составляется из следующих величин: длины рыбы до конца чешуйчатго покрова, длины головы, наибольшей высоты спины, измерений в поперечном сечении по трем характерным точкам полудуги спины. Для последних измерений В.А.Амосов сконструировал специальный прибор-рыбощуп.
Для того, чтобы узнать не критические мнения о рыбной упитанности, а как бы общепринятые, нужно прочитать главы на эту тему в книгах классиков ихтиологов – Г.В. Никольского и И.Ф. Правдина. У этих авторов тоже есть свои замечания к формуле Фультона, они тоже немного разные значения вкладывают в упитанность, но в целом считают ее вполне приемлемой. Оговариваются они тем, что ее, к сожалению, можно применять только для рыб одного пола, возраста, вида и др., о чем говорят и другие авторы, и еще что лучше считать упитанность по Кларку, т.е. без внутренностей. И.Ф.Правдин пишет также, что в карповодстве часто используют не отношение массы к длине, а высоты тела к длине.
Глава
II
. Материал и методика исследования
По моему мнению, определять упитанность нужно как можно проще, т.к. этот показатель формальный. Воспринимать его нужно только как отношение массы и длины тела, которое что-то значит, но значит совсем не все, не все говорит нам о здоровье рыбы. Не нужно выводить формулу, в которой были бы связаны все параметры здоровья и, вычислив по которой, мы сразу бы поняли, хорошо живет животное или нет.
Нужно различать слово «упитанность», которое имеет значение «полный и здоровый», и наш формальный рыбоводный показатель- коэффициент упитанности ( масса, деленная на длину тела), который часто может выразить реальную упитанность, но не всегда. Нужно также помнить, что нам нужно от рыбы: здоровья и бодрости или больше мяса. Норма упитанности в этих случаях будет, конечно, разной.
Мне, в отличие от некоторых приведенных выше авторов, пришло в голову определение упитанности не из животноводства, а из медицины. Как определяют упитанность у человека? По всего двум показателям - весу (массе) и росту (длине тела). Составлены специальные таблицы, нормативы упитанности для человека, по которым мы можем определить, страдаем ли мы дистрофией, избытком веса или наша упитанность в норме. Например, нормой для человека считается иметь в массе столько граммов, сколько в его росте сантиметров минус 100. По другой, французской норме вычитать из роста нужно 110 см. При росте 180 см нормально иметь вес 80 кг. При меньшей массе врач будет говорить о дистрофии, большей массе – об избыточном весе.
Проблема в том, что норматив отношения масса/ длина зависит от вида. Для вида Человек и всех его возрастов норма вычислена. Рыбоводам предстоит высчитать ее для каждого вида рыб.
Еще одна проблема – количество килограммов не говорит ни о здоровье, ни о выходе мяса и жира, и ни тем более об их соотношении.
Рыбу нужно исследовать многими методами в совокупности: вместе с упитанностью определять жирность, определять плотность и другие формальные показатели, нужно вскрывать рыбу и осматривать внутренности, на глаз по опыту определять внешний вид рыбы и т.п. Тогда только можно сказать, что рыба действительно упитанна, т.е. здорова.
Значение коэффициента упитанности заключается не только в определении степени здоровья или мясистости рыбы. Все авторы говорят о зависимости упитанности от вида, пола и возраста как о недостатке. Но на эту зависимость можно взглянуть как на преимущество: по упитанности рыбы мы, например, можем определить пол. Из далее приведенных таблиц упитанности волжской севрюги, рассчитанной по материалам проф. В.М. Распопова, это видно.
Глава
III
.Результаты исследования
3.1. Зависимость упитанности севрюги от времени года
(упитанность по Калабухову)
Табл. 1.
| Месяц |
Самки |
Самцы |
| С внутренностями |
Без внутренностей |
С внутренностями |
Без внутренностей |
| IV (апрель) |
1,0 |
0,74 |
0,61 |
0,53 |
| V (май) |
0,96 |
0,7 |
0,61 |
0,54 |
| VI (июнь) |
0,87 |
0,67 |
0,51 |
0,5 |
| VII (июль) |
0,64 |
- |
0,49 |
- |
| VIII (август) |
0,72 |
0,61 |
0,48 |
0,43 |
| IX ( сентябрь) |
0,84 |
0,68 |
0,6 |
0,54 |
| X (октябрь) |
0,81 |
0,65 |
0,55 |
0,49 |
Зависимость упитанности от сезона можно выразить так: весной и осенью на нерест идут более упитанные особи, летом, особенно в июле, средняя упитанность заметно ниже.
3.2.Зависимость упитанности от стадии зрелости
(упитанность по Калабухову)
Табл. 2.
| Стадия |
Упитанность с внутренностями (средняя) |
Упитанность без внутренностей (средняя) |
| IV |
1,73 |
0,62 |
| VI |
0,67 |
0,65 |
| VI-II |
0,5 |
0,45 |
| III-IV |
0,74 |
0,65 |
| III |
0,54 |
0,49 |
Особенной разницы в значениях средней упитанности по стадиям зрелости не наблюдается. Большую цифру 1,73 на IV стадии не сложно объяснить большим весом в этой стадии половых продуктов. Посчитанная без внутренностей, упитанность рыб на всех стадиях зрелости сильно не отличается.
3.3 . Зависимость упитанности севрюги от пола
(упитанность по Калабухову)
Табл. 3.
| Самки |
Самцы |
| Упитанность с внутренностями (ср.) |
0,87 |
0,55 |
| Упитанность с внутренностями (макс..) |
1,73 |
0,88 |
| Упитанность с внутренностями ( мин.) |
0,36 |
0,27 |
| Упитанность без внутренностей (ср.) |
0,68 |
0,52 |
| Упитанность без внутренностей (макс.) |
1,25 |
0,8 |
| Упитанность без внутренностей (мин.) |
0,31 |
0,25 |
Очевидна зависимость упитанности от пола рыбы: по всем значениям (средним, максимальным и минимальным) самки упитаннее самцов. Этому можно дать логическое объяснение: самцы, как все знают, обычно жирнее самок, а так как жир самый легкий компонент тела рыбы, то масса самца при равных с самкой размерах будет меньшей. При этом не имеет значение, берем мы рыб с внутренностями или без внутренностей. Г.В.Никольский и многие другие авторы пишут, что большая упитанность самок вызвана большим весом их половых продуктов и что, посчитав массу без внутренностей, мы избавимся от этой мнимой упитанности. Как показывают наши расчеты, такое рассуждение ошибочно.
Глава
IV
. Охрана труда и техника безопасности в ихтиологической лаборатории
4.1. Опасные и вредные производственные факторы при работе в лаборатории
К опасным и вредным производственным факторам при работе в ихтиологической лаборатории относятся: электричество, различные химические реактивы, используемые в ихтиологических исследованиях, пожароопасные и взрывоопасные вещества и предметы.
Во время работы в лаборатории ихтиологии необходимо соблюдать правила безопасности.
Лабораторные помещения должны отвечать следующим требованиям. Освещенность на рабочих местах должна быть не менее 60 лк. Стены помещения лаборатории окрашивают светлой масляной краской для обеспечения влажной уборки и дезинфекции. Лабораторные столы покрывают пластиком, полы застилают линолеумом. В комнатах, где хранят рыбу в формалине, должна быть приточно-вытяжная вентиляция. Необходимые температура, влажность, движение и чистота воздуха внутри помещения могут автоматически поддерживаться установкой для кондиционирования воздуха.
Имеющиеся в лаборатории реактивы (спирт, формальдегид и др.) должны храниться в емкостях с этикетками. На этикетках должно быть указано: название реактива, его формула, номер ГОСТа, дата изготовления и срок годности. Все легковоспламеняющиеся вещества (эфиры, спирты) нужно содержать отдельно от других реактивов в металлических ящиках с асбестовой прокладкой, вдали от источников тепла и электроэнергии под тягой.
Каждый должен поддерживать чистоту и порядок на рабочем месте. По окончании работы отключать и зачехливать приборы. Инструменты тщательно промывать в теплой воде и просушивать, Не допускать нарушений личной безопасности. Использовать приборы в точном соответствии с инструкциями; не оставлять без присмотра работающие электроплитки и другие приборы, периодически проводить техосмотр оборудования; правильно хранить и использовать сильнодействующие вещества; содержать в порядке аптечку помощи; содержать в готовности средства пожаротушения (ящик песком, асбестовый картон, кошму, огнетушитель).
Особые меры предосторожности следует соблюдать при работе с формалином. При выборке рыбы из емкостей с формалином, где она хранится, следует пользоваться изолирующими противогазами для предотвращения вредного воздействия паров этого вещества на слизистыеоболочки глаз и дыхательных путей. Для уменьшения неприятных испарений отобранную для занятий рыбу нужно предварительно отмачивать чистой водой течение 4-5 дней.
Общий кювет с рыбой, предназначенной для изучения, нужно устанавливать под вентиляционным устройством и накрывать влажной тканью. При работе в ванночку с объектом наливают немного воды, которая поглощает часть испарений. Во время работы с рыбой следует избегать попадания формалина в глаза. Если это случилось, то глаза надо промыть чистой водой. По окончании работы нужно тщательно вымыть руки с мылом, а помещение проветрить.
В препараторской комнате должна быть аптечка с предметами первой необходимости: ватой гигроскопической (стерилизованной), бинтами марлевыми, раствором йода, нашатырным спиртом, пероксидом водорода, борной кислотой (2%-ный раствор), вазелином или кремом для рук.
4.2. Электробезопасность
К защитным мерам от опасности прикосновения к токоведушим частям электроустановок относятся: изоляция, ограждение, блокировка пониженные напряжения, электрозащитные средства, сигнализация и плакаты. Надежная изоляция проводов и корпусов электроустановок создает безопасные условия для обслуживающего персонала.
Для обеспечения недоступности токоведущих частей оборудования и электрических сетей применяют сплошные и сетчатые ограждения (кожухи, крышки, шкафы, закрытые панели и т.п.).
С помощью блокировки автоматически снимается напряжение (отключается питание) с токоведущих частей электроустановок при прикосновении к ним, без предварительного отключения питания. По принципу действия блокировки бывают механические, электрические.
С целью предупреждения работающих об опасности поражения электрическим током широко используют плакаты и знаки безопасности. В зависимости от назначения плакаты и знаки делятся на предупреждающие («Стой! Напряжение», «Не влезай! Убьет» и др.); запрещающие («Не включать. Работают люди» и др.); предписывающие («Работать здесь» и др.); указательные («Заземлено» и др.).
Защитное заземление предназначено для устранения опасности поражения электрическим током в случае прикосновения к корпусу и к другим нетоковедущим частям электроустановок, оказавшимся под напряжением вследствие замыкания на корпус и по другим причинам.
Защитное зануление, так же как и защитное заземление, предназначено для устранения опасности поражения электрическим током при замыкании на корпус электроустановок.
Системы защитного отключения — это специальные электрические устройства, предназначенные для отключения электроустановок в случае появления опасности пробоя на корпус.
Наряду с применением технических методов и средств электробезопасности важное значение для снижения электротравматизма имеет четкая организация эксплуатации электроустановок и электросетей, профессиональная подготовка работников, сознательная производственная и трудовая дисциплина.
Ответственным за безопасность работ являются: лицо, выдавшее наряд или распоряжение, ответственный руководитель работ.
4.3. Пожарная и газовая безопасность
Потенциально пожароопасными могут быть очень многие предметы и вещества, используемые в ихтиологической лаборатории. К пожару может привести испорченный или неправильно используемый электрический прибор (например, лампа подсветки микроскопа), газовая или спиртовая горелка, легко воспламеняющееся вещество (например, эфир).
К числу средств тушения пожаров, которые могут быть эффективно использованы в начальной стадии пожара, относятся внутренние пожарные краны, огнетушители, кошмы, песок. Внутренние пожарные краны являются элементами противопожарного водоснабжения и предусматриваются в доступных и видных местах (у входов, на лестничных клетках, в коридорах). Пожарные краны устанавливают в специальных ящиках и к ним подсоединяют пожарные шланги длиной до 20 м с пожарными стволами. Количество кранов определяется из расчета, чтобы каждая точка пространства внутри здания могла орошаться не менее чем двумя струями.
В качестве, первичных средств пожаротушения наибольшее распространение получили различные огнетушители: химические пенные ОХИ-10, газовые углекислотные ОУ-2, ОУ-5, ОУ-8, порошковые ОПС-10 и специальные огнетушители типа ОУБ. Газовые огнетушители предназначены для тушения небольших очагов горения веществ и электроустановок, за исключением веществ, горение которых происходит без доступа кислорода воздуха. Ручные огнетушители типа ОУ конструктивно различается вместимостью баллонов (соответственно 2,5 и 8 л). Они приводятся в действие вручную открыванием запорного вентиля путем вращения его против часовой стрелки. Через раструб газ подается на очаг пожара.
Порошковые огнетушители предназначены для тушения небольших очагов загорания щелочных металлов и других соединений.
Углекислотно-бромэтиловые огнетушители типа ОУБ предназначены для тушения небольших очагов горения волокнистых и других твердых металлов, а также электроустановок.
Успех ликвидации пожара на производстве зависит, прежде всего, от быстроты оповещения о его начале. Пожарная сигнализация может быть электрическая и автоматическая. Электрическая сигнализация состоит из извещателей.
4.4. Безопасность труда при работе с химическими веществами
Вредные вещества способны проникать в организм человека через органы дыхания, пищеварения или кожу. По токсическому (вредному) эффекту воздействия на организм человека химические вещества разделяют на общетоксические, раздражающие, сенсибилизирующие, канцерогенные, мутагенные, влияющие на репродуктивную функцию.
К средствам защиты от попадания на кожу вредных химических веществ служат резиновые перчатки, лабораторные халаты, шапочки, обувь. Для защиты дыхательных путей от действия вредных химических веществ служат специальные ватно-марлевые повязки, респираторы, противогазы. Для защиты слизистой оболочки глаз можно использовать специальные очки. Средством защиты от поражения вредными химическими веществами служит также точное соблюдение техники безопасности и инструкций к используемым веществам.
Реактивы выпускаются промышленностью в различном виде и разной степени чистоты. На каждой емкости с реактивом должна быть этикетка со следующими данными: название реактива и его формула, квалификация (чистый — ч., химически чистый — х. ч., чистый для анализа —ч. д. а., технический —техн.), номер ГОСТа, номер партии или серии, дата изготовления и срок годности. Абсолютно недопустимо хранение и использование реактивов без этикеток! При подборе пробки к емкости следует учитывать свойства реактивов. Органические растворители, кислоты и галогены (йод, бром) хранят в сосудах с притертой стеклянной пробкой. Щелочь содержат в емкости с резиновой пробкой, в которую вставляют хлоркальциевую трубку с твердой натронной известью для поглощения углекислоты. Ядовитые вещества хранят в сейфе, и доступ к ним имеет только ответственное лицо. Все легковоспламеняющиеся вещества (например, эфиры, спирты) содержат отдельно от других реактивов в металлических ящиках с асбестовой прокладкой вдали от источников тепла и электроэнергии; эти вещества должны находиться на рабочих местах в количестве, не превышающем суточной потребности. Следует осторожно обращаться с баллонами, содержащими газы в сжатом и жидком состоянии. Использованные в работе жидкости, содержащие сильные кислоты и мелочи, необходимо нейтрализовать перед сбросом в канализацию.
4.5. Средства индивидуальной и коллективной защиты персонала в лаборатории
К средствам индивидуальной защиты персонала лаборатории от вредных химических веществ и реактивов относятся такие средства гигиены, как мыло и другие моющие средства, специальные вещества антагонисты для снятия с кожи вредных веществ (например: раствор соды для нейтрализации попавшей на кожу кислоты), резиновые перчатки, лабораторные халаты, шапочки и т.п. К коллективным средствам защиты от воздействия вредных химических веществ относятся: лабораторные вытяжки и др. системы вентиляции воздуха.
Для устранения возможного возгорания каждая ихтиологическая лаборатория должна быть оснащена стандартными газовыми огнетушителями. Для предотвращения возможного распространения огня от огнеопасных предметов и агрегатов (например, спиртовых и газовых горелок) используют огнеупорные прокладки и щиты из асбеста.
К средствам индивидуальной защиты персонала лаборатории относится также аптечка, которая должна входить в комплект каждой ихтиологической лаборатории и должна содержать следующие предметы первой необходимости: вату гигроскопическую (стерилизованную), бинты марлевые, раствор йода, нашатырный спирт, пероксид водорода, борную кислоту (2%-ный раствор), вазелин или крем для рук.
4.6. Льготы и компенсации за неблагоприятные условия труда работникам лабораторий
Одним из основных направлений государственной политики в области охраны труда является предоставление работникам льгот и компенсаций за тяжелые работы и работы с вредными или опасными условиями труда. Это закреплено Основами (статья 4) и Кодексом законов о труде РФ (2004).
Работникам предоставляются следующие льготы и компенсации:
1 — для работников, занятых на работах с вредными условиями труда, устанавливается сокращенная продолжительность рабочего времени - не более 36 часов в неделю (статья 44 КЗоТ РФ);
2 — работникам, занятым на работах с вредными условиями труда, предоставляются ежегодные дополнительные отпуска (статья 68 КЗоТ РФ). Сокращенный рабочий день и дополнительный отпуск предоставляется работникам в соответствии со «Списками производств, цехов, профессий и должностей с вредными условиями труда, работа в которых дает право на дополнительный отпуск и сокращенный рабочий день», утвержденный постановлением Госкомтруда СССР и Президиума ВЦСПС от 25 октября 1974 года №'298/П—22. Инструкция о порядке применения этого Списка утверждена постановлением Госкомтруда СССР и Президиума ВЦСПС от 21 ноября 1975 года №273/П-20;
3 – на работах с вредными условиями труда, а также на работах, производимых в особых температурных, условиях или связанных с загрязнением, работникам выдается бесплатно по установленным нор мам специальная одежда, специальная обувь и другие средства индивидуальной защиты (статья 149 КЗоТ РФ). Нормы бесплатной выдачи установлены Типовыми отраслевыми нормами бесплатной выдачи специальной одежды, специальной обуви и других средств индивидуальной защиты, которые утверждены в начале 80-х годов для каждой отрасли отдельно постановлениями Госкомтруда СССР и Президиума ВЦСПС;
4 – на работах с вредными условиями труда работникам выдаются бесплатно по установленным нормам молоко или другие равноценные пищевые продукты (статья 151 КЗоТ РФ). Нормы и порядок выдачи установлены, «Порядком бесплатной выдачу молока или других равно ценных пищевых продуктов рабочим и служащим, занятым на работах с вредными условиями труда», утвержденным постановлением Госкомтруда СССР и Президиума ВЦСПС от 16 декабря 1987 года № 731/П—13, и «Перечнем химических веществ, при работе с которыми в профилактических целях рекомендуется употребление молока или других равноценных пищевых продуктов», утвержденным Минздравом СССР
4 ноября 1987 года № 4430—87;
- на работах с особо вредными условиями труда предоставляетсябесплатно по установленным нормам лечебно-профилактическое питание (статья 151 КЗоТ РФ). Организация и бесплатная выдача лечебно-профилактического питания производится согласно «Правилам бесплатной выдачи лечебно-профилактического питания», утвержденных постановлением Госкомтруда СССР и Президиума ВЦСПС от 7 января 1977 года № 4/П—1;
5 –на работах, связанных с загрязнением, работникам выдается бесплатно по установленным нормам мыло. На работах, где возможно воздействие на кожу вредно действующих веществ, выдаются бесплатно по установленным нормам смывающие и обезвреживающие средства;
Льготы и компенсации предоставляются на основании списков и перечней производств, работ, профессий, должностей и показателей, утвержденных в установленном порядке на федеральном уровне.
В соответствии со статьей 13 Закона РФ от 11 марта 1992 года «О коллективных договорах и соглашениях» работникам согласно коллективному договору могут предоставляться более льготные трудовые и социально-экономические условия по сравнению с нормами и положениями, установленными законодательством.
На основании действующих списков и перечней на предприятии комиссионно с учетом специфики производства, результатов аттестации рабочих мест определяется перечень профессий и работ, за выполнение которых предоставляются те или иные льготы и компенсации за работы в неблагоприятных условиях труда.
Заключени
е
Исходя из всей проделанной нами работы, можно вывести следующее:
формулы Фультона, Кларк и других приведенных выше исследователей не выражают то, что все мы подразумеваем под упитанностью, и к тому же неудобны. Формула Фультона и все её модификации необоснованно громоздки, хотя часто выражают реальные зависимости. Как видно из приведенных нами ниже, в приложении, сравнительных таблиц, коэффициент Калабухова выражает эти зависимости с тем же успехом, к тому же он намного удобнее.
Мы рекомендуем использовать для расчетов упитанности рыб более простую и логичную формулу Калабухова.
Список литературы
Абакумов В.А. 1961. Методика изучения динамики весового и линейного прироста рыб. В кн.: Труды, совещания по динамике численности рыб. М., 194 с.
Амосов В.А. 1956. Основные экстерьерные показатели у рыб.- Вопр. ихтиологии, вып.6, 46-74.
Анцышкина Л.М., Кириленко Н.С., Мельников Г.Б., Рябов Ф.П. 1968. Динамика веса, упитанности и длины тела TilapiamossambicaPeters, выращиваемой на содержащих хлореллу гранулированных кормах. – Вопр. ихтиологии, т.8 вы. 4, 722-727.
Безопасность жизнедеятельности. Безопасность технологических процессов и прозводства. Охрана труда: учебн. пособие для ст. вузов. П.П.Кукин, В.Л. Лапин, Н.Л. Пономарев, Н.И. Сердюк. – 2-е изд., испр. и доп.- М.: Высш. шк., 2002 – 318 с.
Беляев В.И., Венглинский Д.Л. 1976. Морфологические особенности пеляди бассейна р.Северной Сосьвы.- Тр. Ин-та экологии растений и животных Урал. Науч. Центра АН СССР, вып. 99, 12-22.
Богданов Г.А. О связи линейного роста с созреванием. /Г.А. Богданов// Труды ВНИРО, т. 141.- 2002. ,47-57с.
Бойко И.А. О выявлении связи между изменением размерно-весовых показателей и отклонением о нормы уровня флуктуирующей ассиметрии. Прибрежное рыболовство 21 век. Тез.межд.науч.практ. конф. Южно-Сахалинск. 2001.- 9-10с.
Божко А.М., Смирнов В.С. 1976. Отражение экологической специфики в морфофизиологических показателях разных популяций рыбца. – В кн.: Рыбец. Вильнюс: Мокслас, 27 -69.
Болотова Т.Т. 1976. Динамика жирности сига-лудоги CoregonuslavaretusludogaPoljakov. Ладожского озера в связи с созреванием гонад.- Вопр. ихтиологии, т. 16, вып. 5, 916-922.
Бризинова Н.П., Кирпичников В.С. 1952. К проблеме повышения зимостойкости сеголеток карпа, амурского сазана и их гибридов. Сообщение 2. Обмен веществ, жирность и упитанность гибридов и сазана.- Зоол. журнал, т.31, вып. 6, 897 -905.
Васнецов В.В. 1953. О закономерностях роста рыб. Очерки по общим вопросам ихтиологии.Стр. 18.
Вольскис Р.С., Попова М.С., Подгорный М.И., Милерене Е.Ю., Лебенка А.Ю., Николаева Т.С., Лукша Р.К. 1976. Биология и промысловое значение рыбца в Каунасском, Цимлянском, Сенгилеевском и Ткибульском водохранилищах.- В кн.: Рыбец. Вильнюс: Мокслас, 159-209.
Гершанович А.Д. 1982. Эколого-физиологическая характаристика молоди осетровых в связи с их выращиванием: Автореф. Дис. На соискание уч. ст. канд. биол. наук. М.,: Всес. н.-и. ин-т морск. рыбн. хоз-ва и океаногр. 24с.
Гершанович А.Д., Маркевич Н.Б., Дергелева Ж.Т. 1984. Об использовании коэффициента упитанности в ихтиологических исследованиях. Вопр. ихтиологии. Т.24, вып. 5 , 740- 752.
Гофман П.Б.1938. Количественные закономерности роста животных. Успехи современной биологии. Т. 9, в. 1, стр. 39.
Грандилевская-Дексбах М.Л., Троицкая В.И. 1951. Питание и рост ладожского рипуса в оз. Шартраш Свердлоской области.- Зоол. журнал , т.30, вып. 3, 253 -266.
Дадикян М.Г. 1967. Об обеспеченности кормом и коэффициенте упитанности как ее критерии. - Вопр. ихтиологии, т. 7, вып. 2, 338-347.
Добринская Л.А., Беляев В.И. 1976. Некоторые данные по биологии щуки, линя и ерша оз. Большой Шикулью- Тр. Ин-та экологии растений и животных Уральск. науч. Центра АН СССР, вып.99, 97-109.
Добринская Л.А., Бененсон И.Е. 1981. Изменчивость и корреляционные связи морфофизиологических признаков у сеголетков серебряного карася. - Экология, № 4, 59-66.
Добринская Л.А. 1965. Возрастные изменения относительного веса внутренних органов рыб. Зоологический журнал. Т. 44, вып. 1, 72 с.
Добринская Л.А. 1971. Закономерности роста и созревания рыб. М.: Наука., 224с. АН СССР. Ин-т эволюционной морфологии и экологии животных.
Дрягин П.А. 1936. Рыбы реки Чу и рыбное хозяйство этой реки.- Тр. Киргизск. Компл. Эксп. Рыбное хозяйство Киргизск. ССР, т. 3, вып. 1, 49-89.
Дунке Н.А., Чутаева А.И., Чутаев И.Х. 1970. О зависимости среднего веса сеголеток карпа от условий выращивания.- Тр. Белорус. н.-и. ин-та рыб. хоз-ва, т. 7, 100-111.
Дюжиков А.Т. 1962. Результаты наблюдений за осетровыми рыбами в первые годы существования Волгоградского водохранилища.- Тр. Саратовск. отд. Гос. н.-и. ин-та озерн. и речн. рыбн. хоз-ва, т.7, 193-242.
Ефанов В.А., Чупахин В.М. 1982. Динамика некоторых показателей популяции горбуши Oncorhynchusgorbuscha (Walbaum) острова Итуруп ( Курильские острова). - Вопр. ихтиологии, т.22, вып. 1, 54-61.
Зиновьев Е.А. 1965. Язь Камского водохранилища.- Уч. зап. Пермск. гос. ун-та, № 125, 45- 60.
Иванков В.И. О методике определения упитанности рыб. Биология моря. 1988. № 1, 59-60.
Ионас В.А., Блинов В.В. 1977. Зависимость весового роста промысловых рыб от их длины и возраста.- Рыбное хозяйство. № 5, 8-10с.
Калюжный В.Г. 1967. Окунь средних и нижних участков Ангарского плеса Братского водохранилища в первые годы его заполнения ( 1964- 1965).- Изв. Биол.-геогр. н.-и. ин-та при Иркутск. гос. ун-те, т. 20, 293 – 298.
Кирпичников В.С., Шарт Л.А. 1974. Ускорение смены поколений карпа при проведении селекции в южных районах СССР.- Тр. Всес. н.-и. ин-та пруд. рыбн. хоз-ва, т. 23, 55-63.
Кларо Р., Лапин В.И. 1971. Изменение некоторых биохимических показателей органов и тканей Lutjianussynagris (L.) зал. Батабаньо во время созревания половых продуктов. - Вопр. ихтиологии, т. 11, вып. 5, 877- 891.
Константинова Н.А. 1958. Динамика основных биологических показателей леща северной части Аральского моря.- Вопр. ихтиологии, вып. 10, 60- 89.
Куга Т.И. 1976. Динамика некоторых биохимических показателей и жирности мышц леща AbramisbramaorientalisBergсеверной части Аральского моря. – Вопр. ихтиологии, т. 16, вып. 5, 908- 915.
Кушнаренко А.М. 1971. К вопросу о качественной оценке искусственно выращиваемой молоди осетровых.- Тр. Центр н.-и. ин-та осетр. рыбн. хоз-ва, т. 3, 168- 176.
Лав Р.М. 1976. Химическая биология рыб. М.: Пищ. пром-сть. 348 с.
Лакин Г.Ф. 1980. Биометрия. М.: Высшая школа. 293 с.
Ланина А.В. 1973. Мясное скотоводство. М.: Колос. 280с.
Лапин В.И., Чернова Е.Г. 1970. О методике экстракции жира из сырых тканей рыб.- Вопр. ихтиологии, т. 10, вып. 4, 753 -756.
Лапина Н.Н. 1980. Динамика некоторых физиологических показателей леща Рыбинского водохранилища на протяжении годового цикла.- Вестн. Моск. гос. ун-та. Сер. 16. Биология, № 2, 63- 70.
Мовчан Ю.В., Козлов В.И. 1978. Морфологическая характеристика и некоторые черты экологии амурского чебачка Pseudorasboraparva ( Schlegel) в водоемах Украины.- Гидробиол. ж., т. 14, № 5, 42 -48.
Морозов А.В., Дубровская К.П. 1951. О коэффициентах упитанности рыб.- Зоол. журн., т. 30, вып. 3, 267- 272.
Никольский Г.В. 1940. Рыбы Аральского моря. М.: Изд-во Моск. о-ва испыт. Природы. 215с.- 1974. Экология рыб. М.: Высшая школа. 357 с.- 1974а. Теория динамики стада рыб. М.6 Пищ. пром-сть, 447 с.
Носков А.С. 1956. Об определении упитанности рыб.- Тр. Балт. н.-и. ин-та морск. Рыбн. хоз-ва и океаногр., вып. 2, 90-95.
Овсянников А.И. 1955. Кондиции сельскохозяйственных животных. (Роль резервов в жизни и эволюции животных). М.: Всесоюз. с.-х. ин-т заоч. образования, 22 с.
Поляков Г.Д. 1959. Взаимосвязь линейного роста, увеличения веса, накопления веществ и энергии в теле сеголетков карпа, выращиваемых в разных условиях- В кн.: Биологические основы рыбного хозяйства. Томск: Изд. Томск. гос. ун-та, 101- 108.
Правдин И.Ф. 1933. Возраст и рост рыбы. М.л., 56 с.
Пушкин Я.А. 1965. Густера Камского водохранилища.- Уч. Зап. Пермск. гос. ун-та, № 125, 69- 84.
Пчеловодова Д.В. 1974. Динамика жирности у сеголетков карпа осенью и в период зимовки. – Мзв. Гос. н.-и. ин-та озерн. и речн. хоз-ва, т. 88, 81- 98.
Руководство по методике исследования физиологии рыб. 1962. М.: Изд-во АН СССР. 375 с.
Сальников Н.Е., Мицнер А.О. 1975. О влиянии зарегулирования стока рек на образование экологических популяций рыб.- Тр. Всесоюз. н.-и. ин-та морск. рыбн. хоз-ва и океаногр., т. 107, 134- 141.
Сальников Н.Е., Кравченко Д. 1978. К методике определения упитанности рыб.- Рыбное хозяйство. № 6, 16-18с.
Саппо Г.Б. 1976. О формировании локального стада леща AbramisbramaorientalisBerg в зоне подогретых вод Конаковской ГРЭС.- Вопр. ихтиологии, т. 16, вып. 1, 41- 51.
Сиверцов А.П. 1965. О соотношении коэффициента упитанности и скорости роста карпов. - Вопр. ихтиологии, т.5,вып. 2, 374- 377.
Силкин Н.Ф., Силкина Н.И. 1981. Биохимическая разнокачественность леща Рыбинского и Горьковского водохранилищ. Информ.бюл. «Биол. внутр. вод», № 52, 53-57.
Сторожук А.Я. 1977. Морфофизиологические и биохимические особенности созревания сайды ( PollachiusvirensL.) Северного моря.- Тр. Всесоюз. н.-и. ин-та морск. рыбн. хоз-ва и океаногр., т. 121, 58-65.
Стребкова Т.П., Дергалева Ж.Т. 1975. Некоторые биохимические показатели сеголетков полосатого окуня.- Тр. Всесоюз. н.-и. ин-та морск. рыбн. хоз-ва и океаногр., т. 96, вып. 4, 127- 131.
Тихонов В.Н. 1928. Чехонь (PelecuscultratusL.) бассейна Азовского моря.- Тр. Азов.- Черноморск. научно-промысл. Экспед., вып. 3,5-80.
Тряпицына Л.Н. 1975. Экология красноперки и густеры дельты Волги в условиях зарегулированного стока. М.: Наука. 178с.
Урбах В.Ю. 1964. Биометрические методы. М.: Наука. 415 с.
Устюгов А.Ф. 1972. Эколого-морфологическая характеристика сибирской ряпушки Coregonusalbulasardinella ( Valenciennis) бассейна р.Енисей.- Вопр. ихтиологии, т. 12, вып. 5, 811- 826.
Хакимуллин А.А. 1980. Морфофизиологическая оценка заводской молоди сибирского осетра. AcipenserbaeriBrandt.- Вопр. ихтиологии, т. 20, вып. 5, 877- 885.
Хашем М.Т. 1970. Упитанность и жирность синца AbramisballerusL. Рыбинского водохранилища. – Вопр. ихтиологии, т. 10, вып. 3, 456- 461.
Шмальгаузен И.И. 1935. Определение основных понятий и методика исследования роста.- В кн.: Рост животных. М.: Биомедгиз, 8 -60.
Шубина Л.И. 1982. Биология, состояние запасов и перспективы промысла каспийского пузанка: Автореф. дис. на соискание уч. ст. канд. биол. наук. М.: Всес. н.- и. ин-т морск. рыбн. хоз-ва.
Шубников Д.А. 1959. О применении данных анализа жирности и крови в промысловой разведке атлантическо-скандинавской сельди в летний период.- Рыбн. хоз-во, № 3, 12- 14.
Шульман Г.Е. 1972. Физико-биохимические особенности годовых циклов. М.: Пищ. пром-сть. 368 с.
Яржомбек А.А., Шмаков Н.Ф., Лиманский В.В., Бекина Е.Н. 1981. Временные рекомендации по определению физиологического состояния рыб по физиолого-биохимическим данным. М.: Изд. Всесоюз. н.-и. ин-та пруд. рыбн. хоз-ва. 53с.
Cadwallader P.L. 1978. Age, growth and condition of the common river galaxies vulgaris Stokell in the Glentin river, Cantebury, New Zealand. Fisheries Res. Bull. № 17. 35p.
Chua T. E., Teng S. K. 1978. Effects of feeding frequency on the growth of young estuary grouper Epinephelus tauvina (Forskal) cultured in floating net-cages.- Aquaculture, v. 14, № 1, 31-47.
Clark F.N. 1928. The weight-length relationship of the california sardine ( Sardina caerulea ) at San Pedro.- Fish. Bull. U.S., № 12, 5-59.
Fulton T. 1902. Rate of growth of sea fish. Fish. Scotl. Sci. Invest. Report, v. 20,pt 3. 226- 334.
Gibson R.N., Ezzi I.A. 1981. The biology of the Norway goby, Pomatoschistus norvegicus (Collett), on the west coast of Scotland.-J. Fish. Biol.,v.19, №6,697-714.
Laurent M., Moreau G. 1973.Influence des facteurs ecologiques sur le coefficient de condition d,un teleosteen (Cottus gobio L.).-Ann. Hidrobiol.,v.4,№2, 211-228.
Le Cren E. D. 1951. The length-weight relationship and condition factor of juvenile ladyfish, Elops saurus Linnaeus Louisiana coastal streams.- Trans. Amer. Fish. Soc.,v.103,№3, 472-476.
Takita T. 1978. Reproductive ecology of a shad, Konosirus punctatus in Ariake Sound.1. Distribution, body condition and maturation.- Bull. Fac. Fish. Nagasaki Univ., №45, 5-10.
Приложение
Далее мы приводим сравнительную таблицу упитанности волжской севрюги. Коэффициенты упитанности по Фультону, Кларк и Калабухову рассчитаны по данным проф. В.М. Распопова. В формуле Калабухова массу мы умножаем на 10: умноженные на 10 значения более удобны.
| Дата |
№№ |
L
Полная длина рыбы
(см)
|
l
Длина без хвост. Плавника (см)
|
M
Полная масса рыбы
(кг)
|
m
Масса без внутренностей
(кг)
|
Упитанность по Фультону
Mх100/ l^3
|
Упитанность по Калабухову ( с внутр.)
M х 10/ l
|
Упитанность по Кларк
m х 100/ l^3
|
Упитанность по Калабухову (без. внутр.)
m х 10/ l
|
Пол
(Ск.-самки,
Сц.-самцы)
|
Стадия зрелости |
| 1 |
2 |
3 |
4 |
5 |
6 |
7 |
8 |
9 |
10 |
11 |
12 |
| 4/ 1У |
1 |
150 |
131 |
14 |
10,8 |
6,2х10⁻⁴ |
1,07 |
3,6х10⁻⁴ |
0,82 |
Ск. |
1V-Ш |
| 19/1У |
2 |
132 |
115 |
6,7 |
5,9 |
4,4х10⁻⁴ |
0,58 |
3,9х10⁻⁴ |
0,51 |
Сц. |
1V |
| 23/1У |
3 |
152 |
135 |
14,7 |
10 |
5,9х10⁻⁴ |
1,09 |
4,1х1⁻⁴0 |
0,74 |
Ск. |
1V |
| 4 |
126 |
109 |
5,8 |
4,9 |
4,5х10⁻⁴ |
0,53 |
3,8х10⁻⁴ |
0,45 |
Сц. |
1V |
| 5 |
129 |
113 |
8 |
6,9 |
5,5х10⁻⁴ |
0,71 |
4,8х10⁻⁴ |
0,61 |
Сц. |
1V |
| 6 |
153 |
136 |
13 |
10 |
5,2х10⁻⁴ |
0,95 |
4,0х10⁻⁴ |
0,74 |
Ск. |
1V |
| 7 |
135 |
119 |
6,8 |
6,2 |
4,0х10⁻⁴ |
0,57 |
3,7х10⁻⁴ |
0,52 |
Сц. |
1V |
| 8 |
135 |
120 |
8 |
7 |
4,6х10⁻⁴ |
0,67 |
4,1х10⁻⁴ |
0,58 |
Сц. |
1V |
| 9 |
154 |
136 |
13,3 |
9,4 |
5,3х10⁻⁴ |
0,98 |
3,7х10⁻⁴ |
0,69 |
Ск. |
1V |
| 30/1У |
10 |
143 |
127 |
11,8 |
9,1 |
5,8х10⁻⁴ |
0,93 |
4,4х10⁻⁴ |
0,72 |
Ск. |
1V |
| 11 |
130 |
113 |
6,9 |
6 |
4,8х10⁻⁴ |
0,61 |
4,2х10⁻⁴ |
0,53 |
Сц. |
1V |
| 3/V |
12 |
157 |
140 |
13,1 |
9,9 |
4,8х10⁻⁴ |
0,93 |
3,6х10⁻⁴ |
0,71 |
Ск. |
1V |
| 13 |
132 |
118 |
7,9 |
7 |
4,8х10⁻⁴ |
0,7 |
4,3х10⁻⁴ |
0,59 |
Сц. |
1V |
| 14 |
115 |
100 |
5,6 |
4,8 |
5,6х10⁻⁴ |
0,56 |
4,8х10⁻⁴ |
0,48 |
Сц. |
1V-Ш |
| 15 |
138 |
123 |
10,9 |
8,5 |
5,9х10⁻⁴ |
0,89 |
4,6х10⁻⁴ |
0,69 |
Ск. |
1V |
| 16 |
137 |
121 |
8,3 |
7,2 |
4,7х10⁻⁴ |
0,68 |
4,1х10⁻⁴ |
0,6 |
Сц. |
1V |
| 17 |
146 |
131 |
10,6 |
9,5 |
4,7х10⁻⁴ |
0,81 |
4,2х10⁻⁴ |
0,73 |
Сц. |
1V |
| 18 |
131 |
113 |
7 |
5,2 |
4,9х10⁻⁴ |
0,62 |
3,6х10⁻⁴ |
0,46 |
Ск. |
1V |
| 19 |
122 |
108 |
5,6 |
5 |
4,4х10⁻⁴ |
0,52 |
4,0х10⁻⁴ |
0,46 |
Сц. |
1V |
| 20 |
151 |
134 |
11,4 |
8,4 |
4,7х10⁻⁴ |
0,85 |
3,5х10⁻⁴ |
0,63 |
Ск. |
1V |
| 21 |
137 |
124 |
8,5 |
7,6 |
4,5х10⁻⁴ |
0,68 |
4,0х10⁻⁴ |
0,61 |
Сц. |
1V |
| 22 |
135 |
121 |
7,6 |
6,4 |
4,3х10⁻⁴ |
0,63 |
3,6х10⁻⁴ |
0,53 |
Сц. |
1V |
| 23 |
134 |
116 |
7,8 |
7 |
5,0х10⁻⁴ |
0,67 |
4,5х10⁻⁴ |
0,6 |
Сц. |
1V |
| 5/У |
24 |
132 |
114 |
6,4 |
5,8 |
4,3х10⁻⁴ |
0,56 |
3,9х10⁻⁴ |
0,51 |
Сц. |
1V |
| 25 |
114 |
124 |
8,2 |
5,7 |
4,3х10⁻⁴ |
0,66 |
3,0х10⁻⁴ |
0,46 |
Ск. |
1V |
| 5/У |
26 |
159 |
141 |
15,3 |
10,4 |
5,5х10⁻⁴ |
1,08 |
3,7х10⁻⁴ |
0,74 |
Ск. |
1V |
| 27 |
140 |
158 |
14,6 |
10,2 |
5,3х10⁻⁴ |
0,92 |
2,6х10⁻⁴ |
0,65 |
Ск. |
1V |
| 28 |
163 |
146 |
15 |
11,7 |
4,8х10⁻⁴ |
1,03 |
3,8х10⁻⁴ |
0,8 |
Ск. |
1V |
| 6/У |
29 |
132 |
111 |
6,7 |
5,8 |
4,9х10⁻⁴ |
0,6 |
4,2х10⁻⁴ |
0,52 |
Сц. |
1V |
| 30 |
114 |
101 |
4,7 |
3,5 |
4,6х10⁻⁴ |
0,46 |
3,4х10⁻⁴ |
0,35 |
Ск. |
1V |
| 31 |
137 |
120 |
7,8 |
7 |
4,5х10⁻⁴ |
0,65 |
4,1х10⁻⁴ |
0,58 |
Сц. |
1V |
| 32 |
127 |
111 |
6,5 |
5,7 |
4,8х10⁻⁴ |
0,58 |
4,2х10⁻⁴ |
0,51 |
Сц. |
1V |
| 33 |
146 |
127 |
11 |
8,6 |
5,4х10⁻⁴ |
0,87 |
4,2х10⁻⁴ |
0,68 |
Ск. |
1V |
| 34 |
148 |
133 |
12,7 |
9,2 |
5,4х10⁻⁴ |
0,95 |
3,9х10⁻⁴ |
0,69 |
Ск. |
1V |
| 7/У |
35 |
135 |
122 |
10,4 |
7,5 |
5,7х10⁻⁴ |
0,85 |
4,1х10⁻⁴ |
0,61 |
Ск. |
1V |
| 36 |
128 |
115 |
6,2 |
5,5 |
4,1х10⁻⁴ |
0,54 |
3,6х10⁻⁴ |
0,48 |
Сц. |
1V |
| 37 |
139 |
120 |
7,4 |
6,5 |
4,3х10⁻⁴ |
0,62 |
3,8х10⁻⁴ |
0,54 |
Сц. |
1V |
| 38 |
154 |
136 |
13,7 |
10,2 |
5,4х10⁻⁴ |
1,01 |
4,1х10⁻⁴ |
0,75 |
Ск. |
1V |
| 39 |
139 |
122 |
8,4 |
7,2 |
4,6х10⁻⁴ |
0,69 |
4,0х10⁻⁴ |
0,59 |
Сц. |
1V |
| 40 |
159 |
114 |
14,8 |
10,9 |
4,8х10⁻⁴ |
1,3 |
7,4х10⁻⁴ |
0,96 |
Ск. |
1У |
| 41 |
140 |
122 |
8,8 |
7,9 |
4,2х10⁻⁴ |
0,72 |
4,4х10⁻⁴ |
0,65 |
Сц. |
1V |
| 42 |
162 |
146 |
13 |
9,9 |
4,2х10⁻⁴ |
0,89 |
3,2х10⁻⁴ |
0,68 |
Ск. |
1V |
| 43 |
154 |
139 |
13,8 |
10,3 |
5,1х10⁻⁴ |
0,99 |
3,8х10⁻⁴ |
0,74 |
Ск. |
1V |
| 44 |
123 |
111 |
6,7 |
5,8 |
4,9х10⁻⁴ |
0,6 |
4,2х10⁻⁴ |
0,52 |
Сц. |
1V |
| 45 |
152 |
136 |
12,7 |
10 |
5,0х10⁻⁴ |
0,93 |
4,0х10⁻⁴ |
0,74 |
Ск. |
1V |
| 46 |
128 |
114 |
6,3 |
5,6 |
4,3х10⁻⁴ |
0,55 |
3,8х10⁻⁴ |
0,49 |
Сц. |
1V |
| 47 |
135 |
121 |
9,1 |
8,4 |
5,1х10⁻⁴ |
0,75 |
4,7х10⁻⁴ |
0,69 |
Сц. |
1V |
| 48 |
127 |
113 |
6 |
5,4 |
4,2х10⁻⁴ |
0,53 |
3,7х10⁻⁴ |
0,48 |
Сц. |
1V |
| 10/У |
49 |
182 |
164 |
22,5 |
16 |
5,1х10⁻⁴ |
1,37 |
3,6х10⁻⁴ |
0,98 |
Ск. |
1V |
| 50 |
132 |
117 |
6,5 |
6,1 |
4,1х10⁻⁴ |
0,56 |
3,8х10⁻⁴ |
0,52 |
Сц. |
1V |
| 51 |
121 |
106 |
5,6 |
5 |
4,7х10⁻⁴ |
0,53 |
4,2х10⁻⁴ |
0,47 |
Сц. |
1V |
| 52 |
167 |
149 |
15,6 |
12 |
4,7х10⁻⁴ |
1,05 |
3,6х10⁻⁴ |
0,81 |
Ск. |
1V |
| 53 |
123 |
107 |
5 |
4,5 |
4,1х10⁻⁴ |
0,47 |
3,7х10⁻⁴ |
0,42 |
Сц. |
1V |
| 54 |
129 |
113 |
6 |
5,5 |
4,2х10⁻⁴ |
0,53 |
3,8х10⁻⁴ |
0,49 |
Сц. |
1V |
| 55 |
162 |
145 |
19 |
13,6 |
6,2х10⁻⁴ |
1,31 |
4,4х10⁻⁴ |
0,91 |
Ск. |
1V |
| 56 |
129 |
114 |
7,4 |
6,7 |
5,0х10⁻⁴ |
0,65 |
4,5х10⁻⁴ |
0,59 |
Сц. |
1V |
| 57 |
152 |
134 |
13,4 |
10 |
5,6х10⁻⁴ |
1 |
4,2х10⁻⁴ |
0,75 |
Ск. |
1V |
| 58 |
129 |
115 |
6,7 |
6,2 |
4,4х10⁻⁴ |
0,58 |
4,1х10⁻⁴ |
0,54 |
Сц. |
1V |
| 59 |
139 |
128 |
8,1 |
6,2 |
3,9х10⁻⁴ |
0,63 |
3,0х10⁻⁴ |
0,48 |
Ск. |
1V |
| 60 |
132 |
118 |
7,2 |
6,4 |
4,4х10⁻⁴ |
0,61 |
3,9х10⁻⁴ |
0,54 |
Сц. |
1V |
| 61 |
142 |
128 |
9,7 |
7,2 |
4,6х10⁻⁴ |
0,76 |
3,4х10⁻⁴ |
0,56 |
Ск. |
1V |
| 62 |
121 |
108 |
5,9 |
5,2 |
4,7х10⁻⁴ |
0,55 |
4,1х10⁻⁴ |
0,48 |
Сц. |
1V |
| 12/У |
63 |
159 |
141 |
14,9 |
10,5 |
5,3х10⁻⁴ |
1,06 |
3,7х10⁻⁴ |
0,74 |
Ск. |
1V |
| 64 |
120 |
105 |
5,4 |
4,9 |
4,7х10⁻⁴ |
0,51 |
4,2х10⁻⁴ |
0,47 |
Сц. |
1V |
| 65 |
137 |
120 |
9,2 |
6,7 |
5,3х10⁻⁴ |
0,77 |
3,9х10⁻⁴ |
0,56 |
Ск. |
1V |
| 66 |
157 |
142 |
12,7 |
8,2 |
4,4х10⁻⁴ |
0,89 |
2,9х10⁻⁴ |
0,58 |
Ск. |
1V |
| 67 |
139 |
125 |
9,7 |
8,7 |
5,0х10⁻⁴ |
0,78 |
4,5х10⁻⁴ |
0,69 |
Сц. |
1V |
| 68 |
152 |
136 |
12,9 |
9,7 |
5,1х10⁻⁴ |
0,95 |
3,9х10⁻⁴ |
0,71 |
Ск. |
1V |
| 69 |
154 |
136 |
13,2 |
9,8 |
5,2х10⁻⁴ |
0,97 |
3,9х10⁻⁴ |
0,72 |
Ск. |
1V |
| 70 |
137 |
119 |
10,6 |
7,8 |
6,3х10⁻⁴ |
0,89 |
4,6х10⁻⁴ |
0,65 |
Ск. |
1V |
| 17/У |
71 |
156 |
139 |
15,2 |
9,8 |
5,7х10⁻⁴ |
1,09 |
3,6х10⁻⁴ |
0,71 |
Ск. |
1V |
| 72 |
142 |
123 |
9,7 |
8,4 |
5,2х10⁻⁴ |
0,79 |
4,5х10⁻⁴ |
0,68 |
Сц. |
1V |
| 73 |
135 |
121 |
8,4 |
5,6 |
4,7х10⁻⁴ |
0,69 |
3,2х10⁻⁴ |
0,46 |
Ск. |
1V |
| 74 |
129 |
113 |
6,4 |
5,6 |
4,4х10⁻⁴ |
0,57 |
3,9х10⁻⁴ |
0,5 |
Сц. |
1V |
| 75 |
126 |
111 |
6 |
5,3 |
4,4х10⁻⁴ |
0,54 |
3,9х10⁻⁴ |
0,48 |
Сц. |
1V |
| 76 |
120 |
107 |
5,2 |
4,6 |
4,2х10⁻⁴ |
0,49 |
3,8х10⁻⁴ |
0,43 |
Сц. |
1V |
| 18/У |
77 |
158 |
142 |
16 |
10,7 |
5,6х10⁻⁴ |
1,13 |
3,7х10⁻⁴ |
0,75 |
Ск. |
1V |
| 78 |
128 |
114 |
7,1 |
6,3 |
4,8х10⁻⁴ |
0,62 |
4,3х10⁻⁴ |
0,55 |
Сц. |
1V |
| 79 |
120 |
105 |
6,2 |
5,6 |
5,4х10⁻⁴ |
0,59 |
4,8х10⁻⁴ |
0,53 |
Сц. |
1V |
| 80 |
160 |
145 |
16,6 |
11,6 |
5,4х10⁻⁴ |
1,14 |
3,8х10⁻⁴ |
0,8 |
Ск. |
1V |
| 81 |
120 |
106 |
5,5 |
5 |
4,6х10⁻⁴ |
0,52 |
4,2х10⁻⁴ |
0,47 |
Сц. |
1V |
| 82 |
136 |
121 |
7 |
6,4 |
4,0х10⁻⁴ |
0,58 |
3,6х10⁻⁴ |
0,55 |
Сц. |
1V |
| 83 |
137 |
120 |
9,9 |
7,3 |
5,7х10⁻⁴ |
0,83 |
4,2х10⁻⁴ |
0,61 |
Ск. |
1V |
| 84 |
127 |
115 |
7,7 |
6,5 |
5,1х10⁻⁴ |
0,67 |
4,3х10⁻⁴ |
0,57 |
Сц. |
1V |
| 85 |
157 |
143 |
14,3 |
10,9 |
4,9х10⁻⁴ |
1 |
3,7х10⁻⁴ |
0,76 |
Ск. |
1V |
| 86 |
113 |
117 |
6,6 |
5,9 |
4,6х10⁻⁴ |
0,56 |
3,7х10⁻⁴ |
0,5 |
Сц. |
1V |
| 87 |
144 |
126 |
10 |
8 |
5,0х10⁻⁴ |
0,79 |
4,0х10⁻⁴ |
0,63 |
Ск. |
1V |
| 88 |
129 |
114 |
6,8 |
6,3 |
4,6х10⁻⁴ |
0,6 |
4,3х10⁻⁴ |
0,55 |
Сц. |
1V |
| 89 |
146 |
130 |
11,1 |
8,2 |
5,1х10⁻⁴ |
0,85 |
3,7х10⁻⁴ |
0,63 |
Ск. |
1V |
| 90 |
139 |
123 |
8,1 |
7,1 |
4,4х10⁻⁴ |
0,66 |
3,8х10⁻⁴ |
0,58 |
Сц. |
1V |
| 91 |
130 |
117 |
8,7 |
6,3 |
5,4х10⁻⁴ |
0,74 |
3,9х10⁻⁴ |
0,54 |
Ск. |
1V |
| 92 |
144 |
127 |
9,4 |
8,5 |
4,6х10⁻⁴ |
0,74 |
4,1х10⁻⁴ |
0,67 |
Сц. |
1V |
| 93 |
167 |
150 |
17,5 |
12,9 |
5,2х10⁻⁴ |
1,17 |
3,8х10⁻⁴ |
0,86 |
Ск. |
1V |
| 94 |
116 |
103 |
5,1 |
4,9 |
4,7х10⁻⁴ |
0,5 |
4,5х10⁻⁴ |
0,48 |
Сц. |
1V |
| 19/У |
95 |
182 |
163 |
28,2 |
20,3 |
6,5х10⁻⁴ |
1,73 |
4,7х10⁻⁴ |
1,25 |
Ск. |
1V |
| 96 |
128 |
111 |
7 |
6,1 |
5,1х10⁻⁴ |
0,63 |
4,5х10⁻⁴ |
0,55 |
Сц. |
1V |
| 97 |
130 |
117 |
6,8 |
6,5 |
4,2х10⁻⁴ |
0,58 |
4,1х10⁻⁴ |
0,56 |
Сц. |
1V |
| 98 |
148 |
136 |
14 |
10 |
5,6х10⁻⁴ |
1,03 |
4,0х10⁻⁴ |
0,74 |
Ск. |
1V |
| 99 |
142 |
128 |
10,5 |
9,4 |
5,0х10⁻⁴ |
0,82 |
4,5х10⁻⁴ |
0,73 |
Сц. |
1V |
| 100 |
167 |
148 |
16,3 |
11,9 |
5,0х10⁻⁴ |
1,1 |
3,7х10⁻⁴ |
0,8 |
Ск. |
1V |
| 101 |
129 |
113 |
6,6 |
6 |
4,6х10⁻⁴ |
0,58 |
4,2х10⁻⁴ |
0,53 |
Сц. |
1V |
| 102 |
119 |
106 |
6,6 |
6 |
5,5х10⁻⁴ |
0,62 |
5,0х10⁻⁴ |
0,57 |
Сц. |
1V |
| 103 |
157 |
139 |
14,1 |
10,4 |
5,3х10⁻⁴ |
1,01 |
3,9х10⁻⁴ |
0,75 |
Ск. |
1V |
| 104 |
133 |
117 |
8,8 |
7,5 |
5,5х10⁻⁴ |
0,75 |
4,7х10⁻⁴ |
0,69 |
Сц. |
1V |
| 105 |
178 |
160 |
21,8 |
16,5 |
5,3х10⁻⁴ |
1,36 |
4,0х10⁻⁴ |
1,03 |
Ск. |
1V |
| 106 |
129 |
113 |
6,8 |
6 |
4,7х10⁻⁴ |
0,6 |
4,2х10⁻⁴ |
0,53 |
Сц. |
1V |
| 107 |
126 |
113 |
5,6 |
4,8 |
3,9х10⁻⁴ |
0,5 |
3,3х10⁻⁴ |
0,42 |
Сц. |
1V |
| 108 |
159 |
142 |
13,8 |
10,9 |
4,8х10⁻⁴ |
0,97 |
3,8х10⁻⁴ |
0,77 |
Ск. |
1V |
| 109 |
134 |
116 |
7,7 |
6,7 |
4,9х10⁻⁴ |
0,66 |
4,3х10⁻⁴ |
0,58 |
Сц. |
1V |
| 110 |
139 |
124 |
9,9 |
7,6 |
5,2х10⁻⁴ |
0,8 |
4,0х10⁻⁴ |
0,61 |
Ск. |
1V |
| 111 |
125 |
110 |
6,1 |
5,5 |
4,6х10⁻⁴ |
0,55 |
4,1х10⁻⁴ |
0,5 |
Сц. |
1V |
| 112 |
153 |
133 |
13,8 |
10 |
5,9х10⁻⁴ |
1,04 |
4,3х10⁻⁴ |
0,75 |
Ск. |
1V |
| 113 |
122 |
107 |
5,3 |
4,8 |
4,3х10⁻⁴ |
0,5 |
3,9х10⁻⁴ |
0,45 |
Сц. |
1V |
| 114 |
182 |
167 |
20 |
15,1 |
4,3х10⁻⁴ |
1,2 |
3,2х10⁻⁴ |
0,9 |
Ск. |
1V |
| 115 |
114 |
101 |
5,1 |
4,5 |
5,0х10⁻⁴ |
0,5 |
4,4х10⁻⁴ |
0,45 |
Сц. |
1V |
| 116 |
147 |
130 |
12,2 |
8,8 |
5,6х10⁻⁴ |
0,94 |
4,0х10⁻⁴ |
0,68 |
Ск. |
1V |
| 20/У |
117 |
138 |
123 |
8,8 |
7,8 |
4,7х10⁻⁴ |
0,72 |
4,1х10⁻⁴ |
0,63 |
Сц. |
1V |
| 118 |
162 |
147 |
17,2 |
13,1 |
5,4х10⁻⁴ |
1,17 |
4,1х10⁻⁴ |
0,89 |
Ск. |
1V |
| 119 |
143 |
124 |
9 |
6,6 |
4,7х10⁻⁴ |
0,73 |
3,5х10⁻⁴ |
0,53 |
Ск. |
1V |
| 120 |
115 |
102 |
4,8 |
4,5 |
4,5х10⁻⁴ |
0,47 |
4,2х10⁻⁴ |
0,44 |
Сц. |
1V |
| 121 |
159 |
142 |
17,4 |
12,5 |
6,1х10⁻⁴ |
1,23 |
4,4х10⁻⁴ |
0,88 |
Ск. |
1V |
| 122 |
136 |
120 |
7,6 |
6,5 |
4,4х10⁻⁴ |
0,63 |
3,8х10⁻⁴ |
0,54 |
Сц. |
1V |
| 123 |
129 |
114 |
8,2 |
7,1 |
5,5х10⁻⁴ |
0,72 |
4,8х10⁻⁴ |
0,62 |
Сц. |
1V |
| 124 |
136 |
120 |
8,8 |
6,6 |
5,1х10⁻⁴ |
0,73 |
3,8х10⁻⁴ |
0,55 |
Ск. |
1V |
| 125 |
123 |
111 |
6,5 |
5,2 |
4,8х10⁻⁴ |
0,59 |
3,8х10⁻⁴ |
0,47 |
Сц. |
1V |
| 126 |
164 |
146 |
18,2 |
13,8 |
5,8х10⁻⁴ |
1,25 |
4,4х10⁻⁴ |
0,95 |
Ск. |
1V |
| 127 |
123 |
108 |
6,4 |
5,6 |
5,1х10⁻⁴ |
0,59 |
4,4х10⁻⁴ |
0,52 |
Сц. |
1V |
| 128 |
150 |
133 |
12,4 |
9 |
5,3х10⁻⁴ |
0,93 |
3,8х10⁻⁴ |
0,68 |
Ск. |
1V |
| 129 |
140 |
124 |
8,9 |
7,9 |
4,7х10⁻⁴ |
0,72 |
4,1х10⁻⁴ |
0,64 |
Сц. |
1V |
| 130 |
155 |
139 |
13,2 |
9,2 |
4,9х10⁻⁴ |
0,95 |
3,4х10⁻⁴ |
0,66 |
Ск. |
1V |
| 131 |
148 |
132 |
9,5 |
8,4 |
4,1х10⁻⁴ |
0,72 |
3,7х10⁻⁴ |
0,64 |
Сц. |
1V |
| 132 |
156 |
139 |
16,2 |
11,8 |
6,0х10⁻⁴ |
1,17 |
4,4х10⁻⁴ |
0,85 |
Ск. |
1V |
| 133 |
138 |
123 |
8,8 |
8,2 |
4,7х10⁻⁴ |
0,72 |
4,4х10⁻⁴ |
0,67 |
Сц. |
1V |
| 134 |
154 |
138 |
16 |
11,4 |
6,1х10⁻⁴ |
1,16 |
4,3х10⁻⁴ |
0,83 |
Ск. |
1V |
| 136 |
149 |
132 |
11,2 |
8,2 |
4,9х10⁻⁴ |
0,85 |
3,6х10⁻⁴ |
0,62 |
Ск. |
1V |
| 137 |
149 |
135 |
13,6 |
10,4 |
5,5х10⁻⁴ |
1,01 |
4,2х10⁻⁴ |
0,77 |
Ск. |
1V |
| 21/У |
138 |
145 |
130 |
11,4 |
8,3 |
5,2х10⁻⁴ |
0,88 |
3,7х10⁻⁴ |
0,64 |
Ск. |
1V |
| 139 |
128 |
113 |
6,2 |
5,6 |
4,3х10⁻⁴ |
0,55 |
3,9х10⁻⁴ |
0,5 |
Сц. |
1V |
| 140 |
151 |
136 |
13,3 |
9,7 |
5,3х10⁻⁴ |
0,98 |
3,9х10⁻⁴ |
0,71 |
Ск. |
1V |
| 141 |
120 |
107 |
5 |
4,6 |
4,1х10⁻⁴ |
0,47 |
3,8х10⁻⁴ |
0,43 |
Сц. |
1V |
| 142 |
139 |
126 |
10,7 |
7,9 |
5,3х10⁻⁴ |
0,85 |
3,9х10⁻⁴ |
0,63 |
Ск. |
1V |
| 143 |
115 |
104 |
5,4 |
4,7 |
4,8х10⁻⁴ |
0,52 |
4,2х10⁻⁴ |
0,45 |
Сц. |
1V |
| 144 |
144 |
128 |
10,4 |
7,8 |
5,0х10⁻⁴ |
0,81 |
3,7х10⁻⁴ |
0,61 |
Ск. |
1V |
| 145 |
137 |
121 |
8 |
7 |
4,5х10⁻⁴ |
0,66 |
4,0х10⁻⁴ |
0,58 |
Сц. |
1V |
| 146 |
137 |
121 |
8,9 |
6,6 |
5,0х10⁻⁴ |
0,74 |
3,7х10⁻⁴ |
0,55 |
Ск. |
1V |
| 147 |
140 |
123 |
9 |
7,9 |
4,8х10⁻⁴ |
0,73 |
4,2х10⁻⁴ |
0,64 |
Сц. |
1V |
| 148 |
152 |
136 |
12,7 |
8,8 |
5,0х10⁻⁴ |
0,93 |
3,5х10⁻⁴ |
0,65 |
Ск. |
1V |
| 149 |
153 |
137 |
12 |
10,9 |
4,7х10⁻⁴ |
0,88 |
4,2х10⁻⁴ |
0,8 |
Сц. |
1V |
| 150 |
145 |
127 |
10,1 |
7,7 |
4,9х10⁻⁴ |
0,8 |
3,8х10⁻⁴ |
0,61 |
Ск. |
1V |
| 151 |
128 |
125 |
8,9 |
7,9 |
4,6х10⁻⁴ |
0,71 |
4,0х10⁻⁴ |
0,63 |
Сц. |
1V |
| 152 |
134 |
119 |
8,1 |
7,2 |
4,8х10⁻⁴ |
0,7 |
4,3х10⁻⁴ |
0,61 |
Сц. |
1V |
| 153 |
149 |
134 |
12,6 |
9,6 |
5,2х10⁻⁴ |
0,94 |
4,0х10⁻⁴ |
0,72 |
Ск. |
1V |
| 154 |
144 |
127 |
10 |
9,4 |
4,9х10⁻⁴ |
0,79 |
4,6х10⁻⁴ |
0,74 |
Сц. |
1V |
| 155 |
142 |
126 |
9,6 |
8,6 |
4,8х10⁻⁴ |
0,76 |
4,3х10⁻⁴ |
0,68 |
Сц. |
1V |
| 156 |
154 |
137 |
12,7 |
9,5 |
4,9х10⁻⁴ |
0,93 |
3,7х10⁻⁴ |
0,69 |
Ск. |
1V |
| 157 |
148 |
133 |
12,7 |
9,7 |
5,4х10⁻⁴ |
0,95 |
4,1х10⁻⁴ |
0,73 |
Ск. |
1V |
| 158 |
158 |
143 |
14 |
10,8 |
4,8х10⁻⁴ |
0,98 |
3,7х10⁻⁴ |
0,76 |
Ск. |
1V |
| 159 |
139 |
124 |
9,5 |
6,7 |
5,0х10⁻⁴ |
0,77 |
3,5х10⁻⁴ |
0,54 |
Ск. |
1V |
| 160 |
150 |
132 |
11,5 |
8,3 |
5,0х10⁻⁴ |
0,87 |
3,6х10⁻⁴ |
0,63 |
Ск. |
1V |
| 161 |
139 |
124 |
10 |
7,4 |
5,2х10⁻⁴ |
0,81 |
3,9х10⁻⁴ |
0,6 |
Ск. |
1V |
| 24/У |
162 |
137 |
125 |
10,4 |
7,4 |
5,3х10⁻⁴ |
0,83 |
3,8х10⁻⁴ |
0,59 |
Ск. |
1V |
| 163 |
151 |
137 |
14 |
9,9 |
5,4х10⁻⁴ |
1,1 |
3,9х10⁻⁴ |
0,72 |
Ск. |
1V |
| 164 |
140 |
124 |
10,6 |
7,2 |
5,6х10⁻⁴ |
0,85 |
3,8х10⁻⁴ |
0,58 |
Ск. |
1V |
| 165 |
148 |
130 |
12,4 |
8,7 |
5,6х10⁻⁴ |
0,95 |
4,0х10⁻⁴ |
0,67 |
Ск. |
1V |
| 166 |
177 |
156 |
21,2 |
15,2 |
5,6х10⁻⁴ |
1,36 |
4,0х10⁻⁴ |
0,97 |
Ск. |
1V |
| 167 |
153 |
138 |
10,4 |
7,6 |
4,0х10⁻⁴ |
0,75 |
3,0х10⁻⁴ |
0,55 |
Ск. |
1V |
| 168 |
137 |
123 |
8,7 |
7,8 |
4,7х10⁻⁴ |
0,71 |
3,8х10⁻⁴ |
0,63 |
Сц. |
1V |
| 169 |
165 |
149 |
16,2 |
12,1 |
4,9х10⁻⁴ |
1,09 |
3,7х10⁻⁴ |
0,81 |
Ск. |
1V |
| 170 |
141 |
125 |
9,2 |
8,3 |
4,7х10⁻⁴ |
0,74 |
4,2х10⁻⁴ |
0,66 |
Сц. |
1V |
| 171 |
158 |
136 |
13,9 |
10,6 |
5,0х10⁻⁴ |
1,02 |
4,2х10⁻⁴ |
0,78 |
Ск. |
1V |
| 172 |
146 |
132 |
10,4 |
9 |
4,5х10⁻⁴ |
0,79 |
3,9х10⁻⁴ |
0,68 |
Сц. |
1V |
| 173 |
147 |
130 |
11,6 |
8,6 |
5,3х10⁻⁴ |
0,89 |
3,9х10⁻⁴ |
0,66 |
Ск. |
1V |
| 174 |
111 |
97 |
3,6 |
3,4 |
3,9х10⁻⁴ |
0,37 |
3,7х10⁻⁴ |
0,35 |
Сц. |
1V |
| 25/У |
175 |
166 |
149 |
19,1 |
12,4 |
5,8х10⁻⁴ |
1,28 |
3,7х10⁻⁴ |
0,83 |
Ск. |
1V |
| 176 |
131 |
115 |
7,6 |
6,7 |
5,0х10⁻⁴ |
0,66 |
4,4х10⁻⁴ |
0,58 |
Сц. |
1V |
| 177 |
168 |
150 |
18,5 |
12,8 |
5,5х10⁻⁴ |
1,23 |
3,8х10⁻⁴ |
0,85 |
Ск. |
1V |
| 178 |
130 |
116 |
7,6 |
6,7 |
4,9х10⁻⁴ |
0,66 |
4,3х10⁻⁴ |
0,58 |
Сц. |
1V |
| 179 |
135 |
118 |
7,9 |
7,2 |
4,8х10⁻⁴ |
0,67 |
4,4х10⁻⁴ |
0,61 |
Сц. |
1V |
| 180 |
162 |
148 |
16,6 |
10,9 |
5,1х10⁻⁴ |
1,12 |
3,4х10⁻⁴ |
0,74 |
Ск. |
1V |
| 181 |
143 |
125 |
8,1 |
7 |
4,1х10⁻⁴ |
0,65 |
3,6х10⁻⁴ |
0,56 |
Сц. |
1V |
| 182 |
150 |
132 |
11,7 |
8,2 |
5,1х10⁻⁴ |
0,89 |
3,6х10⁻⁴ |
0,62 |
Ск. |
1V |
| 183 |
128 |
113 |
6,4 |
5,7 |
4,4х10⁻⁴ |
0,57 |
4,0х10⁻⁴ |
0,5 |
Сц. |
1V |
| 184 |
156 |
141 |
15,4 |
11,6 |
5,5х10⁻⁴ |
1,09 |
4,1х10⁻⁴ |
0,82 |
Ск. |
1V |
| 185 |
141 |
125 |
10 |
6,8 |
5,1х10⁻⁴ |
0,8 |
3,5х10⁻⁴ |
0,54 |
Ск. |
1V |
| 186 |
160 |
142 |
12,3 |
9 |
4,3х10⁻⁴ |
0,87 |
3,1х10⁻⁴ |
0,63 |
Ск. |
1V |
| 187 |
153 |
136 |
12 |
9 |
4,8х10⁻⁴ |
0,88 |
3,6х10⁻⁴ |
0,66 |
Ск. |
1V |
| 188 |
138 |
124 |
10,9 |
7,7 |
5,7х10⁻⁴ |
0,88 |
4,0х10⁻⁴ |
0,62 |
Ск. |
1V |
| 189 |
152 |
134 |
11,2 |
8,2 |
4,7х10⁻⁴ |
0,84 |
3,4х10⁻⁴ |
0,61 |
Ск. |
1V |
| 190 |
162 |
143 |
15,3 |
10,9 |
5,2х10⁻⁴ |
1,07 |
3,7х10⁻⁴ |
0,76 |
Ск. |
1V |
| 191 |
153 |
136 |
12,4 |
9,5 |
4,9х10⁻⁴ |
0,91 |
3,8х10⁻⁴ |
0,7 |
Ск. |
1V |
| 192 |
146 |
130 |
9,7 |
7 |
4,4х10⁻⁴ |
0,75 |
3,2х10⁻⁴ |
0,54 |
Ск. |
1V |
| 193 |
137 |
120 |
8,6 |
6,4 |
5,0х10⁻⁴ |
0,72 |
3,7х10⁻⁴ |
0,53 |
Ск. |
1V |
| 194 |
138 |
124 |
9,4 |
6,7 |
4,9х10⁻⁴ |
0,76 |
3,5х10⁻⁴ |
0,54 |
Ск. |
1V |
| 195 |
134 |
120 |
9,7 |
6,7 |
5,6х10⁻⁴ |
0,81 |
3,9х10⁻⁴ |
0,56 |
Ск. |
1V |
| 196 |
151 |
135 |
12,3 |
9,3 |
5,0х10⁻⁴ |
0,91 |
3,8х10⁻⁴ |
0,69 |
Ск. |
1V |
| 26/У |
197 |
158 |
142 |
18 |
12 |
6,3х10⁻⁴ |
1,27 |
4,2х10⁻⁴ |
0,85 |
Ск. |
1V |
| 198 |
140 |
124 |
9,2 |
6,8 |
4,8х10⁻⁴ |
0,74 |
3,6х10⁻⁴ |
0,55 |
Ск. |
1V |
| 199 |
167 |
150 |
20,6 |
13,6 |
6,1х10⁻⁴ |
1,37 |
4,0х10⁻⁴ |
0,91 |
Ск. |
1V |
| 200 |
144 |
127 |
10,4 |
7,2 |
5,1х10⁻⁴ |
0,82 |
3,5х10⁻⁴ |
0,57 |
Ск. |
1V |
|