Государственное образовательное учреждение
Высшего профессионального образования
«Хакасский государственный университет им. Н.Ф. Катанова»
Колледж педагогического образования, информатики и права
Контрольная работа
по дисциплине «Анатомия и физиология человека»
на тему «Обмен веществ и энергии»
студентки заочного отделения
специальности Социально-педагогическое обеспечение младших школьников
Исаевой Татьяны Валериевны
Преподаватель: Наговская Ф.Ш.
Домашний адрес:
РХ г. Черногорск
ул. Калинина 23-46
тел. 8-923-394-83-40
Абакан 2009
Содержание:
Вступление
I. Значение для организма белков, жиров и углеводов, воды и минеральных солей:
1.Белки
1.1. Строение белков
1.2. Классификация белков
1.3. Функции белков
2. Жиры
2.2. Жиры не только источник энергии
3. Углеводы
3.1. Классификация углеводов
3.2. Функции углеводов
4. Вода
4.1. Вода – среда жизненных процессов
4.2. Жажда
5. Соли
5.1. Соли в организме
5.2. Минеральные соли
II. Белковый, углеводный, жировой обмен организма человека (поступление веществ, их превращения в пищеварительном тракте и клетках)
III. Нормы питания
1. Что такое аппетит
2. В еде знай меру
3. Какая пища полезна
4. Мясо – ценная белковая пища
5. Пища, приготовленная природой
6. Чем вредны посты для здоровья
7. Питание спортсменов
IV. Витамины, их роль в обмене веществ. Основные авитаминозы.
1. Витамины
2. Классификация витаминов
3. Источники витамина PP
4. Обмен веществ (метаболизм)
5. Роль витаминов в обмене веществ
6. Витамины против инфекций
7. Нормы потребления витаминов
8. Витамины в продуктах
9. Как сохранить витамины
10. Стране нужны тонны витаминов
11. Роль минеральных веществ в питании человека (магний, кальций, калий, натрий, хлор, фосфор, сера, железо, йод, кобальт, медь, никель, цинк, марганец, хром, фтор)
12. Авитаминозы и гиповитаминозы
13. Необходимые дозы витаминов
Заключение
Список литературы
ОБМЕН ВЕЩЕСТВ - это процесс поступления веществ в организм, их переработка, доставка в каждую клетку тела, превращения в клетках с выделением энергии и удаление продуктов распада.
В наш организм поступают такие вещества, как кислород и пища.
Что же происходит с питательными веществами в организме после их всасывания в кровь? Современная наука раскрывает химическую основу жизненных процессов.
Выяснить превращения питательных веществ в организме ученым помогли меченые атомы, ставшие разведчиками тайн природы. Они убедили нас в постоянном обновлении веществ в организме.
Химические превращения протекают так, что внутренняя среда каждой живой клетки остается постоянной, несмотря на то, что входящие в ее состав вещества сменяются.
В течение жизни почти все клетки нашего тела заменяются несколькораз. За год кровь человека обновляется полностью три раза.
Ежесекундно, каждую минуту расходуются материалы, из которых состоят наши клетки. Множество роговых чешуек, отмерших клеток, сбрасывается с поверхности кожи.
Старые клетки заменяются новыми. Чем активнее жизнь организма, чем выше рабочая нагрузка органов, тем энергичнее протекают процессы самообновления клеток. Беспрерывно идет физиологическая регенерация (возрождение) клеток тела. Постоянное самообновление — универсальное свойство жизни.
Подсчитано, что человек за всю свою жизнь потребляет 2,5 т белка, 1,3 т жира, 17,5 т углеводов и 75 т воды.
Ученые в итоге длительных исследований сумели определить тепловую трату организма и по ней сделали расчет, каким по калорийности должен быть пищевой рацион. Обмен веществ подтверждает закон сохранения вещества и энергии.
І. Значение для организма белков, жиров и углеводов, воды и минеральных солей
БЕЛКИ - высокомолекулярные органические соединения, биополимеры, построенные из 20 видов L-аминокислотных остатков, соединенных в определенной последовательности в длинные цепи. Молекулярная масса белков варьируется от 5 тыс. до 1 млн. Название «белки» впервые было дано веществу птичьих яиц, свертывающемуся при нагревании в белую нерастворимую массу. Позднее этот термин был распространен на другие вещества с подобными свойствами, выделенные из животных и растений. Белки преобладают над всеми другими присутствующими в живых организмах соединениями, составляя, как правило, более половины их сухого веса. Предполагается, что в природе существует несколько миллиардов индивидуальных белков (например, только в бактерии кишечная палочка присутствует более 3 тыс. различных белков). Белки играют ключевую роль в процессах жизнедеятельности любого организма. К числу белков относятся ферменты, при участии которых протекают все химические превращения в клетке (обмен веществ); они управляют действием генов; при их участии реализуется действие гормонов, осуществляется трансмембранный транспорт, в том числе генерация нервных импульсов они являются неотъемлемой частью иммунной системы (иммуноглобулины) и системы свертывания крови, составляют основу костной и соединительной ткани, участвуют в преобразовании и утилизации энергии и т. д.
Строение белков
Практически все белки построены из 20 L-аминокислот, принадлежащих к L-ряду, и одинаковых практически у всех организмов. Аминокислоты в белках соединены между собой пептидной связью—СО—NH—, которая образуется карбоксильной и L-аминогруппой соседних аминокислотных остатков (см. рис.): две аминокислоты образуют дипептид, в котором остаются свободными концевые карбоксильная (—СООН) и аминогруппа (H2N—), к которым могут присоединяться новые аминокислоты, образуя полипептидную цепь.
Участок цепи, на котором находится концевая Н2N-группа, называют N-концевым, а противоположный ему — С-концевым. Огромное разнообразие белков определяется последовательностью расположения и количеством входящих в них аминокислотных остатков. Хотя четкого разграничения не существует, короткие цепи принято называть пептидами или олигопептидами (от олиго...), а под полипептидами (белками) понимают обычно цепи, состоящие из 50 и более аминокислот. Наиболее часто встречаются белки, включающие 100-400 аминокислотных остатков, но известны и такие, молекула которых образована 1000 и более остатками. Белки могут состоять из нескольких полипептидных цепей. В таких белках каждая полипептидная цепь носит название субъединицы.
Классификация белков
Сложность строения белковых молекул, чрезвычайное разнообразие выполняемых ими функций затрудняют создание единой и четкой их классификации, хотя попытки сделать это предпринимались неоднократно, начиная с конца 19 века. Исходя из химического состава белки делят на простые и сложные (иногда их называют протеидами ). Молекулы первых состоят только из аминокислот. В составе же сложных белков помимо собственно полипептидной цепи имеются небелковые компоненты, представленные углеводами (гликопротеиды), липидами (липопротеиды), нуклеиновыми кислоты (нуклеопротеиды), ионами металла (металлопротеиды), фосфатной группой (фосфопротеиды), пигментами (хромопротеиды) и т. д.
В зависимости от выполняемых функций различают несколько классов белков. Самый многообразный и наиболее специализированный класс составляют белки с каталитической функцией — ферменты, обладающие способностью ускорять химические реакции, протекающие в живых организмах. В этом качестве белки участвуют во всех процессах синтеза и распада различных соединении в ходе обмена веществ, в биосинтезе белков и нуклеиновых кислот, регуляции развития и дифференцировки клеток. Транспортные белки обладают способностью избирательно связывать жирные кислоты, гормоны и другие органические и неорганические соединения и ионы, а затем переносить их с током крови и лимфы в нужное место (например, гемоглобин участвует в переносе кислорода от легких ко всем клеткам организма). Транспортные белки осуществляют также активный транспорт через биологические мембраны ионов, липидов, сахаров и аминокислот. Структурные белки выполняют опорную или защитную функцию; они участвуют в формировании клеточного скелета. Наиболее распространены среди них коллаген соединительной ткани, кератин волос, ногтей и перьев, эластин клеток сосудов и многие другие. В комплексе с липидами они являются структурной основой клеточных и внутриклеточных мембран. Ряд белков выполняет защитную функцию. Например, иммуноглобулины (антитела) позвоночных, обладая способностью связывать чужеродные патогенные микроорганизмы и вещества, нейтрализуют их болезнетворное воздействие на организм, препятствует размножению раковых клеток. Фибриноген и тромбин участвуют в процессе свертывания крови. Многие вещества белковой природы, выделяемые бактериями, а также компоненты ядов змей и некоторых беспозвоночных относятся к числу токсинов. Некоторые белки (регуляторные) участвуют в регуляции физиологической активности организма в целом, отдельных органов, клеток или процессов. Они контролируют транскрипцию генов и синтез белка; к их числу относятся пептидно-белковые гормоны, секретируемые эндокринными железами. Запасные белки семян обеспечивают питательными веществами начальные этапы развития зародыша. К ним относят также казеин молока, альбумин яичного белка (овальбумин) и многие другие. Благодаря белкам мышечные клетки приобретают способность сокращаться и в конечном итоге обеспечивать движения организма. Примером таких сократительных белков могут служить актин и миозин скелетных мышц, а также тубулин, являющиеся компонентом ресничек и жгутиков одноклеточных организмов; они же обеспечивают расхождение хромосом при делении клеток. Белки-рецепторы являются мишенью действия гормонов и других биологически активных соединений. С их помощью клеткой воспринимается информация о состоянии внешней среды. Они играют важную роль в передаче нервного возбуждения и в ориентированном движении клетки (хемотаксисе). Преобразование и утилизация энергии, поступающей в организм с пищей, а также энергии солнечного излучения тоже происходит при участии белков биоэнергетической системы (например, зрительного пигмента родопсина, цитохромов дыхательной цепи; см. Биоэнергетика). Существует также множество белков с другими, порой довольно необычными функциями (например, в плазме крови некоторых антарктических рыб содержатся белки, обладающие свойствами антифриза).

Наиболее сложными биополимерами являются белки. Их макромолекулы состоят из мономеров, которыми являются аминокислоты. Каждая аминокислота имеет две функциональные группы: карбоксильную и аминогруппу. Все разнообразие белков создается в результате различных сочетаний 20 аминокислот.
В результате соединения нескольких белковых макромолекул, обладающих третичной структурой, в сложный комплекс формируется четвертичная структура белка. Примером таких сложных белков является гемоглобин, состоящий из четырех макромолекул.
Функции белков
Функции белков в клетке многообразны. Одна из важнейших — строительная функция: белки входят в состав всех клеточных мембран и органоидов клетки, а также внеклеточных структур.
Для обеспечения жизнедеятельности клетки исключительно важное значение имеет каталитическая, или. ферментативная, роль белков. Биологические катализаторы, или ферменты,— это вещества белковой природы, ускоряющие химические реакции в десятки и сотни тысяч раз.
Ферментам свойственны некоторые черты, отличающие их от катализаторов неорганической природы. Во-первых, один фермент катализирует только одну реакцию или один тип реакций, т. е. биологический катализ специфичен. Во-вторых, активность ферментов ограничена довольно узкими температурными рамками (35— 45 °С), за пределами которых их активность снижается или исчезает. В-третьих, ферменты активны при физиологических значениях рН, т. е. в слабощелочной среде. Еще одно важное отличие ферментов от неорганических катализаторов: биологический катализ протекает при нормальном атмосферном давлении.
Все это определяет ту важную роль, которую ферменты играют в живом организме. Практически все химические реакции в клетке протекают с участием ферментов.
Двигательная функция живых организмов обеспечивается специальными сократительными белками. Эти белки участвуют во всех видах движения, к которым способны клетки и организмы: мерцание ресничек и биение жгутиков у простейших, сокращение мышц у многоклеточных животных и пр.
Транспортная функция белков заключается в присоединении химических элементов (например, кислорода) или биологически активных веществ (гормонов) и переносе их к различным тканям и органам тела.
При поступлении в организм чужеродных белков или микроорганизмов белые кровяные тельца лейкоциты— образуют особые белки — антитела. Они связывают и обезвреживают не свойственные организму вещества — это защитная функция белков.
Белки служат также источником энергии в клетке, т. е. выполняют энергетическую функцию. При полном расщеплении 1 г белка выделяется 17,6 кДж энергии.
ЖИРЫ - органические соединения, в основном сложные эфиры глицерина и одноосновных жирных кислот (триглицериды); относятся к липидам. Один из основных компонентов клеток и тканей живых организмов. Источник энергии в организме; калорийность чистого жира 3770 кДж/100 г. Природные жиры подразделяются на жиры животные и масла растительные.
Жиры (липиды) представляют собой соединения высокомолекулярных жирных кислот и трехатомного спирта глицерина. Жиры не растворяются в воде — они гидрофобны. В клетках есть и другие сложные гидрофобные жироподобные вещества, называемые липоидами, например холестерин. Содержание жиров в клетке колеблется от 5 до 15% от массы сухого вещества. В клетках жировой ткани количество жира достигает 90%.
К числу важнейших относится строительная функция липидов и липоидов. Липиды образуют бимолекулярный слой, служащий основой наружной клеточной мембраны (см. рис. 18). Из них 75—95% составляют фосфолипиды. В состав клеточной мембраны входит и холестерин.
Важную роль играют липиды как источники энергии. В ходе расщепления 1 г жиров до СО2
и Н2
О освобождается большое количество энергии — 38,9 кДж. Накапливаясь в клетках жировой ткани животных, в семенах и плодах растений, жиры служат запасным источником энергии.
Благодаря плохой теплопроводности жир способен выполнять функцию теплоизоляции. У некоторых животных (тюлени, киты) он откладывается в подкожной жировой ткани, которая у китов образует слой толщиной до 1 м.
Липоиды служат предшественниками некоторых гормонов. Следовательно, этим веществам свойственна и функция регуляции обменных процессов.
Жиры не только источник энергии.
Долгое время жиры считали источником энергии, который можно безущерба для организма заменить углеводами, но оказалось, что это не так. Недостаток жиров сокращает жизнь, нарушает деятельность мозга, снижает выносливость организма. Жиры входят в состав клеток (цитоплазмы, ядра, мембран), где их количество устойчиво и постоянно. С жирами поступают в организм растворенные в них витамины.
В среднем запас жира в организме составляет 9 кг с общей калорийностью 336 000 Дж.
До недавнего времени жиры делили на полноценные (животные) и неполноценные (растительные). Такое деление оказалось ошибочным. Животные и растительные жиры взаимно незаменимы. Растительные жиры активизируют обмен веществ, предупреждают ряд заболеваний. Чаще употребляют в пищу подсолнечное, оливковое, льняное, кукурузное масло. Вещества животных жиров благотворно влияют на деятельность мозга. Ежедневный рацион — 50 г животных и 50 г растительных жиров.
Организм особенно чувствителен к недостатку веществ, содержащихся в растительных жирах. Детям необходимо давать ежедневно от 12 до 20 г растительного масла.
Собственный жир организма образуется из разнообразных растительных и животных жиров, потребляемых с пищей. Жир откладывается в «депо» — под кожей, в сальнике, в области таза. Жировая клетчатка — не только запас энергетического материала, но и амортизатор. Жировые подушки сводов стопы принимают на себя тяжесть тела. В этом легко убедиться: если встать на колени, где почти нет жировой подкожной прокладки, то тяжесть тела даст о себе знать.
УГЛЕВОДЫ или сахариды,— органические веществах общей формулой СП
(Н2О)П1
. У большинства углеводов число атомов водорода в два раза превышает количество атомов кислорода. Поэтому эти вещества и были названы углеводами. В животных клетках углеводов немного — 1—2, иногда до 5% (в клетках печени) Богаты углеводами растительные клетки, где их содержание достигает 90% сухой массы (клубни картофеля).
Углеводы, обширная группа природных органических соединений, химическая структура которых часто отвечает общей формуле Cm(H2O)n(т. е. углерод вода, отсюда название). Различают моно-, олиго- и полисахариды, а также сложные углеводы — гликопротеиды, гликолипиды, гликозиды и др. Углеводы — первичные продукты фотосинтеза и основные исходные продукты биосинтеза других веществ в растениях. Составляют существенную часть пищевого рациона человека и многих животных. Подвергаясь окислительным превращениям, обеспечивают все живые клетки энергией (глюкоза и ее запасные формы — крахмал, гликоген). Входят в состав клеточных оболочек и других структур, участвуют в защитных реакциях организма (иммунитет). Применяются в пищевой (глюкоза, крахмал, пектиновые вещества), текстильной и бумажной (целлюлоза), микробиологической (получение спиртов, кислот и других веществ сбраживанием углеводов) и других отраслях промышленности. Используются в медицине (гепарин, сердечные гликозиды, некоторые антибиотики).
Классификация углеводов
Углеводы подразделяют на простые и сложные Простые углеводы называются моносахаридами. В зависимости от числа атомов углерода в молекуле моносахариды называются триозами (3 атома), тетрозами (4 атома), пентозами (5 атомов) или гексозами (6 атомов углерода).
Из шестиуглеродных моносахаридов — гексоэ — наиболее важны глюкоза, фруктоза и галактоза. Глюкоза содержится в крови (0,1—0,12 %) и служит основным источником энергии для клеток и тканей организма. Пентозы — рибоза и дезоксирибоза — входят в состав нуклеиновых кислот и АТФ. Если в одной молекуле объединяются два моносахарида, то такоесоединение называют дисахаридом. К дисахаридам относится пищевой сахар, получаемый из тростника или сахарной свеклы. Он состоит из одной молекулы глюкозы и одной молекулы фруктозы. Молочный сахар также является димером и включает глюкозу и галактозу.
Сложные углеводы, образованные многими моносахаридами, называются полисахаридами. Мономером таких полисахаридов, как крахмал, гликоген, целлюлоза, является глюкоза.
Углеводы входят в состав клеток всех живых организмов. Наиболее просто устроены молекулы простых углеводов, или моносахаридов, например, глюкозы. В различных условиях она может существовать в линейной или циклической форме.

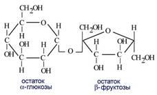
Из молекул моносахаридов образуются сложные углеводы. В состав некоторых из них входит только две молекулы простых углеводов. Такие углеводы получили название дисахаридов. Их примером может служить сахароза, или тростниковый сахар, образующийся в клетках некоторых растений. Она состоит из остатков а-глюкозы и b-фруктозы.

Макромолекулы полисахаридов, состоящие из множества молекул простых углеводов, называются полисахаридами. Одним из них является целлюлоза, входящая в состав клеточных стенок зеленых растений.
Функции углеводов
Углеводы выполняют две основные функции: строительную и энергетическую. Например, целлюлоза образует стенки растительных клеток; сложный полисахарид хитин — главный структурный компонент наружного скелета членистоногих. Строительную функцию хитин
выполняет и у грибов. Углеводы играют роль основного источника энергии в клетке. В процессе окисления 1 г углеводов освобождается 17,6 кДж энергии. Крахмал у растений и гликоген у животных, откладываясь в клетках, служит энергетическим резервом.
ВОДА, Н2О, жидкость без запаха, вкуса, цвета (в толстых слоях голубоватая); плотность 1,000 г/см3 (3,98°С), tпл 0°С, tкип 100°С. Одно из самых распространенных веществ в природе (гидросфера занимает 71% поверхности Земли). Воде принадлежит важнейшая роль в геологической истории планеты. Без воды невозможно существование живых организмов (около 65% человеческого тела составляет вода).
Вода — обязательный компонент практически всех технологических процессов как промышленного, так и сельскохозяйственного производства. Вода особой чистоты необходима в производстве продуктов питания и медицине, новейших отраслях промышленности (производство полупроводников, люминофоров, ядерная техника), в химическом анализе. Стремительный рост потребления воды и возросшие требования к воде определяют важность задач водоочистки, водоподготовки, борьбы с загрязнением и истощением водоемов (см. Охрана природы).
Вода — среда жизненных процессов.
В организме взрослого человека массой 70 кг воды 50 кг, а тело новорожденного состоит на 3
/4
из воды. В крови взрослого 83% воды, в мозгу, сердце, легких, почках, печени, мышцах — 70 — 80 %; в костях — 20 — 30%.
Интересно сравнить такие цифры: сердце содержит 80%, а кровь 83% воды, хотя сердечная мышца твердая, плотная, а кровь — жидкость. Объясняется это способностью некоторых тканей связывать большое количество воды.
Вода жизненно необходима. При голодании человек может потерять весь свой жир, 50% белка, но потеря тканями 10% воды смертельна.
Каждые сутки взрослому человеку требуются 2 л воды. Но для нормальной работы ему требуется впятеро больше. Где берут ткани нашего тела столько воды? Они ее создают сами. Эта внутренняя вода постоянно образуется за счет окисления питательных веществ.
Жажда
Ощущение сухости во рту воспринимается часто как чувство жажды, хотя в организме может и не быть обезвоживания. Это доказано опытами на животных, у которых под влиянием атропина полностью прекращалось выделение слюны. Животные испытывали чувство жажды, однако в их' организме воды было достаточно. Первое ощущение жажды появляется при уменьшении слюноотделения на 15%, сильное чувство жажды — при снижении количества слюны на 20% и мучительное чувство жажды — на 50%. Наблюдались случаи, когда человек, не приученный к нормальному утолению жажды, выпивал 5—6 л воды за 8 часов, в то время как другой только 0,5 л, находясь в тех же условиях.
Обильное потение с последующим обильным введением воды нарушает способность клеток тела удерживать воду. Возникает как бы замкнутый круг — чем больше человек пьет, тем больше потеет, чувство жажды ощущается острее. Нужно приучить себя к правильному потреблению воды. Если чувствуешь жажду, пить надо за полчаса до еды или спустя два часа после приема пищи.
Рекомендуется - утолять жажду, выпивая через 15—20 минут по нескольку глотков воды. Выпитая вода не сразу утоляет жажду, так как всасывается она только спустя 10—15 минут. Лучше утолять жажду минеральной или слегка подсоленной водой. Следует чаще полоскать рот слегка подкисленной ягодными и фруктовыми соками водой и сдерживать себя от частого и обильного потребления воды. Приятно освежает газированная вода.
Интересным был опыт в пустыне Каракумы. Две группы людей совершали поход. Одной группе участников похода дали леденцы, в которые входила лимонная кислота, другой их не давали. Воды получили все поровну. Первой группе хватило воды, а второй пришлось выдать дополнительный паек. Сильную жажду в первой группе люди утоляли с помощью леденцов. Их кислый вкус вызывал отделение слюны, и чувство жажды исчезало.
Ложную жажду легче утолить, просто смочив рот водой, чем выпить целый стакан воды. Особенно не следует принимать много жидкости за обедом, поскольку избыток воды осложняет работу сердца, разжижает желудочный сок.
Опыты над животными показали, что введение большого количества воды за короткое время вызывает свое-
образное «водное отравление». Если собаке в течение часа вводить 100 г воды на 1 кг массы, то она может погибнуть. Признаки водного отравления имели место у рабочих горячих цехов — потеря чувствительности, рвота, судороги, понос.
Соблюдение водного режима — одно из важных условий здоровья.
СОЛИ, продукты замещения атомов водорода кислоты на металл или групп ОН основания на кислотный остаток. При полном замещении образуются средние, или нормальные, соли (NaCl, K2SO4 и др.), при неполном замещении атомов Н — кислые (напр., NaHCO3), неполном замещении групп ОН — основные [напр., (C17H35COO)Al(OH)2].
Различают также двойные соли (напр., KCl.MgCl2) и комплексные. В обычных условиях соли — кристаллы с ионной структурой. Многие соли растворимы в полярных растворителях, особенно в воде; в растворах диссоциируют на катионы и анионы.
Многие минералы — соли, образующие залежи (напр., NaCl, KCl).
Соли в организме
В теле человека до 3 кг минеральных солей, из которых 5
/6 находится в костях. В общем солевом обмене значительный удельный вес занимает поваренная соль. В организме взрослого человека ее около 300 г.
Соль известна человеку с незапамятных времен. Древний философ Диоген писал, что лучшая пища человеку не нравится без соли.
Поваренная соль — необходимая составная часть пищи. Ее среднесуточная норма для взрослого — 15 г. При питании растительной пищей в условиях жаркого климата или в жаркие летние дни — до 20—25 г. За год человек потребляет 5,5 кг соли.
Хронический недостаток соли в организме может привести к головокружениям, обморокам, нарушениям сердечной деятельности, резкому сокращению выделения пищеварительных соков, снижению аппетита, уменьшению количества воды в крови и органах. Ежедневная добавка 3—4 г соли в пищу снимает эти болезненные явления.
Грудной ребенок нормально развивается без добавки соли в пищу. Он получает ее с молоком матери, в литре которого содержится до 0*1 г поваренной соли.
В некоторых странах Африки отдельные народности не знают поваренной соли. Они довольствуются той солью, которая входит в состав пищи. Солить пищу — непозволительная роскошь для многих африканцев. Выражение «он солит пищу» означает в народе «он богат».
Чрезмерное потребление соли вредно для здоровья — нарушается деятельность сердца, почек, возникают отеки ног, развивается общая слабость, повышается кровяное давление. Особенно вреден избыток соли при гипертонии. Это подтверждается экспериментами и медицинской статистикой. Оказывается, японцы большевсего потребляют соли и они же имеют самый высокий уровень кровяного давления.
При болезни почек, повышенном кровяном давлении общее суточное потребление соли с пищей не должно превышать 7 — 8 г.
Огромна роль и других солей. Соли калия, так же как и соли натрия, влияют на содержание воды в тканях. Они поддерживают слабощелочную среду крови. Калий необходим для нормальной возбудимости нервной и мышечной тканей.
Соли кальция — главная составная часть скелета. Они влияют на рост клеток, на процессы свертывания крови, активизируют фагоцитоз. При недостатке солей кальция у детей развивается рахит. Главный источник щелочных солей — фрукты и овощи. Особенно полезны фруктовые соки.
Железо входит в состав гемоглобина, многих ферментов, содержится в ядре клеток. Окислительные и обменные процессы происходят при участии железа. При расходовании железосодержащих веществ освобождается такое количество железа, какое вводится в организм с пищей.
В состав скелета входит значительное количество фосфорнокислого кальция, который придает костям прочность. В среднем в костях 600 г фосфора.
Соединения меди влияют на процессы кровообразования.
Нормальный солевой обмен обеспечивается не только достаточным количеством солей, но и нормальным их соотношением. Организм очень чувствителен к изменению соотношения концентрации солей в крови и тканях. Возрастание концентрации солей создает неблагоприятные условия для жизни клеток. Нервные окончания воспринимают эти изменения в крови и тканевой жидкости через головной мозг. Появляется чувство жажды. Потребление воды снижает избыток солей до нормы. Излишки воды и солей выводятся с потом и мочой.
Минеральные соли
Подавляющая часть неорганических веществ клетки находится в виде солей — либо диссоциированных на ионы, либо в твердом состоянии. Среди первых большое значение имеют катионы К+
, Na+
, Ca+
, которые обеспечивают такое важнейшее свойство живых организмов, как раздражимость. В тканях многоклеточных животных кальций входит в состав межклеточного «цемента>, обусловливающего сцепление клеток между собой и упорядоченное их расположение в тканях. Следует обратить внимание на то, что содержание катионов в клетке и в окружающей клетку среде — регулируемый процесс. Например, в цитоплазме клеток довольно много калия и очень мало натрия. Во внеклеточной среде (в плазме крови, в" межклеточной жидкости, в морской воде) много натрия и мало калия.
От концентрации солей зависят буферные свойства клетки. Буферностью называется способность клетки поддерживать слабощелочную реакцию своего содержимого на постоянном уровне. Внутри клетки буферность обеспечивается главным образом анионами НгРОГи НРО?-. Во внеклеточной жидкости и в крови роль буфера играют НгСОз и НСОзТ Анионы слабых кислот и слабые щелочи связывают ионы водорода и гидроксилионы (ОН"), благодаря чему реакция внутри клетки практически не меняется.
Нерастворимые минеральные соли, например фосфорнокислый кальций, обеспечивают прочность костной ткани позвоночных и раковины моллюсков.
ІІ
Белковый, углеводный, жировой обмен организма человека (поступление веществ, их превращения в пищеварительном тракте и клетках).
ПИТАНИЕ - поступление в организм растений, животных и человека и усвоение ими веществ, необходимых для восполнения энергетических затрат, построения и возобновления тканей. Посредством питания, как составной части обмена веществ, осуществляется связь организма со средой. В зависимости от типа питания все организмы делят на автотрофов и гетеротрофов. Большинству растений свойственно воздушное (фотосинтез) и почвенное (минеральное) питание. Способ питания животных определяется главным образом средой обитания и характером доступной пищи. Недостаточное и избыточное питание приводит к нарушениям обмена веществ.
Питание человека
Энергия химических связей веществ пищи — жиров, углеводов и белков и некоторых других — обеспечивает энергетические потребности организма человека.
Современные представления о питании человека нашли отражение в теории. Пища — фактор, обеспечивающий человека энергией и компонентами, необходимыми для роста и развития организма. Рациональное питание способствует сохранению здоровья, работоспособности, используется в профилактике и лечении различных заболеваний. Вкус пищи, ее аромат, внешний вид могут влиять на настроение человека.
Согласно современной теории сбалансированного питания для обеспечения нормальной жизнедеятельности организма необходимо его снабжение адекватным количеством энергии и пищевых веществ при соблюдении достаточно строгих взаимоотношений (баланса) между незаменимыми факторами питания, каждому из которых в обмене веществ принадлежит специфическая роль. В экстремальных условиях, например при полном голодании, организм человека может существовать определенное время за счет внутренних запасов и структур. Этот процесс получил название эндогенного питания.
Суточные энергозатраты человека и соответствующая им потребность в энергии составляют от 7100 до 21000 кДж (примерно 1700—5000 ккал) и более; они зависят от пола, возраста, характера труда и образа жизни.
В пищевых продуктах выделяют такие пищевые вещества (нутриенты) как белки (протеины), углеводы, жиры (липиды), витамины, минеральные вещества.
Белковый обмен организма
Белки являются важнейшими компонентами пищи животных и человека. Пищевая ценность белков определяется содержанием в них незаменимых аминокислот, которые в самом организме не образуются. В этом отношении растительные белки менее ценны, чем животные: они беднее лизином, метионином и триптофаном, труднее перевариваются в желудочно-кишечном тракте. Отсутствие незаменимых аминокислот в пище приводит к тяжелым нарушениям азотистого обмена. В процессе пищеварения белки расщепляются до свободных аминокислот, которые после всасывания в кишечнике поступают в кровь и разносятся ко всем клеткам. Часть из них распадается до простых соединений с выделением энергии, используемой на разные нужды клеткой, а часть идет на синтез новых белков, свойственных данному организму.
Белки составляют примерно 20% массы человеческого тела и более 50% сухой массы клетки. В тканях человека белки не откладываются «про запас», поэтому необходимо ежедневное их поступление с пищей.
Десять аминокислот из 20 известных не могут синтезироваться в организме человека. Их называют незаменимыми. К их числу относят триптофан, лизин, метионин, лейцин, изолейцин, валин, фенилаланин, треонин, гистидин, аргинин. Последние две аминокислоты являются незаменимыми только у детей, особенно новорожденных.
Белки пищи отличаются друг от друга по своей биологической ценности. Последняя зависит от наличия в них незаменимых аминокислот, их соотношения с заменимыми, перевариваемости в пищеварительном тракте. В среднем биологическая ценность выше у белков животного происхождения. Белки, содержащиеся в молоке, яйцах, мясе, печени, обладают оптимальным соотношением незаменимых аминокислот. Их усвояемость в пищеварительном тракте составляет 97%.
Растительные белки усваиваются гораздо хуже — лишь на 83-85% — из-за значительного содержания балластных (неперевариваемых) веществ в продуктах растительного происхождения. Растительная пища в большинстве своем содержит небольшое количество белка и часто дефицитна по триптофану, лизину, метионину. Лишь в бобовых (горохе, фасоли, сое) содержится высокий процент белка (24-45%). Семена подсолнечника, орехи имеют в своем составе около 20% белка. По аминокислотному составу к животным белкам приближаются белки сои, риса и ржи.
Потребность в белке зависит от возраста, пола, характера трудовой деятельности, климатических и национальных особенностей питания. В нашей стране для взрослых, не выполняющих существенной физической нагрузки, рекомендуемая суточная норма белка составляет чуть меньше 1 г на кг массы тела. За счет белка пищи должно обеспечиваться 1/6 доля в весовом выражении, 10-13% общей энергетической потребности организма; при этом 55% белка рекомендуемой нормы должны быть животного происхождения. Для детей и занятых физическим трудом взрослых норма белка существенно выше. Потребность детей в белке составляет 1,5-4 г/кг массы тела в связи с преобладанием в организме пластических процессов.
Углеводный обмен организма
Углеводы в состав пищевых продуктов входят в виде моносахаридов (фруктоза, глюкоза), олигосахаридов (сахароза, лактоза) и полисахаридов (крахмал, гликоген, клетчатка, пектиновые вещества). Для человека углеводы являются основным источником энергии. При их окислении из 1 г в организме образуется 4 ккал (16,7 кДж).
Средняя потребность в углеводах для людей, не занятых физическим трудом, равна 400-500 г/сут, в весовом выражении — 2/3 от суточного рациона, в калорическом — около 60%. При интенсивной физической нагрузке количество углеводов, необходимых организму, увеличивается.
При питании предпочтение должно отдаваться полисахаридам (крахмал, гликоген, пектин и др.), а не олиго-моносахаридам (сахароза, глюкоза, фруктоза, лактоза и др.). Первые медленнее перевариваются и динамика концентрации конечного продукта переваривания — глюкозы — в жидкостях организма более благоприятна для последующих метаболических процессов. Кроме того, они не обладают сладким вкусом, что значительно снижает опасность их чрезмерного потребления.
В молоке и молочных продуктах содержится дисахарид лактоза. Основным же источником углеводов в питание человека служат растения, в них они составляют 80-90% сухой массы. Растительные продукты очень богаты неперевариваемыми и неусвояемыми полисахаридами, в первую очередь целлюлозой. Грубоволокнистая неперевариваемая пища стимулирует перистальтику кишечника, адсорбирует некоторые катаболиты (в том числе токсические) в толстом кишечнике, способствует выведению холестерина, является одним из источников питания полезных для организма человека бактерий кишечника. Рекомендуемая для взрослого человека суточная доза балластных веществ составляет 25 г/сут.
Жировой обмен организма
Пищевые жиры представляют собой эфиры глицерина и высших жирных кислот. Последние обычно содержат четное число углеродных атомов и делятся на две большие группы: насыщенные и ненасыщенные. Насыщенные жирные кислоты в большом количестве (до 50% от общей массы) содержатся в твердых животных жирах. Ненасыщенные распространены в жидких маслах и продуктах моря. Во многих растительных маслах содержание их доходит до 80-90% (в подсолнечном, кукурузном, льняном, оливковом).
В организме человека в норме содержится 10-20% жира, но при некоторых нарушениях жирового обмена его количество может возрастать до 50%. Жиры и жироподобные вещества входят в состав клеточных мембран и оболочек нервных волокон, участвуют в синтезе желчных кислот, гормонов, витаминов. Жировые отложения — энергетический резерв организма.
Энергетическая ценность жиров более чем вдвое превышает таковую белков и углеводов. При окислении 1 г жиров выделяется 9 ккал (37,3 кДж) энергии. Взрослому здоровому человеку рекомендуется употреблять 80-100 г жира в сутки, что обеспечивает 30-35 % суточной энергетической ценности рациона.
Незаменимые полиненасыщенные жирные кислоты — линолевая и линоленовая — не могут синтезироваться в организме и должны обязательно поступать с пищей. Эти кислоты содержатся в растительных маслах, орехах, жире некоторых рыб и морских млекопитающих. Они и другие высшие ненасыщенные жирные кислоты препятствуют развитию атеросклероза, повышают устойчивость к инфекционным заболеваниям.
Пищевая ценность жира определяется наличием незаменимых жирных кислот, витаминов А, Е, D, перевариваемостью и всасываемостью. Наибольшей биологической ценностью обладают жиры, содержащие незаменимую линолевую кислоту и другие высшие ненасыщенные жирные кислоты. Усвояемость зависит от температуры плавления жира: если точка плавления ниже, чем температура человеческого тела, то усвояемость равна 97-98%, жиры с температурой плавления 50-60 оС усваиваются только на 70-80%.
С пищей в организм человека поступают и такие жироподобные вещества как стерины, фосфолипиды, жирорастворимые витамины. Самым известным из стеринов является холестерин. Он содержится в продуктах животного происхождения, однако может синтезироваться и в организме человека из промежуточных продуктов обмена углеводов и жиров.
Холестерин является источником желчных кислот, гормонов, предшественником витамина D3. В крови, желчи холестерин удерживается в виде коллоидного раствора, благодаря связыванию с белками, ненасыщенными жирными кислотами, фосфатидами. При нарушении обмена этих веществ или их недостатке холестерин выпадает в виде мелких кристаллов, оседающих на стенках кровеносных сосудов, в желчных путях, что способствует развитию атеросклероза, образованию желчных камней.
Водный обмен организма
Кроме белков, жиров, углеводов, витаминов и минеральных веществ организм человека также нуждается в воде, которая составляет около 60% общей массы тела. В сутки человеку требуется в среднем 1,5-2,5 литра жидкости. Большая часть ее поступает в виде напитков, часть — в составе различных пищевых продуктов. Кроме того, вода может синтезироваться в нашем организме за счет окисления жиров, белков, углеводов. Так, при окислении 100 г жира выделяется 107 г эндогенной воды. Без воды невозможен ни один из процессов жизнедеятельности человека.
Таким образом, питание человека должно быть построено так, чтобы оно полностью обеспечивало потребность организма в энергии и веществах, необходимых для его роста и развития. При этом наиболее рациональным признан четырехразовый прием пищи, где по 20-25% суточной потребности удовлетворяется во время первого завтрака и ужина, 10-15% — во время второго завтрака или полдника и 40-45% во время обеда. В идеале пищевой рацион должен подбираться для каждого человека индивидуально в зависимости от особенностей его обмена веществ, возраста, пола, национальности, физической нагрузки, уровня здоровья, климатических условий. Несоблюдение принципов сбалансированного питания может приводить к различным нарушениям обмена веществ (см. Алиментарные заболевания).
ІІІ
Нормы питания.
Что такое аппетит?
Есть с аппетитом — значит, есть охотно, с удовольствием. Слово «аппетит» в переводе слатинского означает «желание»,«стремление».
И. П. Павлов объяснил физиологическую природу аппетита, который выражается в отделении желудочного сока. Проявление аппетита может быть количественно измерено в граммах желудочного сока. Если человек ест пищу с аппетитом, то стенки его желудка напряжены, движения их сильные, сокоотделение обильное.
Вкусная, красиво поданная пища вызывает большой аппетит. При еде нужно ощущать вкус пищи. У французов есть поговорка: «Аппетит приходит во время еды». Торопливая еда не дает вкусовых наслаждений, сока выделяется мало. Поэтому одинаково важно и то, как вы едите, и то, чтб вы едите. Роль вкусовых органов в сокоотделении подтверждается экспериментально. Собак кормили через рассеченный пищевод, исключая вкусовые раздражения. Оказалось, что желудочного сока выделяется в 3 раза меньше и его активность в 4 раза ниже в сравнении с тем, который выделяется при действии пищи на вкусовые органы.
На аппетит влияет состояние всего организма. Переутомление, всевозможные заботы, огорчение, гнев, страх, ссоры, боль угнетают вкусовые центры в мозгу. Возникновение сильного очага возбуждения понижает возбудимость другого. Аппетит поэтому может исчезнуть при получении неприятного известия.
Павлов наблюдал, как появление кошки в лаборатории вызывало агрессивную реакцию фистульной собаки и отделение желудочного сока у нее прекращалось. Объясните, о чем это говорит. Почему прекращалось сокоотделение?
Часто спрашивают, как вода влияет на аппетит. Некоторые считают, что вода разжижает желудочный сок и снижает пищеварение. И. П. Павлов и его сотрудники показали, что вода как бы дает толчок к работе желудка. Она раздражает желудочные железы и повышает аппетит, особенно если вы съели сухую пищу. Полезно выпить стакан воды перед приемом пищи.
У больных, ослабленных людей понижена возбудимость нервных центров, в том числе и пищевого. Появился аппетит — значит болезнь отступает.
В еде знай меру
Сколько раз в сутки нужно есть? Как часто принимать пищу? Наш жизненный опыт и физиологические исследования ученых подсказывают, что нормальное питание — четырехразовое. Ставились опыты. Лучшая усвояемость пищи у здорового человека при четырехразовом питании, худшая — при однократном и шестикратном. Некоторые ученые полагают, что полезно удлинить время отдыха желудка от ужина до завтрака, а утренний чай заменить стаканом фруктового сока.Когда ешь, знай меру, так как переедание вредно. Несомненно вредно «чрезмерное увлечение наслаждением едой, — отмечал И. П. Павлов, — как и всякая крайность в жизни».
Вред переедания подтверждается опытами на животных. Один из учеников И. П. Павлова доказал зависимость работы желудка от объема пищи. Он вводил в желудок собаки резиновые баллончики и раздувал их. Было замечено: если давление очень велико, то сокоотделение задерживается. Отсюда следует: чрезмерное переполнение желудка ухудшает пищеварение, пища не усваивается.
Полнота вредит здоровью. Хотя голод во многих странах мира остался острой социальной проблемой, теперь возникла новая болезнь— переедание. В некоторых областях Советского Союза, например, 10% детей имеют избыточную массу, а располневших выше нормы взрослых 30—50%.
«Болезни сытости» стали соразмерны «болезням голода». Лишняя масса, связанная с разрастанием жировой ткани, приводит к нарушению здоровья: создается излишняя нагрузка на сердце, ограничиваются движения грудной клетки, ухудшается работа легких. Толстяки страдают от одышки, учащенного сердцебиения, быстро устают, плохо спят. Доказано, что ожирение приводит ко многим другие болезням. Избыточная масса наряду с курением, злоупотреблением спиртным и недостаточной физической нагрузкой является причиной многих болезней, преждевременной старости и смерти. Ужасна смерть от голода, но нелепа смерть от сытости.
С глубокой древности люди мечтали о сытной пище. Она — показатель благополучия жизни человека. Но и теперь, когда материальные условия жизни многих миллионов людей улучшились, все еще бытует прежний идеал: чем больше, слаще и жирнее питаться, тем лучше. Нередко люди не могут наладить рациональное сбалансированное питание, при котором потребление пищи соответствует расходуемой энергии.
Избыток пищи — вот главная причина лишней массы, возникновения ожирения. Совсем не состоятельны суждения о наследственной предрасположенности к полноте, а убеждение «толстый— значит, здоровый» просто вредит здоровью.
Важно с детства привыкнуть к нормальному чередованию чувства голода и сытости. Чрезмерная и беспорядочная еда расстраивает деятельность мозговых центров аппетита и насыщения. Отсюда развивается и неудержимое желание есть, когда человек уже сыт, либо привычка постоянно жевать, испытывая вечный голод. Известно, что у тучных людей ежедневное потребление пищи превышает норму по калорийности в 2—3 раза. Совет может быть простой: чтобы избежать «болезни сытости», надо есть в пределах затрат энергии.
Какая пища полезна
Свежие и разнообразные продукты — одно из непременных условий сохранения нашего здоровья. Сочетание белковой и углеводной пищи создает наиболее длительное чувство насыщения. Обжаренная пища дольше задерживается в желудке и осложняет работу больного желудка.
Углеводы способствуют усвоению жиров и окислению их в организме. Однако избыток углеводов и белков вреден — он вызывает накопление в крови ненужных для организма веществ.
Увлечение специями, острыми приправами и жареными кушаньями вредно. Они сильно раздражают стенки желудка.
Полезна ли сладкая пища? И здесь может быть только один ответ — в умеренных количествах. Сахар угнетает отделение желудочного сока. Но сладкие блюда вызывают приятные вкусовые ощущения.
Яркую характеристику сладкого дал И. П. Павлов в следующих словах: «Обед обыкновенно заканчивается чем-нибудь сладким, и всякий по опыту знает, что это доставляет известное удовольствие. Еда, начатая с удовольствием вследствие потребности в еде, должна и закончиться им же, несмотря на удовлетворение потребности, причем объектом этого удовольствия является вещество, почти не требующее на себя пищеварительной работы, но, так сказать, балующее вкусовой аппарат, — сахар». Особенно полезны мед, изюм, финики, а также свежие фрукты, соки. Бесспорно утверждение о вреде избыточного потребления сахара, конфет и других сладостей.
Мясо — ценная белковая пища
Ещена заре развития человеческого общества добыча мясной пищи и ее употребление оказали огромное влияние на становление человека.
Постепенный переход от употребления исключительно растительной пищи к употреблению наряду с ней мясной явился важным шагом в истории человечества. В мясной пище содержатся вещества, которые необходимы головному мозгу для его роста и развития. Это было одним из условий его совершенствования.
Вопрос о мясе и гигиенический и социальный. В царской России пахарь-кормилец только в «мясоеды», в период между постами, мог позволить себе мясные щи. Еще и теперь буржуазные ученые ставят вопрос о снижении норм потребления мяса в некоторых странах Азии.
Потребление мяса в настоящее время зависит главным образом от уровня развития животноводства. Мясо — главный источник белков. Так же как и белки рыбы, молока, яиц, они усваиваются почти полностью.
Белки особенно необходимы растущему организму. В последнее время в странах Центральной Африки описана болезнь детей, вызванная белковым голоданием кормящих матерей, которые годами не видят мяса и питаются исключительно растительной пищей.
Молочные продукты разнообразны. Они обладают высокими вкусовыми качествами, калорийны, богаты витаминами, жирами, белками, минеральными солями.
Белки мяса очень ценны, они восполняют потери белков организма пи умственной и физической работе. В мясе много витаминов.
Польза мяса возрастает, если его сочетать с другими продуктами – хлебом, крупами, овощами. Лучше усваивается мясо, съеденное за завтраком и обедом.
Пища, приготовленная природой
Молоко— идеальный продукт питания. Павлов писал, что среди других видов человеческой еды особое место отведено молоку. Это «пища, приготовленная самой природой». Она входит в рацион всех цивилизованных народов с древнейших времен.
Археологи находят в древних поселениях скифов и сарматов на Украинепосуду для хранения и обработки молока. Установлено, что люди около 5000 лет назад научились использовать молоко.
Молоко долго оставалось только лакомством и даже лекарством. Особенно полезно молоко коз и овец.
Из чего состоит молоко? В нем 87% воды, 4% легкоусвояемого жира, 3% белков, 4,7% молочного сахара. Из сыворотки молока можно выпариванием выделить кристаллы молочного сахара. Богато молоко и минеральными солями. В нем есть соли Fe, Al, Mg, Na, Р. Летом особенно много витаминов А, С, D, группы В. А всего в молоке 20 витаминов, десятки ферментов. В общей сложности молоко содержит свыше 200 полезных для человека веществ.
Молоко считается самой легкой пищей. Для усвоения молока необходимо самое небольшое количество пищеварительных соков слабого состава.
Молоко полезно в любом возрасте, оно помогает усваивать менее ценные белки хлеба, каши.
Белки молока полнее перевариваются, оставляя в организме меньше вредных продуктов распада, чем белки мяса.
Свеженадоенное молоко задерживает размножение бактерий. Со временем оно теряет это свойство. Спустя 2 часа после дойки в 1 см3
молока 18 600 микробов, а через 6 часов их в 20 раз больше. В молоке быстро размножаются бактерии. На этом основано получение простокваши, кефира, ацидофилина. Эти продукты богаты полезными для организма микробами. При болезненных явлениях, когда деятельность гнилостных бактерий в кишечнике повышена, полезно применять, как советовал И. И. Мечников, кислое молоко.
С давних времен в Индии существует поговорка: «Пей кислое молоко — и проживешь долго».
Современная молочная промышленность выпускает много молочнокислых продуктов. Молоко подвергается всевозможной обработке. Есть молоко сгущенное, сухое; создаются ценные питательные смеси на молоке; вырабатывается сухое кислое молоко, которое используется при лечении дизентерии, приготовляют и витаминизированное молоко. Особенно ценно стерилизованное молоко, сохраняющее качества натурального сырого молока. Усовершенствованный способ стерилизации молока основан на мгновенном его нагревании до 150°С и моментальном охлаждении.
Советский Союз занимает первое место в мире по производству молока.
Чем вредны посты для здоровья
Ограничение приема пищи и воздержание от нее поощряется служителями церковного культа как важное, доброе дело, угодное богу. Соблюдение постов— древний обычай, распространенный среди приверженцев многих религий.
Православной религией предусмотрено 200 постных дней в году, когда верующий принимает только растительную пищу. Великий пост перед пасхой длится 40 дней. У магометан основным постом является рамадет (или рамазан), который длится 30 дней.
Какой же вред приносят посты? Убедительно ответить на этот вопрос позволяют научные данные. И. П. Павлов экспериментально доказал, что при достаточной продолжительности определенного режима питания вырабатывается определенный характер работы желез и быстро его изменить нельзя. «Вот почему при резких переходах с одной еды на другую, — писал И. П. Павлов, — в особенности с менее обильной на более обильную, как, например, в случае перехода к так называемой скоромной еде после продолжительных русских постов, так часто встречаются пищеварительные расстройства, как знак временной неприспособленности желез к новой пищевой задаче».
Резкое снижение количества животного белка в пище отрицательно влияет на работу мозга, ослабляет защитные свойства организма. От недостатка белков человек худеет, появляется слабость, у больных обостряется туберкулезный процесс, язвы желудка, возникают и другие, серьезные осложнения.
Питание спортсменов
Вы занимаетесь спортом и хотите рационально тренироваться и добиваться рекордов. Правильно организованное питание для этого совершенно необходимо. Оно должно покрывать расход энергии вдни тренировок и соревнований. Достаточно ли только соблюдать это правило? Сами решите, какой рацион себе составить на завтрак перед соревнованием: жареный картофель, утка, отварное мясо, шпроты, сыр, молочная каша, масло. Лучше выбрать легкоусвояемое, не перегружающее желудок блюдо. Учтите также: большой расход энергии спортсмену нужно быстро восстановить. Особенно возрастает потребность в белке, витаминах, минеральных веществах. Почти вдвое расходуется белок за счет «износа мышечной ткани».
Надо учитывать и свои индивидуальные вкусы, но подчинять их основному— подготовке организма к максимальным спортивным достижениям.
Не надо увлекаться одними и теми же продуктами. Некоторые, например, увлекаются потреблением яиц, пьют много молока. Перегрузка организма определенными веществами создает вредную нагрузку на почки и печень. Спортсмену излишне отягощать себя клетчаткой. Ее много в овощах, картофеле, черном хлебе. Потреблять их в дни спортивных нагрузок следует меньше.
Так из каких же продуктов спортсмен должен составить себе рацион? В него надо включить молочные, мясные продукты, овсяную кашу и немного овощей и фруктов. Перед забегом или заплывом на длинные дистанции надо обеспечить себя полноценными жирами, одна треть которых должна быть растительным маслом. Часто молодые люди недооценивают его. А ведь оно содержит незаменимые вещества — их нет в твердых жирах животного происхождения.
Режим питания согласуйте с режимом тренировок. Всегда между приемом пищи и занятиями спортом соблюдайте двух-, трехчасовые перерывы. За это время переварится основная масса пищи в желудке.
Не сразу ешьте после тренировок. Прежде отдохните полчаса.
Длительные, изнуряющие нагрузки — марафонский бег, лыжные гонки, велогонки — требуют пополнения энергии на дистанции. Для этого спортсмен подкрепляется в пути сахаросодержащей пищей с витаминами.
Правильное питание поможет совершенствовать ваше спортивное мастерство.
ІV
Витамины, их роль в обмене веществ. Основные авитаминозы.
Витамины
Витамины низкомолекулярные органические соединения различной химической природы, необходимые в небольших количествах для нормальной жизнедеятельности организма. Одна из основных функций витаминов заключается в том, что они являются составной частью коферментов и необходимы для важнейших ферментативных реакций.
Все животные и растения нуждаются почти во всех известных витаминах, и поэтому растения, а также некоторые животные обладают способностью синтезировать те или иные витамины. Однако человек и ряд животных, по-видимому, в процессе эволюции утратили эту способность. Источником витаминов для человека являются пищевые продукты растительного и животного происхождения. Они поступают в организм либо в готовом виде, либо в форме провитаминов, из которых затем ферментативным путем образуются витамины. Некоторые витамины у человека синтезируются микробной флорой кишечника.

Классификация витаминов
В настоящее время все витамины делят на 2 группы: водорастворимые и жирорастворимые. К витаминам, растворимым в воде, относятся: витамины группы В — В1(тиамин, аневрин), В2(рибофлавин), РР (никотиновая кислота, никотинамид, ниацин), В6(пиридоксин, пиридоксаль, пиридоксамин), В12(цианкобаламин); фолиевая кислота(фолацин, птероиглютаминовая кислота); пантотеновая кислота; биотин(витамин Н); С (аскорбиновая кислота). К витаминам, растворимым в жирах, относятся: витамин А (ретинол, аксерофтол) и каротины; D (кальциферолы); Е (токоферолы); К (филлохиноны).
Источники витамина РР
Так как незаменимые жирные кислоты по своим свойствам сходны с витаминами, их относят иногда к жирорастворимым витаминам (витамин F). К витаминам также относят холин и инозит, поскольку они также являются незаменимыми компонентами пищи. Однако, так как они не участвуют в обменных реакциях, а участвуют в построении структур клетки, их еще называют витаминоидами. Последнее время к витаминоидам относят противоязвенный фактор(витамин U), пангамовую кислоту (витамин В15), а также липоевую, оротовую, парааминобензойную кислоты и карнитин.
Обмен веществ (метаболизм) совокупность всех химических изменений и всех видов превращений веществ и энергии в организмах, обеспечивающих развитие, жизнедеятельность и самовоспроизведение организмов, их связь с окружающей средой и адаптацию к изменениям внешних условий. Основу обмена веществ составляют взаимосвязанные процессы анаболизма и катаболизма, направленные на непрерывное обновление живого материала и обеспечение его необходимой энергией. Анаболические и катаболические процессы осуществляются путем последовательных химических реакций с участием ферментов. Для каждого вида организмов характерен особый, генетически закрепленный тип обмена веществ, зависящий от условий его существования. Интенсивность и направленность обмена веществ в клетке обеспечивается путем сложной регуляции синтеза и активности ферментов, а также в результате изменения проницаемости биологических мембран. В организме человека и животных имеет место гормональная регуляция обмена веществ, координируемая центральной нервной системой. Любое заболевание сопровождается нарушениями обмена веществ; генетически обусловленные нарушения обмена веществ служат причиной многих наследственных болезней.

Полисахарид крахмал, содержащийся в злаках, картофеле и других продуктах, расщепляется ферментами пищеварительного тракта до мономеров - глюкозы.

Расщепление жиров на глицерин и жирные кислоты осуществляется ферментами - липазами. Белки вначале расщепляются до олигопептидов, а затем до аминокислот.
Роль витаминов в обмене веществ
Длякаждой новой клетки необходимы витамины. Они входят в состав многих ферментов и влияют на превращения питательных веществ в клетках и тканях. Они принимают участие в сложных цепях химических превращений. Недостаток витаминов или отсутствие их в организме вызывает нарушение обмена веществ, а поэтому развиваются различные заболевания.
Каждый витамин выполняет свою определенную функцию в организме. Витамин А — составная часть светочувствительного вещества в сетчатке глаза. Он необходим и для роста клеток.
Разнообразны витамины, выпускаемые фармацевтической промышленностью.
Для нормального распада углеводов в тканях необходим витамин В1. Онпринимает участие в превращениях сложных углеводов в более простые. А поскольку в них особенно нуждаются мозг и сердце, то недостаток витамина, прежде всего сказывается на их работе.
Витамин В6
принимает участие в белковом обмене, витамин D влияет на отложение солей Са и Р в растущей кости. Витамины Въ
В2
, В6
, РР необходимы для дыхания клеток. Витамин С влияет на ход окислительных реакций в живом организме.
Витамины A, D, Е, В6
помогают усвоению пищи и превращению веществ. Витамин В12
обеспечивает нормальное развитие эритроцитов, а витамин К влияет на свертывание крови.
Витамины против инфекций
Витамин С повышает сопротивляемость организма инфекционным заболеваниям. Убеждают в этом следующие опыты. Разным группам морских свинок в течение месяца давали" разные дозы витамина С. Через месяц их заражали дифтерией. Оказалось, что быстро заболевали и слабо боролись с инфекцией те свинки, которые получали мало витамина С. Получавшие большие дозы быстро справлялись с болезнью. При повторном заражении через полгода они не заболели — у них был иммунитет. Некоторые врачи рекомендуют потреблять большие дозы витамина С в целях профилактики и лечения простудных заболеваний.
Нормы потребления витаминов
Суточная норма витаминов для человека от 0,1 до 0,15 г. Это крупинка величиной с просяное зерно.
Потребность организма в разных витаминах различна. Например, суточная норма витамина С —50 мг, aD —для ребенка 0,01—0,02 мг, для взрослого и того меньше — 0,003 мг. Для большей части витаминов потребление каждого из них в сутки 2—3 мг вполне достаточно.
Фрукты, ценнейшие и незаменимые по вкусовым качествам продукты, содержат различные витамины.
Избыток витаминов, которые применяют в виде аптечных препаратов, может быть вреден. Например, чрезмерное потребление витамина А вызывает поражение печени, судороги, неровное дыхание, способствует отложению солей в суставах. Особенно вредно превышение нормы потребления витамина D, избыток которого в организме может вызвать отравление.
Большие дозы витамина К вызывают отравление и могут привести к чрезмерной свертываемости крови. Избыток витамина РР может вызвать зуд кожи. Избыток витамина С и витаминов группы В вреда не причиняет, их излишки выводятся из организма через органы выделения.
Витамины в продуктах
Ученые исследовали множество пищевых продуктов, отыскивая в них витамины. Обнаружено много витаминов в свежей зелени овощей, помидорах, черной смородине, землянике, крыжовнике.
Высушенные плоды шиповника в 30 раз богаче витамином С, чем плоды апельсина. В плодах рябины витаминов А и С больше, чем в лимонах. В жире тресковой печени много витаминов А и D, а витамина С — в красном перце, капусте, шпинате, щавеле, красной моркови, помидорах. Богат ими картофель, особенно осенью.
Свежие и особенно сырые овощи богаты витаминами.
Мало витаминов в сливах, огурцах, чернике, белой смородине, грушах, винограде. Бедна витаминами клюква, особенно мороженая. Но нельзя говорить, что эти продукты малоценны. Все овощи и ягоды богаты кислотами и солями и благотворно влияют на органы пищеварения.
Как сохранить витамины
Витамины широко распространены в природе, но они очень нестойки. Витамины Blt
B2
, С растворяются в воде, окисляются на воздухе и быстро разрушаются при нагревании. Кипятить овощи долго не следует, при варке лучше заливать их кипятком и закрывать крышкой. Отвар из овощей богат витаминами С и В1, его можно добавлять в суп.
Витамин С разрушается при соприкосновении с медью и железом.
Витамины А, К, D не растворяются в воде и не разрушаются при нагревании. Витамин К разрушается от солнечного света, а витамин D, наоборот, лучше образуется в коже человека под действием ультрафиолетовых лучей.
В овощах и фруктах после долгого хранения витаминов практически нет, они разрушаются.
Стране нужны тонны витаминов
Немногим больше сорока лет назад началось промышленное приготовление витаминов в нашей стране. Их ежегодная продукция теперь составляет тонны. Витамин С получают из плодов шиповника, облепихи. Из моркови и тыквы — витамин А. Печень кита, акулы, трески — сырье для получения витаминов А и D.Витамины получают из продуктов перегонки каменного угля.
Расширилось использование витаминов. Их стали применять в животноводстве. Добавка витаминов в корм увеличивает длину шерсти у овец, значительно повышает яйценоскость кур.
Роль минеральных веществ в питании человека
В зависимости от количества минеральных веществ в организме человека и в пищевых продуктах их подразделяют на макро- и микроэлементы. К первым относятся кальций, калий, магний, натрий, фосфор, хлор, сера. Их содержание в 100 г ткани измеряется десятками и сотнями миллиграммов. Концентрация в тканях микроэлементов выражается десятыми, сотыми и даже тысячными долями миллиграмма. К ним относятся железо, кобальт, цинк, фтор, йод и др.
Функции минеральных веществ в организме человека чрезвычайно разнообразны. Они обеспечивают постоянство осмотического давления, входят в состав сложных органических соединений (гемоглобина, гормонов, ферментов), служат материалом для образования костной и зубной ткани.
Магний
Магний необходим для нормального протекания биосинтеза белков и обмена углеводов в организме. Он обладает успокаивающим, сосудорасширяющим, желчегонным и мочегонным действием, повышает двигательную активность кишечника. Суточная потребность взрослого человека в магнии составляет 350-500 мг. Она возрастает при беременности и кормлении грудью. Недостаточность магния приводит к задержке роста, нарушению усвоения пищи, апатии, депрессии, мышечной слабости, судорожным состояниям. Длительный дефицит вызывает усиленное отложение солей кальция в стенках артериальных сосудов, сердце, почках. По данным ряда исследователей, недостаток магния является одной из причин повышенной частоты сердечно-сосудистых заболеваний в географических районах с мягкой водой. Магниевую диету назначают больным с гипертонической болезнью. Магнием богаты продукты растительного происхождения, особенно пшеничные отруби, крупы, соевая мука, грецкие орехи, бобовые, курага, белокочанная капуста и др.
Калий
Калий совместно с натрием и хлором принимает участие в поддержании осмотического равновесия в организме, обеспечивает процессы возбуждения и торможения в нервной системе, сокращения мышц, в том числе и сердечной мышцы. Калий способствует выведению из организма натрия и воды, что важно при устранении отеков. Суточная потребность взрослого человека в нем составляет 2-4 г. Калиевая диета включает продукты богатые калием с низким содержанием натрия (в соотношении примерно 10:1). Она применяется в медицинских учреждениях при гипертонической болезни, нарушении кровообращения. Больше всего калия в сушеных абрикосах, изюме, апельсинах, мандаринах, картофеле, грецких и лесных орехах, морской капусте, бобовых.
Кальций
Наряду с фосфором кальций является основным минеральным компонентом костей и зубов. В них сосредоточено до 99% всего кальция организма. Кроме этого он участвует в процессах свертываемости крови, поддержании осмотического равновесия внутренней среды организма, нормальной проницаемости стенок сосудов, возбудимости нервной системы и сердечной мышцы, он необходим для нормальной сократимости мышц, активации ряда ферментов и гормонов. Снижение уровня кальция ведет к нарушению минерализации костей, снижению мышечного тонуса, судорогам. Гиперкальциемия вызывает нарушение сердечной деятельности, отложение этого минерала в стенках сосудов, канальцах почек и в других внутренних органах, что ведет к необратимым расстройствам их функций.
Рацион взрослого здорового человека должен содержать 0,8-1 г кальция. Потребность в нем возрастает при беременности, кормлении грудью, лечении переломов. Высоким содержанием кальция отличается молоко, творог, сыры, зеленый лук, петрушка, фасоль, соя, урюк и курага, яблоки, яичный желток.
Кальций относится к трудно усвояемым элементам. Его всасывание возможно только при воздействии желчных кислот. Так как при избытке жиров возникает конкуренция за эти кислоты, жирная пища нарушает процесс усвоения этого макроэлемента организмом. Всасываемость кальция затрудняется также некоторыми кислотами, содержащимися в отрубях, ржаном хлебе, щавеле, какао, а также пищей, богатой магнием.
Натрий
Натрий поставляется в организм человека в основном с поваренной солью. По официальным данным суточная его норма составляет 4-6 г (примерно 10-15 г соли), но существует и мнение, что эти нормативы сильно завышены и требуют пересмотра. Потребность в натрии возрастает при обильном потоотделении, перегревании, частых рвотах и поносах. Натрий играет основную роль в поддержании постоянства осмотического давления и объема жидкости в организме. Он обеспечивает более чем на 30% щелочные резервы плазмы крови, принимает участие в образовании желудочного сока, активирует ряд ферментов слюнных желез и поджелудочной железы, регулирует выделение почками продуктов обмена веществ, участвует в транспорте аминокислот, сахаров и калия в клетки.
При избыточном потреблении натрия может наблюдаться задержка воды в организме, что осложняет деятельность сердца и у людей, предрасположенных к сердечно-сосудистым заболеваниям, способствует повышению артериального давления. Диету с пониженным содержанием соли рекомендуют людям с гипертонией, сердечной недостаточностью, заболеваниями почек.
Хлор
С поваренной солью в организм человека поступает и хлор. Суточная потребность в нем составляет примерно 5 г. Физиологическое значение этого элемента связано с его участием в регуляции водно-солевого обмена и осмотического давления в тканях и клетках. Хлор входит в состав соляной кислоты желудочного сока.
Фосфор
Подавляющая часть фосфора организма (до 80%) сосредоточена в костной ткани. Фосфолипиды служат основным структурным компонентом клеточных мембран. Фосфаты и их органические соединения принимают участие в процессах хранения и использования генетического материала, энергетическом обеспечении всех процессов жизнедеятельности. Суточная потребность в фосфоре для взрослого человека колеблется от 1000-1500 мг. Наиболее богаты этим компонентом молоко, творог, сыры, яичный желток, многие крупы (особенно рис), говядина и говяжья печень, почки.
Недостаток фосфора, связанный с нехваткой его в пище, практически не встречается. Но если дефицит возник, то у человека наблюдается размягчение костей, снижение умственной и физической работоспособности. Если уровень фосфора в пище превышает уровень кальция более, чем в два раза, то это способствует вымыванию кальция из костей и отложению его на стенках кровеносных сосудов, что приводит к их ломкости, а также в тканях почек. Избыточное потребление фосфора особенно опасно для детей первых месяцев жизни (обычно это случается при вскармливании младенцев коровьим молоком). Их почки не справляются с выведением фосфора и кальция, что может привести к образованию в них камней.
Сера
Сера — непременная составная часть некоторых аминокислот. Суточный рацион человека должен содержать 4-5 г серы. Для этого питание должно включать мясо, куриные яйца, овсяную и гречневую крупы, хлеб, молоко, сыры, бобовые и капусту.
Железо
Железо необходимо для процессов кроветворения. Около 55% его в организме входит в состав гемоглобина эритроцитов, примерно 24% — в состав миоглобина мышц, а 21% хранится про запас в печени и селезенке. Именно наличие железа обуславливает красный цвет крови и мышц. Железо входит также в состав некоторых белков, принимающих участие в переносе электронов по дыхательной цепи и в окислительно-восстановительных реакциях. При его недостатке развивается малокровие. Суточная потребность человека в железе составляет около 10 мг для мужчин и 18 мг для женщин. Богаты железом печень и почки, белые грибы, персики, абрикосы, яблоки, рожь, фасоль, горох, куриные яйца. Практически полностью в кишечнике человека всасывается железо, входящее в состав гемоглобина крови, миоглобина мышц мясной и рыбной пищи. Гораздо хуже усваивается железо из растительной пищи и куриных яиц. При смешанном пищевом рационе усвоение этого минерального вещества обычно не превышает 20%. Для усвоения железа необходимы витамины В12 и С.
Йод
Йод в довольно большом количестве содержится в морской капусте, кальмарах, креветках, морской рыбе. Есть он также в хлебобулочных изделиях, молочных продуктах. Суточная потребность в йоде для взрослого здорового человека составляет 0,1-0,2 мг.
Есть места, где содержание йода заметно снижено в почве, воде, местных пищевых продуктах. Это вызывает развитие эндемического зоба, характеризующееся нарушением синтеза гормонов щитовидной железы, что сопровождается вялостью, сонливостью, апатией, нарушением обмена веществ. Для профилактики этого заболевания в питании населения этих мест используется иодированная поваренная соль.
При значительном дефиците в рационе йода, меди, кобальта и марганца нарушается обмен витамина С, снижается количество эритроцитов крови.
Кобальт
При недостатке кобальта снижается аппетит, развивается малокровие и некоторые нарушения со стороны центральной нервной системы. Достоинством кобальта считается его способность угнетать дыхание клеток злокачественных опухолей, усиливать противомикробные свойства пенициллина. Больше всего кобальта содержит говядина, говяжья печень, виноград, редис, салат, огурец, репчатый лук. В сутки человек должен съедать 0,1-0,2 мг кобальта.
Медь
В настоящее время известно около 25 белков, в состав которых входит медь. Они необходимы для регулирования процессов снабжения клеток кислородом, образования гемоглобина и созревания эритроцитов, синтеза белков соединительной ткани. Медь способствует транспорту железа в костный мозг, повышению активности инсулина, более полной утилизации организмом белков и углеводов. Для этого необходимо ежедневное поступление с пищей 2-3 мг меди. Для этого необходимо употреблять в пищу горох и другие зеленые овощи, хлебобулочные изделия, рыбу, мясо и печень скота. Особенно много меди в печени. 1 литр питьевой воды содержит примерно 1 мг меди.
Никель
Никель участвует в процессах кроветворения, обмене жиров, обеспечении клеток кислородом. Он содержится в частности в мясе, овощах, рыбе, молоке.
Цинк
Цинк входит в состав ферментов, обеспечивающих течение окислительно-восстановительных реакций. При длительном недостатке цинка в пище замедляется рост, снижается функция половых желез и гипофиза, снижается иммунитет, замедляется заживление ран. Суточная потребность в цинке составляет 10-15 мг. Больше всего его в мясе птицы и скота, говяжьей печени, фасоли, горохе, кукурузе.
Марганец
Марганец необходим человеку для нормального роста, поддержания репродуктивной функции, образования соединительной ткани. Он участвует в регуляции углеводного и липидного обмена. Недостаточность марганца проявляется в виде снижения массы тела, понижения уровня холестерина в крови, сопровождается тошнотой и рвотой. Физиологическая потребность в марганце плохо изучена. Предположительная суточная потребность людей в нем составляет 2-5 мг. Чрезвычайно богаты марганцем кофе и чай. Много его в злаках, бобовых, орехах. Очистка злаковых приводит к прогрессирующему снижению содержания в них этого микроэлемента.
Хром
Хром в пищевых продуктах присутствует в виде неорганических солей, которые практически не усваиваются организмом, и комплексов с органическими соединениями, адсорбция которых в кишечнике идет значительно более интенсивно. Комплексы хрома с органическими соединениями иногда называют «фактором толерантности к глюкозе», так как он влияет на усвояемость организмом глюкозы и ее уровень в крови. Введение хрома пациентам способствует понижению уровня холестерина в крови. Предполагают, что в сутки в зависимости от его химической природы человек должен получать 50-200 мкг хрома. Наиболее высоким содержанием хорошо усвояемого хрома отличаются пекарские дрожжи, печень, пшеничная мука грубого помола.
Фтор
Фтор принимает участие в образовании костей и зубов. Суточная потребность в нем не установлена. Основным источником фтора является питьевая вода, содержащая обычно около 1 мг этого элемента на 1 л. Богата фтором рыба (особенно треска и сом), орехи и печень. В местности, где содержание фтора в питьевой воде ниже 0,5 мг/л, ее специально фторируют для профилактики кариеса зубов. Избыточное поступление в организм фтора вызывает развитие флюороза, которое проявляется крапчатостью зубной эмали.
Авитаминозы и гиповитаминозы
Заболевания, возникающие в результате отсутствия витаминов в организме, получили название авитаминозов. Авитаминозы — тяжелые заболевания, которые в отсутствие лечения могут привести к смертельному исходу. Каждый авитаминоз может быть предупрежден или излечен только приемами соответствующего витамина. Заболевания, возникающие от недостаточного поступления в организм определенных витаминов, получили название гиповитаминозов. Гиповитаминозы распознаются труднее, чем авитаминозы, т. к. характер заболевания имеет менее выраженную, стертую картину. Гиповитаминозы понижают работоспособность и предрасполагают к инфекционным заболеваниям. Гиповитаминозы широко распространены в периоды, связанные с ограниченным питанием (стихийные бедствия, войны, неурожаи). Они часто проявляются в весенние периоды, когда ограничено потребление растительной пищи, основного источника многих витаминов. Некоторые витамины разрушаются при длительной термической обработке и консервировании пищевых продуктов, что ведет к существенному снижению их витаминной ценности. Гиповитаминозы могут возникать вследствие острых или хронических расстройств желудочно-кишечного тракта, приводящих к снижению всасывания витаминов в кишечнике. И, наконец, гиповитаминозы могут возникать при определенных состояниях человека, связанных с повышенной потребностью организма в витаминах. Это — периоды активного роста, беременность, большие физические нагрузки, серьезные инфекционные заболевания и пр.
У ряда витаминов существуют антагонисты, препятствующие их всасыванию и обмену — антивитамины. Они обнаружены в ряде пищевых продуктов. Так, в яичном белке содержится авидин — вещество, связывающее витамин Н, а во многих сортах сырой рыбы есть фермент тиаминаза, разрушающий витамин В1. Иногда в лечебных целях используют искусственные антивитамины. Так, производные кумарина (антивитамин К) препятствуют свертыванию крови.
Необходимые дозы витаминов
Большинство витаминов быстро разрушается в организме, и поэтому необходимо постоянное их поступление извне. Количество витаминов, ежедневный прием которых необходим для нормального развития организма и предупреждения гипо- и авитаминозов, называется профилактической дозой. Большее количество витамина необходимо для лечения уже развившегося авитаминоза. Это количество называется лечебной дозой.
Некоторые люди, предполагая, что витамины «не повредят», принимают их в чрезмерных количествах. Состояния, при которых наблюдаются передозировки витаминов, называются гипервитаминозами. В своем большинстве витамины быстро выводятся из организма, но такие витамины, как А, В1, D, РР, удерживаются в организме более длительное время. Поэтому использование высоких доз витаминов может привести к передозировке — вызвать головные боли, нарушения пищеварения, изменения кожи, слизистых, костей и т. д. Однако токсические дозы, ведущие к передозировке, для этих витаминов во много раз превышают обычную для них суточную потребность.
Для полноценной работы мозга и нервной системы в целом необходимо правильное питание при достаточном поступлении в организм витаминов, в частности витамина РР.
Содержание витаминов и питательных веществ в пищевых продуктах.


Заключение
В организме человека главным фактором, определяющим нормальный обмен веществ, является соотношение между поступлением пищи и расходом энергии. Обмен веществ (по теории сбалансированного питания) определяется уровнем аминокислот, моносахаридов (простых углеводов), жирных кислот, витаминов и минеральных солей. Согласно теории адекватного питания, оно должно быть адекватным как характеру обмена веществ, так и особенностям переработки пищи в желудочно-кишечном тракте. Недостаточное питание с отсутствием или минимумом в пище витаминов и микроэлементов быстро приводит к нарушению всех видов обмена: белкового, жирового, углеводного и водно-солевого, и как результат, к развитию авитаминозов и гиповитаминозов, к дистрофии. Систематическое переедание также чревато развитием патологического состояния - ожирения и требует применения определенных методов лечения и коррекции, очищения организма.
К полноте каждый приходит своим путем, поэтому средства ее преодоления должны быть, по возможности, индивидуальными.
Мозг, сердце, почки, печень и другие органы работают 24 часа в сутки без выходных. Постоянно обновляются и клетки мышц. Все эти процессы требуют энергии в виде калорий, просто для того чтобы поддерживать нашу жизнь. Поэтому, если мы слышим, что какие-либо таблетки улучшают обмен веществ, это означает, что они заставляют наш организм сжигать больше калорий без дополнительных усилий с нашей стороны.
Список литературы
1. И.Д. Зверев, Книга для чтения по анатомии, физиологии и гигиены человека. Пособие для учащихся, М – Просвещение 1978.
2. С.Г. Мамонтов, Биология для школьников старших классов и поступающих в ВУЗы, М – 1997.
3. А.А. Швырев, Анатомия человека для студентов ВУЗов и среднего профессионального образования, Ростов н/Д – 2005.
4. Электронная версия энциклопедии «Кирилл и Мефодий».
|