.
Николай Васильевич Косинов
Введение.
В настоящее время точность физических констант, относящихся к электрону, уже достигла 10-9
- 10-12
[14]. Однако большинство данных, относящихся к Метагалактике, имеют неопределенность от одного до двух порядков величины. Такое большое различие в точности (на 10–13 порядков!) создает препятствие выявлению связей между константами. В уравнениях и в физических теориях часто встречаются большие числа порядка 1039
– 1044
, а также эти же числа во второй и в третьей степени [8,10,12,13]. На особенность больших чисел впервые обратил серьезное внимание П.Дирак. Выявленное множество совпадений больших чисел не находит объяснения. Совпадения больших чисел косвенно указывают на взаимосвязь параметров микромира и характеристик Метагалактики. Поэтому проблема больших чисел тесно переплетена с проблемой получения точных значений характеристик Метагалактики. За эту проблему брались многие известные физики. Попытки Эддингтона и других исследователей объяснить совпадения больших чисел на основе физических принципов не увенчались успехом [8]. Альтернативные объяснения совпадения больших чисел, предложенные Дикке, Хойлом, Картером, известные как слабый и сильный антропные принципы, также не решили проблему [8,12]. Так и осталась эта таинственная проблема совпадения больших чисел не решенной. До сих пор не удалось создать “полную теорию космологии и атомизма”, на что надеялся П.Дирак [11]. Не удалось вывести большие числа математически, как это хотел П.Девис [12].
Антропный принцип декларирует наличие взаимосвязи между параметрами Вселенной и существованием в ней разума. В рамках этой проблемы возник вопрос: как связаны параметры нашего мира и что произойдет при незначительном изменении фундаментальных констант? Проведенные исследования возможных вариаций фундаментальных констант не выявили ни одного подобного факта [8]. Более того, с большой точностью подтверждена неизменность физических констант. Все исследования последствий возможных изменений констант показывают, что с фундаментальными константами следует соблюдать осторожность [9]. Исследования показали, что даже незначительные вариации фундаментальных констант привели бы к невозможности существования наблюдаемого мира и невозможности появлением в нем жизни [9]. Все это указывает на наличие жесткой связи между параметрами микромира и мегамира. Ниже приведены результаты исследований связи характеристик Метагалактики с константами,относящимися к фундаментальной частице микромира – к электрону.
1. Связь гравитационной константы G, постоянной Хаббла H0
и массы метагалактики MU
с константами электрона.
В [1,3]показано, что физические константы не являются независимыми. Между ними существует взаимосвязь. В частности показано, что константы, относящиеся к Вселенной можно представить посредством констант электрона. Так, например, формулы для определения значения гравитационной константы имеют вид:
G = a10
×a10
× lu
5
/ tu
3
× hu
, G = a10
×a2
10
× lu
3
/ tu
2
× me
Формула для постоянной Хаббла имеет вид:
H0
= a10
×a10
/ 2 ×a× tu
Формула для массы Метагалактики имеет вид:
Mu
= me
×a-20
×a2
-20
Формула для радиуса Метагалактики имеет вид:
Rmg
= 2×lu
×a×a-10
×a2
-10
В этих формулах используются значения суперконстант, приведенных в табл.1 [1,3,5,6].
Табл.1

Характеристики Метагалактики жестко связаны с константами электрона. Связь гравитационной константы с константами электрона указывает на электрическую природу гравитации. Исследования фундаментальных констант показали, что с константами электрона связаны не только константы, относящиеся к Вселенной, но и большое количество других констант.
2. Связь фундаментальных физических констант с константами электрона.
Универсальные суперконстанты, приведенных в табл. 1 позволили установить связь фундаментальных физических констант с константами электрона. В [1,3,5,6] получены соотношения, подтверждающие наличие такой связи. Ниже, в качестве примера, приведены некоторые из этих соотношений.
Формула для магнетона Бора имеет вид:
mB
= lu
×e / 2×a
Формулы для планковских единиц:

Формула для постоянной Планка:

Формула для заряда электрона:
e = (me
×c2
×lu
)1/2
Значения констант, полученные по этим формулам, в точности совпадают с экспериментальными значениями рекомендуемыми CODATA 1998 [14].
3. Связь естественных единиц длины, массы, времени с константами электрона.
М. Планк на основе констант G, c ,h получил естественные единицы длины, массы, времени. М.П. Бронштейн использовал фундаментальные константы для исследования взаимосвязи физических теорий на основе констант G,c,h [2]. А.Л. Зельманов сделал геометрическое обобщение идей Бронштейна и построил куб физических теорий [2]. На основе фундаментальных констант G,c,h предпринимаются попытки построить квантовую теорию гравитации, выбирая в качестве естественных единиц планковские константы. Эта задача еще не решена. Возможно причина состоит в том, что планковские константы не являются минимальными единицами длины, массы, времени. В.И. Вавилов еще в 1934 году высказал мысль о том, что было бы важно установить целый ряд естественных единиц, охватывающих процессы разных масштабов [4].
Для этой цели можно продолжить исследование вариантов построения куба физических теорий на основе геометрического обобщения А.Л. Зельманов, используя другие комбинации констант. В частности, можно построить гиперкуб на основе четырех констант. Такой подход был предпринят в [7], что позволило получить новые естественные единицы длины, массы, времени.
В [1,3,5,6] показано, что три константы не могут составлять полный константный базис физической теории. Не является полным и 4-х константный базис. Поэтому возможности 3-х мерного куба А.Л. Зельманова и 4-х мерного гиперкуба для исследования физических теорий имеют ограничения. Для построения физической теории минимальное количество констант должно быть равно пяти [3]. В связи с этим геометрическое обобщение, обладающее полнотой, должно включать пять измерений. Это значит, что от 4-х мерного гиперкуба необходимо перейти к 5-ти мерному суперкубу. Если построить 5-ти мерный суперкуб, основанный на пяти константах, то он будет иметь вид, приведенный на рис.1.
Рассмотрим суперкуб (рис. 1) на основе пяти универсальных физических суперконстант hu
, lu
, tu
, α, α2
[1,3-7].

Рис.1. Суперкуб (hu
, lu
, tu
, α, α2
)-пространства теоретической физики.
Этот суперкуб образован двойным смещением исходного (hu
, lu
, tu
)-куба по координатам α и α2
. Таким образом, первый след суперкуба представляет собой куб hu
, lu
, tu.
Второй след суперкуба представляет собой гиперкуб hu
, lu
, tu
, α.
Используя в качестве основных единиц константы hu
, lu
, tu
, α, α2
получим такие единицы длины, массы, времени:

В приведенных формулах, D0
– большое число, значение которого определяется безразмерными суперконстантами α и α2
[3,5,6]. Обратим здесь внимание на то, что значение mU
совпадает со значением массы Метагалактики с учетом темной материи. Как видим, эти единицы выражаются посредством констант электрона. Исследования различных систем естественных единиц показали, что системы естественных единиц легко представимы посредством констант электрона. В табл. 2 приведены соотношения, которые подтверждают это. Оказалось, что все системы естественных единиц, полученные разными авторами, можно представить новыми формулами с помощью констант электрона.
Табл. 2

4. Связь комбинаций констант G, H0
, MU
с константами электрона.
Считается, что объединение космологии и физики элементарных частиц способно привести к новым открытиям как в космологии, так и в физике. Полученная в [1,3,5,6] группа универсальных суперконстант hu
, lu
, tu
, α, α2
позволила выявить взаимосвязь между константами, относящимися к микромиру и к мегамиру. Исследования суперконстант позволили получить следующие космологические уравнения [6]:

Эти уравнения отражают связь констант электрона и характеристик Метагалактики. За этими уравнениями стоит еще не открытый физический закон, который должен вскрыть связь между гравитацией, электромагнетизмом и характеристиками Вселенной. Космологические уравнения напрямую выводят на связь двух важнейших константGиH0
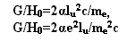
.Эти константы связаны между собой посредством констант электрона. Привожу формулы, демонстрирующие такую связь:

Расчетное значение отношения G/H0
, которое следует из формул, равно:
G/ H0
= 3.81408782(40)×107
м3
×кг-1
×с-1
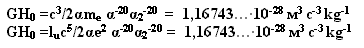
Произведение констант GиH0
также представляет собой комбинацию констант, относящихся к электрону.

В связи с тем, что отношение гравитационной константыG к постоянной ХабблаH0
и их произведение равно комбинации фундаментальных физических констант, относящихся к электрону, это указывает на существование физического закона, который связывает эти две константы и объединяет закон Ньютона и закон Хаббла. Выявленная связь констант электрона с характеристиками Метагалактики открывает широкие возможности для получения значений констант GиH0
с высокой точностью. Высокая точность отношения этих констант и их произведения является весьма важным результатом, поскольку значения константGиH0
известны с очень большой погрешностью. Их точность на несколько порядков хуже точности констант, относящихся к электрону. Комбинация формул, описывающих отношение гравитационной константыG к постоянной ХабблаH0
и их произведение, позволяет легко получить новые формулы для вычисления значения каждой константы GиH0
.
Константы электрона связаны и с другими комбинациями констант, относящихся к Вселенной. Так, например, масса Метагалактики MU
совместно с константамиGи H0
выражаются посредством констант электрона в виде [6]:

Выявленная взаимосвязь характеристик Метагалактики с константами электрона является подтверждением концепции единства мира. Установление этой взаимосвязи открывает возможности для получения точных значений констант, относящихся к Метагалактике.
Выводы.
1. Раскрыта взаимосвязь констант, относящихся к Вселенной, с константами электрона.
2. Раскрыта взаимосвязь естественных единиц длины, массы, времени с константами электрона.
3. Раскрыта взаимосвязь фундаментальных физических констант с константами электрона.
4. Полученные результаты дают возможность получить значения гравитационной константы, постоянной Хаббла, массы Метагалактики с точностью, близкой к точности констант электрона.
5. Взаимозависимость константG, H0
, Мu
указывает на то, что существует еще не открытый физический закон, который должен устанавливать связь между электромагнетизмом, гравитацией и характеристиками раздувающейся Вселенной.
6. Полученные результаты отражают глубинные связи микромира и Вселенной и являются подтверждением концепции единства мира.
Список литературы
1. N. Kosinov. “Five Fundamental Constants of Vacuum, Lying in the Base of all Physical Laws, Constants and Formulas”. PhysicalVacuum and Nature, N4, 2000.
2. Л.Б. Окунь. О статье Г. Гамова, Д. Иваненко и Л. Ландау «Мировые постоянные и предельный переход». Ядерная Физика, т,65, сс.1403-1405, 2002 (http://www.astronet.ru:8101/db/msg/1179651).
3. Косинов Н.В. Пять универсальных суперконстант, лежащих в основе всех фундаментальных констант, законов и формул физики и космологии. Актуальные проблемы естествознания начала века. Материалы международной конференции 21 - 25 августа 2000 г., Санкт-Петербург, Россия. СПб.: "Анатолия", 2001, с. 176 - 179.
4. Долинский Е.Ф. Пилипчук Б.И. Естественные системы единиц. В книге Энциклопедия измерений контроля и автоматики, в.4, 1965, с. 3-8.
5. Косинов Н.В. Сколько физических констант являются истинно фундаментальными? Материалы VII Международной конференции 19-23 августа 2002 г. Пространство, Время, Тяготение. Санкт-Петербург, Россия. СПб.: "ТЕССА", 2003. - 522 с.
6. Косинов Н.В. Константные базисы новых физических теорий. Физический вакуум и природа, №5/2002, с. 69-104.
7. Косинов Н.В. Глубины микромира и новые естественные единицы длины, массы, времени (http://filosof.net/disput/kosinov/urovni/text.htm)
8. Г.Б.Аракелян. Числа и величины в современной физике. Ереван, 1989.
9. И.Л.Розенталь. Элементарные частицы и космология. Метагалактика и Вселенная. УФН, т.167, N8, 1997, с.807.
10. П.А.М.Дирак. Воспоминания о необычайной эпохе.
11. П.А.М. Дирак. Космологические постоянные. В книге: “Альберт Эйнштейн и теория гравитации”. М.,Мир,1979.
12. П.Девис. Случайная Вселенная. М.,Мир,1985.
13. Р.М.Мурадян. Физические и астрофизические константы и их размерные и безразмерные комбинации. Физика элементарных частиц и атомного ядра, т.8, вып.1,1977, с.190.
14. Peter J. Mohr and Barry N.Taylor. “CODATA Recommended Values of the Fundamental Physical Constants:1998” ; Physics.nist.gov/constants. Constants in the category "All constants"; Reviews of Modern Physics, (2000),Vol. 72, No. 2.
|