Реферат на тему
Особенности гель-фильтрации
2009
Общее описание метода
Метод гель-фильтрации занимает положение как бы «приемного сына» в обширной семье методов колоночной хроматографии. В нем используется весь набор хроматографической аппаратуры, но принципиальное отличие от всех остальных членов этого семейства состоит в том, что разделяемые при гель-фильтрации молекулы не сорбируются внутри гранул и вообще ни физически, ни химически не взаимодействуют с их материалом. Весь процесс фракционирования основывается только на соотношении размеров молекул фильтруемой смеси и пор в гранулах.
Термин «гранулы» появляется с самого начала и расшифровывается, как малые частицы сферической формы, изготовленные из пористого материала. Для понимания процесса гель-фильтрации (и всех последующих хроматографи-ческих процессов) такое определение недостаточно. Что значит «пористый материал»? Каково происхождение и характер этих пор — поверхностный или глубинный? Каков диапазон и разброс номинальных размеров пор, да и самих гранул? Является ли их материал химически инертным или он способен вступать в реакции, приводящие к его модификации? Какова степень его гидрофильности? Устойчив ли он к значительным вариациям рН и температуры среды?
Для понимания сути данного процесса (гель-фильтрации) нам достаточно будет представить себе только физическую структуру гранул и характер пористости, а также упомянуть их гидрофильность. В конце главы мы подробнее познакомимся с различными материалами, используемыми для производства этих гранул и коснемся вопроса о возможности их химической модификации.
Итак, представим себе великое множество длинных, тонких и прочных нитей, собранных в одном месте, но идущих во всех возможных направлениях. В местах их случайного пересечения и сближения они прочно (химически) связаны короткими перемычками. Так, что в целом являют собой некий жесткий каркас, имеющий внешне сферическую форму, но без какой-либо замыкающей ее поверхности. Это и будет физическая модель хроматографической гранулы. Весь ее внутренний объем представляет собой совокупность множества переходящих одна в другую пространственных ячеек («пор»), размеры которых варьируют в определенных пределах около некой средней величины, обусловленной густотой нитей и числом перемычек между ними. Эти средние величины пор у разных марок гранул покрывают значительный диапазон от 5 до 300 миллимикрон. Что же касается средних наружных диаметров самих гранул, то, опять-таки для различных марок гранул, они укладываются в интервал от 10 до 300 микрон. Доступ к внутренним ячейкам гранул полностью открыт снаружи.
Поскольку мы упомянули о гидрофильности материала нитей и относительной малости размеров ячеек (меньше 1 мкн), то вода (или водные растворы) будет в них неподвижна, несмотря на то, что мимо гранул, в промежутках между ними она будет свободно протекать вдоль колонки.
Предположим теперь, что у нас имеется колонка, заполненная подобными гранулами (кружки на рис. а). И что в эту колонку, поверх гранул в слое небольшой высоты мы вносим препарат, содержащий смесь 3-х типов молекул: крупных, средней величины и мелких, обозначенные (там же) черными точками, соответственно, разных размеров.
  
Подадим мысленно сверху на эту колонку ток элюента (хотя бы воды). Он будет свободно протекать между гранулами — вниз к выходу из колонки. Если крупные молекулы настолько велики, что совершенно не проникают в пределы гранул (поры для них слишком малы), то эти молекулы вместе с током элюента, без задержки будут двигаться к выходу из колонки. Предположим еще, что мелкие молекулы настолько малы, что все ячейки внутри гранул будут для них легкодоступны. Тогда (если скорость элюции не слишком велика) эти малые молекулы в результате диффузии быстро займут весь совокупный объем жидкости во внутренних ячейках гранул. Разумеется, диффузия будет идти и в обратном направлении так, что концентрация малых молекул в гранулах и в свободной жидкости между ними поначалу окажется одинаковой. Однако вскоре малые молекулы, которые окажутся вне гранул, током элюента продвинутся немного вниз по колонке. Здесь они встретят слой еще «пустых» гранул и будут диффундировать внутрь них. В то же самое время в слое, откуда эти молекулы ушли, нарушится равновесие диффузии и малые молекулы из гранул станут преимущественно выходить наружу, в элюент.
Процессы эти будут происходить в течение всего хода элюции. За это время каждая из мелких молекул успеет (и не один раз) побывать в каких-нибудь гранулах и выйти из них. Для слоя мелких молекул в целом это будет означать большую потерю времени с точки зрения продвижения этого слоя вниз к выходу из колонки. (Напомню, что жидкость внутри гранул не течет.) В результате слой мелких молекул сильно отстанет от слоя крупных молекул.
Для молекул среднего размера некоторые ячейки близ поверхности гранул окажутся доступными. Они туда будут «заходить». Но диффундировать глубоко внутрь гранул им, как правило, не удастся, они быстрее будут выходить наружу и равновесие диффузии будет в пользу свободной жидкости между гранулами. В силу этого обстоятельства молекулы среднего размера в целом, как слой, будут двигаться вниз по колонке быстрее, чем мелкие молекулы, но все же значительно медленнее, чем крупные, поскольку даже только на заход в ячейки гранул с поверхности будет расходоваться некоторое время...
Колоночная гель-фильтрация широко применяется для решения двух основных задач:
1. Быстрого освобождения крупных молекул (белков, нуклеиновых кислот и их комплексов) от находящихся в том же растворе солей или низкомолекулярных предшественников синтеза:
аминокислот или нуклеозидтрифосфатов (особенно радиоактивно меченых), а также во многих других случаях очистки биополимеров от сопутствующих им мелких молекул. В этих случаях целесообразно использовать короткие (10-20 см) колонки относительно большого диаметра (2-3 см) и заполнять их крупными гранулами с малыми порами. Объем препарата, вносимого на колонку, может составлять 20-25% от полного объема колонки. Очистка происходит быстро (примерно за 1 час). Разбавление очищенного препарата оказывается незначительным (10-20%), так как он выходит из колонки не «пиком», а протяженной «площадкой», расширение которой идет только за счет диффузии на ее переднем и заднем фронте. При работе с микроколичествами можно в качестве колонки использовать цилиндрик пластмассового шприца на 1 мл.
Положив на дно кусочек стеклянной ваты, его плотно набивают гранулами, оставив сверху свободные 0,1 мл для заполнения их смесью ДНК и ее предшественников в растворе буфера.
Элюция — центрифугированием. Под цилиндрик подставляют пробирку от микроцентрифуги и все вместе устанавливают в пробирку бакет-ротора. Выходящая из цилиндрика жидкость в объеме того же 0,1 мл содержит чистую ДНК — предшественники остаются в гранулах.
2. Фракционирование (разделение) смеси макромолекул не очень значительно различающихся по своим размерам. Например, различных белков. Здесь следует использовать длинные (1-1,5 м) колонки, диаметром не более 1 см и загружать их объемом исходного препарата, составляющем не более 1-2% от объема колонки. Если смесь содержит 2-3 компонента, то их нередко удается разделить полностью — они выходят в виде довольно широких, но не перекрывающихся друг с другом пиков.
Если же смесь состоит из нескольких компонентов, то на хорошее их разделение методом гель-фильтрации рассчитывать не приходится. Ведь все эти компоненты, хотя и с различной скоростью, движутся по колонке одновременно. (Другое дело истинная хроматография. Там на первый план выступает сорбция компонентов на модифицированном материале гранул и каждый из них остается сорбированным внутри гранул до тех пор, пока элюент «принудительно» не извлечет его оттуда.)
Тем не менее, и в этом случае гель-фильтрацию можно использовать для очистки одного из компонентов сложной смеси, если примириться с его довольно значительными потерями. С этой целью смесь, например белков, разгоняют по объему элюента так, что интересующий экспериментатора белок оказывается где-то в середине последовательности не полностью разделившихся пиков разных белков. (Для этого надо подобрать размер пор используемых гранул.) Если нужный белок поддается идентификации, например по ферментативной активности, которая ввиду мягкости способа фракционирования вполне может сохраниться, то можно отобрать узкую область элюента, прилегающую к вершине пика этого белка. Таким образом, хотя и со значительными потерями, иногда удается получить практически чистый белок.
Основные материалы гранул («матриц») для гель-фильтрации
Именно здесь уместно познакомиться с основными материалами, из которых различные фирмы изготавливают матрицы для гель-фильтрации, поскольку те же материалы после соответствующей химической модификации используются в других видах хроматографии.
1. Гели на основе декстрана— «сефадексы»»
Чаще всего для построения хроматографических гранул используют длинные нити полисахаридов. В частности, нити декстрана — линейного полимера, состоящего из множества одинаковых звеньев одного из Сахаров, а именно — глюкозы.
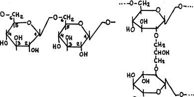
На рис. 55 слева показана связь между двумя соседними молекулами глюкозы. Как это уже было принято для Сахаров нуклеиновых кислот, в углах шестиугольника, обозначенных цифрами 1—5 следует подразумевать атомы углерода, а на открытых концах вертикальных черточек — атомы водорода. Связь осуществляется через атом кислорода между углеродами в позициях 1 и 6.

На том же рисунке справа показан короткий «мостик», связывающий две пересекающиеся друг с другом нити декстрана. (Заметьте, что связанные таким образом звенья глюкозы расположены симметрично.) Чем выше содержание мостиков по отношению к количеству глюкозы в нитях декстрана, тем меньше будет размер пор («ячеек»), которые они образуют.
Иногда в качестве материала гранул используют уже знакомый нам по электрофорезу полиакриламидный гель (ПААГ).
1а. «Сефакрилы».
Это — матрицы на основе того же декстрана, но в качестве связующих нити «мостиков» используется также знакомая нам по ПААГ связка — ЫТ^-метиленбисакриламид («Бис»).
2. Гели на основе агарозы — «сефаррзы».
Заметим, что максимальная концентрация агарозы, которая называлась тем, составляла 2%. А затвердевают гели агарозы при остывании из расплавленного состояния уже при концентрации в 0,4%. Однако они относительно мягкие. Для целей гель-фильтрации и других видов хроматографии используют жесткую, 4-х или 6-ти процентную агарозу, в виде сферических гранул. Поры при этом остаются еще весьма крупными. Иногда нити агарозы, все-таки сшивают дополнительно химическими «мостиками». Получаются еще более жесткие гранулы. Их торговое название «сефароза CL» (CL означает crosslinked).
2а. «Улътрагели типа АСА»»
Внутри жесткого крупнопористого каркаса агарозы полиме-ризуют ПААГ, что позволяет варьировать меньшие размеры пор в широких пределах, сохраняя жесткость гранул агарозы.
Гели на основе целлюлозы
Целлюлоза — это тоже линейный полимер, составленный из множества молекул все той же глюкозы, но связанных между собой иначе, чем в декстране. Ее часто используют в виде, так называемой, «волокнистой целлюлозы», то есть просто в виде хаотически спутанных длинных нитей полимера, без всяких дополнительных связок. В варианте «микрогранулированной целлюлозы» между нитями для увеличения жесткости вводят связующие химические «мостики». Один из типов такой целлюлозы имеет торговое название «сефацел».
В нашем ознакомительном курсе не имеет смысла приводить подробные списки матриц для гель-фильтрации из каталогов различных форм. Достаточно упомянуть, что списки эти бывают достаточно длинными, предлагая пользователю широкий выбор гранул различного размера и разной пористости, особенности которых часто бывают зашифрованы индексом, стоящим после основного названия. Так, к примеру, шведская фирма Pharmacia предлагает список из 18 типов сефадекса с индексами от G-10 до G-200, в соответствии с постепенно увеличивающимися размерами пор. Японская фирма Toyopearl выпускает 10 типов гранул для гель-фильтрации с индексами от HW40C до HW75F.
Мне остается обратить внимание читателя на то, что все матрицы для гель-фильтрации на основе декстрана, агарозы и целлюлозы в своих «сахарных» звеньях содержат множество ОН-групп, по которым возможны присоединения различных химически активных молекул, осуществляющих желательную модификацию исходно нейтральных гранул. С этими модификациями мы познакомимся в следующих главах, где речь пойдет об истинной хроматографии.
Детекторы вещества
Их назначение — вести непрерывную регистрацию состава жидкости, вытекающей из колонки, на предмет обнаружения в ней искомых фракций вещества. Поскольку одновременно с регистрацией производится автоматически отсчет пробирок в коллекторе фракций, экспериментатор освобождается от длительной проверки содержимого каждой пробирки. Распределение по ним фракций исследуемого вещества выясняется уже в ходе хроматографии.
Регистрацию белков и нуклеиновых кислот производят по поглощению света в ультрафиолетовой области спектра. Белки и пептиды поглощают в области 206-215 тц за счет пептидной связи, а также в широкой области вблизи 280 тц за счет присутствия в них ароматических аминокислот. (Неароматические аминокислоты при их хроматографическом разделении приходится специально окрашивать.) Нуклеиновые кислоты, равно как и сами нуклеиновые основания, хорошо поглощают ультрафиолетовый свет вблизи 260 тц.
В некоторых случаях (вспомним о секвенаторе ДНК) регистрировать выход вещества из хроматографической колонки можно и по флюоресценции. Однако при этом требуется дополнительная операция предварительной окраски интересующего нас вещества флюоресцентным красителем.
В подавляющем большинстве случаев регистрацию выходящих из хроматографической колонки белков, нуклеиновых кислот или их фрагментов ведут по поглощению света в ультрафиолетовой области, вблизи 280 и 260 тц соответственно.
Для этой цели служат так называемые УФ-денситометры.
Главным элементом этого прибора является источник излучения — чаще всего ртутная лампа низкого давления. Более 90% испускаемого ею света приходится на долю яркой спектральной полосы с длиной волны 254 тц. Излучение с длиной волны вблизи 280 тц можно получить с помощью той же лампы, если ее светом облучать флюоресцирующий на этой длине волны «вторичный» источник света. В новые модели УФ-денситометров устанавливают еще и безэлектродную газоразрядную лампу, дающую сильную полосу испускания с длиной волны 206 тц, что в десятки раз повышает чувствительность этих приборов по отношению к белкам.
Важным элементом УФ-детектора является кварцевая кювета, через которую непрерывно протекает выходящая из колонки жидкость. Используются кюветы как цилиндрической формы, так и прямоугольные, объемом в несколько десятков микролитров и длиной оптического пути от 2-х до 10 мм.
Многие фирмы строят свои УФ-детекторы по двухлучевой схеме: прибор оснащается дополнительной кюветой сравнения, через которую постоянно протекает чистый элюент. Луч света от лампы расщепляется с помощью полупрозрачного зеркала и проходит параллельно через рабочую кювету и кювету сравнения. Двухлучевая схема позволяет исключить при регистрации собственное поглощение света элюентом, которое может изменяться, например, в ходе градиентной элюции.
Она также компенсирует изменения яркости свечения лампы, сильно упрощая проблемы ее стабилизации.
В качестве приемников энергии в денситометрах используют высокочувствительные фотоэлементы. Напряжение с нагрузки фотоэлемента усиливается специальным, «логарифмическим» усилителем, на выходе которого появляется «сигнал» напряжения, пропорциональный оптической плотности детектируемого раствора, с амплитудой порядка 10 мВ.
Этот сигнал управляет положением пера потенциометрического регистратора («самописца»). С помощью переключателя диапазонов усиления можно установить чувствительность записи так, чтобы отклонению пэра от нулевой линии на всю ширину ленты регистратора соответствовало бы максимальное значение оптической плотности раствора.
При каждой смене нумерованных пробирок на регистратор от коллектора фракций поступает сигнал. Таким образом легко установить в каких пробирках и в каком количестве выходит из колонки интересующее нас вещество.
Коллекторы фракций
К сказанному ранее стоит добавить упоминание о многочисленности вариантов механических устройств, сменяющих пробирки под капельницей, куда поступает жидкость сразу после денситометра. В одних случаях штативы, содержащие по 10-12 пробирок перестраиваются, подобно взводу солдат, «шеренгами на прямоугольном плацу». В других конструкциях пробирки устанавливаются в несколько рядов по окружностям (или по спирали) в гнезда поворачивающегося толчками барабана, а капельница совершает необходимое перемещение от периферии к центру. Есть коллекторы, где все пробирки остаются неподвижными в своих штативах, а капельница, установлена на подвижной каретке. Перемещаясь в двух взаимно-перпендикулярных направлениях, она обходит все штативы один за другим. Смена пробирки чаще всего задается автоматически самим коллектором фракций (по выбору экспериментатора) — то ли по времени, то ли по числу капель, которое отсчитывает простое реле с фотоэлементом. Иногда сменой пробирок с помощью электрического импульса управляет перистальтический насос, привязывая тем самым смену пробирок к истинному потоку жидкости через колонку, независимо от возможных изменений скорости подачи элюента (в силу изменения сопротивления колонки) или от размера капель, который зависит от вязкости и температуры жидкости.
Для работы с радиоактивными веществами коллекторы оснащают дополнительным устройством, которое запирает выход жидкости из колонки во время смены пробирок.
Аппаратура для жидкостной хроматографии высокого давления (ЖХВД)
Из дальнейшего будет ясно, что хроматографические процессы протекают тем быстрее (какой бы природы они не были), чем меньше размер гранул. Быстрее устанавливается определенное равновесие между содержанием фракционируемых молекул или ионов внутри гранул и в протекающей между ними жидкости — элюенте. При соответствующих изменениях состава элюента быстрее осуществляется «насыщение» внутреннего объема гранул связанными молекулами вещества или, наоборот, происходит полный выход этих молекул из гранул в ток элюента.
В обычной жидкостной хроматографии низкого давления используют сферические гранулы в широком диапазоне размеров (диаметром 20—300 микрон). Для обеспечения необходимой скорости протекания жидкости даже через длинные колонки с наиболее мелкими гранулами из этого диапазона достаточно создать перепад давления на колонке в 3-4 атмосферы. Процесс хроматографического фракционирования при этом занимает несколько часов.
С середины 70-х годов, когда открылись перспективы хроматографического контроля за технологическими процессами в пищевой и фармакологической промышленности, в интересах ускорения такого контроля многие фирмы стали пробовать переходить на размеры гранул в 10,5 и даже 3 мкн. Однако оказалось, что для обеспечения быстрого протекания элюента через колонки, наполненные столь мелкими гранулами, требуется создавать перепад давления в 200-300 атмосфер на колонку. Физически это можно объяснить двумя причинами. Во-первых, слои свободной жидкости между хорошо упакованными гидрофильными гранулами становятся так тонки, что начинает сильно сказываться жидкостное трение в элюенте. Во-вторых, столь малые гранулы трудно сделать сферическими и притом избежать как значительного разброса их диаметров, так и засорения промежутков между гранулами совсем мелкими обломками. («Отмучивание» в этих условиях малоэффективно.)
Математически можно доказать, что при заполнении некоего фиксированного объема (колонки) относительно малыми сферическими частицами строго одинакового размера доля свободного объема остается одинаковой вне зависимости от диаметра частиц. Но если свободное пространство между ними забивает «пыль», то сопротивление протеканию жидкости через такую упаковку возрастает многократно.
Все это не остановило конструкторов аппаратуры для хроматографии. Были созданы разборные колонии из легированной стали, рассчитанные на такие давления и соответствующие уплотнительные устройства на их входе и выходе, а также для впрыскивания исследуемых препаратов. Появились мощные плунжерные насосы с кулачковым приводом (как у клапанов автомобильного мотора). Разумеется, все приборы, стоящие после колонки, на стороне атмосферного давления (денситометры, коллекторы фракций) остались теми же, что для обычной хроматографии.
Высокое давление повлекло за собой повышенные требования к жесткости самих гранул. Их стали изготавливать на основе окиси кремния («силикагеля»).
Выигрыш в скорости проведения хроматографии при высоком давлении очевиден. Но в лабораторных условиях, как правило, не играет существенной роли длится хроматографический процесс несколько часов или несколько минут. Если только в этот процесс не вмешивается диффузия разделенных препаратов уже в элюенте, в ходе их элюции из колонки. Для низкомолекулярных веществ фактор диффузии может играть серьезную отрицательную роль, чего нельзя сказать о молекулах белков и других биополимеров.
Видимо, исходя из соображений диффузии, первые рекламы фирм, изготавливающих аппаратуру для общепринятого наименования процесса «HPLC-chromatography» расшифровывали это наименование не просто как HighPressureLiquidChromatography, a как HighPerformanceLiquidChromatography. Казалось, что новый подход скоро вытеснит хроматографию при низком давлении. Однако этого не произошло. Время все расставило по своим местам: в каталогах 2001 года аппаратура, колонки, гранулы для обычной хроматографии занимают такое же место, как аппаратура высокого давления. В описаниях методик лабораторных экспериментов использование обычной хроматографии встречается чаще, чем ЖХВД. В немалой степени это, конечно, определяется и намного более высокой стоимостью аппаратуры высокого давления.
В начале 80-х годов шведская фирма «Pharmacia» выпустила на рынок сравнительно недорогой «промежуточный» вариант комплекта хроматографической аппаратуры под названием «FPLC» (FastProteinLiquidChr.) По понятным после отмеченного выше причинам, фирма уделила особое внимание однородности гранул. Вместо обычно разброса диаметров в =ь40% от номинала, фирма сумела наладить выпуск сферических гранул различного назначения диаметром 10 ± 0,1 микрон (т. е. с разбросом в 1%). Это позволяет, несмотря на малый размер гранул ограничиться давлением в 30-50 атмосфер. Разделение белков при этом занимает 5-20 минут. Колонки — стальные, насосы плунжерного типа, но стеклянные.
Судя по имеющимся сведениям, эта система завоевала популярность у современных исследователей.
Поскольку по существу хроматографических процессов все три подхода совершенно одинаковы, я ограничусь сделанными краткими замечаниями относительно систем HPLC и FPLC и буду далее описывать принципы работы и приводить некоторые примеры для варианта обычной хроматографии при низком давлении.
Литература
1. Насыров Х.М., Кондратенко Р.М. К прооксидазному действию медиаторов воспаления. // Пат. физиология. 1992. N 3.-С.-12-14.
2. Неговский В.А. Общие проблемы постреанимационной патологии мозга. // Межд. симпозиум "Постреанимационная патология мозга": Материалы. Тезисы докладов. - М. 1978. -С.82-85.
3. Никитин Ю.П., Курилович С.А., Давидин Г.С. Печень и липидный обмен. - Новосибирск. Наука, -1985.
|