Банк рефератов содержит более 364 тысяч рефератов, курсовых и дипломных работ, шпаргалок и докладов по различным дисциплинам: истории, психологии, экономике, менеджменту, философии, праву, экологии. А также изложения, сочинения по литературе, отчеты по практике, топики по английскому.
Полнотекстовый поиск
Всего работ:
364139
Теги названий
Разделы
Авиация и космонавтика (304)
Административное право (123)
Арбитражный процесс (23)
Архитектура (113)
Астрология (4)
Астрономия (4814)
Банковское дело (5227)
Безопасность жизнедеятельности (2616)
Биографии (3423)
Биология (4214)
Биология и химия (1518)
Биржевое дело (68)
Ботаника и сельское хоз-во (2836)
Бухгалтерский учет и аудит (8269)
Валютные отношения (50)
Ветеринария (50)
Военная кафедра (762)
ГДЗ (2)
География (5275)
Геодезия (30)
Геология (1222)
Геополитика (43)
Государство и право (20403)
Гражданское право и процесс (465)
Делопроизводство (19)
Деньги и кредит (108)
ЕГЭ (173)
Естествознание (96)
Журналистика (899)
ЗНО (54)
Зоология (34)
Издательское дело и полиграфия (476)
Инвестиции (106)
Иностранный язык (62791)
Информатика (3562)
Информатика, программирование (6444)
Исторические личности (2165)
История (21319)
История техники (766)
Кибернетика (64)
Коммуникации и связь (3145)
Компьютерные науки (60)
Косметология (17)
Краеведение и этнография (588)
Краткое содержание произведений (1000)
Криминалистика (106)
Криминология (48)
Криптология (3)
Кулинария (1167)
Культура и искусство (8485)
Культурология (537)
Литература : зарубежная (2044)
Литература и русский язык (11657)
Логика (532)
Логистика (21)
Маркетинг (7985)
Математика (3721)
Медицина, здоровье (10549)
Медицинские науки (88)
Международное публичное право (58)
Международное частное право (36)
Международные отношения (2257)
Менеджмент (12491)
Металлургия (91)
Москвоведение (797)
Музыка (1338)
Муниципальное право (24)
Налоги, налогообложение (214)
Наука и техника (1141)
Начертательная геометрия (3)
Оккультизм и уфология (8)
Остальные рефераты (21692)
Педагогика (7850)
Политология (3801)
Право (682)
Право, юриспруденция (2881)
Предпринимательство (475)
Прикладные науки (1)
Промышленность, производство (7100)
Психология (8692)
психология, педагогика (4121)
Радиоэлектроника (443)
Реклама (952)
Религия и мифология (2967)
Риторика (23)
Сексология (748)
Социология (4876)
Статистика (95)
Страхование (107)
Строительные науки (7)
Строительство (2004)
Схемотехника (15)
Таможенная система (663)
Теория государства и права (240)
Теория организации (39)
Теплотехника (25)
Технология (624)
Товароведение (16)
Транспорт (2652)
Трудовое право (136)
Туризм (90)
Уголовное право и процесс (406)
Управление (95)
Управленческие науки (24)
Физика (3462)
Физкультура и спорт (4482)
Философия (7216)
Финансовые науки (4592)
Финансы (5386)
Фотография (3)
Химия (2244)
Хозяйственное право (23)
Цифровые устройства (29)
Экологическое право (35)
Экология (4517)
Экономика (20644)
Экономико-математическое моделирование (666)
Экономическая география (119)
Экономическая теория (2573)
Этика (889)
Юриспруденция (288)
Языковедение (148)
Языкознание, филология (1140)

Реферат: Поверхностное натяжение и адсорбция на границе вода-воздух

Название: Поверхностное натяжение и адсорбция на границе вода-воздух
Раздел: Рефераты по химии
Тип: реферат Добавлен 14:03:57 20 сентября 2009 Похожие работы
Просмотров: 2180 Комментариев: 22 Оценило: 5 человек Средний балл: 4.4 Оценка: неизвестно     Скачать

Реферат

по химии

на тему:

"Поверхностное натяжение и адсорбция на границе вода-воздух"

2009


Поверхностное натяжение как результат асимметрии сил когезии на поверхности

Поверхностное натяжение жидкостей вызывает образование капель и связано с силами притяжения между молекулами. Эти силы притяжения вызывают конденсацию пара в жидкость. По природе это дисперсионные, диполь-дипольные и индукционные взаимодействия, а также водородные связи. В объеме жидкости молекулы подвергаются действию этих сил притяжения со всех сторон, в то время как для молекулы на поверхности такое притяжение в одном направлении отсутствует. Такая асимметрия обусловливает возникновение поверхностной энергии и проявляется в поверхностном натяжении. Таким образом, поверхностное натяжение является прямым следствием сил когезии в жидкости.

Рис. 1. а — Происхождение поверхностного натяжения заключается в дисбалансе сил притяжения для молекулы, находящейся на поверхности, б — Вблизи поверхности молекулы находятся на больших расстояниях друг от друга и поэтому имеют более высокую энергию, в — Зависимость энергии межмолекулярного взаимодействия от расстояния между молекулами


Другое молекулярное объяснение поверхностного натяжения, также коррелирующее с энергией когезии жидкостей, иллюстрирует рис. 1,6. Вблизи поверхности молекулы находятся на сравнительно больших расстояниях друг от друга и таким образом имеют большую энергию, как показано на диаграмме, представляющей зависимость энергии от расстояния.

Значения поверхностного натяжения некоторых индивидуальных жидкостей приведены в табл. 1. Единицы измерения поверхностного натяжения — дин/см или мН/м. Очень удачно, что коэффициент перехода из одной системы единиц в другую равен единице, и численные значения поверхностного натяжения в этих системах единиц совпадают. Так как поверхностное натяжение жидкостей эквивалентно поверхностной энергии, его можно выражать также в единицах энергии: эрг/см или мДж/м2 . В этом случае коэффициент перевода также равен единице. Из таблицы 1 видно, что поверхностное натяжение коррелирует с энергией когезии жидкостей: диэтиловый эфир имеет самую низкую энергию когезии, а ртуть — самую высокую.

В свою очередь энергия когезии определяется дисперсионными силами, действующими в жидкости. Сравним, например, поверхностное натяжение хлороформа и бромоформа: молекулы последнего более поляризуемые, поэтому поверхностное натяжение бромоформа выше, чем хлороформа. Энергия когезии коррелирует также со свободным объемом жидкостей, что вытекает из сравнения поверхностного натяжения серии нормальных алканов: чем больше свободный объем, тем меньше энергия когезии и поверхностное натяжение.

Межфазное натяжение — это поверхностное натяжение или свободная поверхностная энергия на границе двух несмешивающихся или частично смешивающихся жидкостей. Причина несмешиваемости обычно заключается в большой разнице сил когезии, действующих между молекулами каждой жидкости. Поэтому на межфазной поверхности возникает нескомпенсированная сила. Чем больше разница сил когезии, тем выше межфазное натяжение. При достаточно небольшой разнице сил когезии жидкости смешиваются друг с другом. Проблема смешиваемости или несмешиваемости удовлетворительно описывается теорией регулярных растворов.

Таблица 1. Поверхностное натяжение для некоторых жидкостей при 25 0 C

Вода

Этанол

Хлороформ

Бромоформ

н-Гексан

«-Октан

н-Додекан

н-Гексадекан

Диэтиловый эфир

Ртуть

72 22 27 45 18 22 25 27 17 480

Рис. 2. Как и поверхностное натяжение, межфазное натяжение обусловлено дисбалансом сил притяжения для молекул, находящихся на межфазной границе

Единицы измерения межфазного натяжения совпадают с единицами измерения поверхностного натяжения. Помимо того что межфазное натяжение зависит от разницы сил когезии в жидкостях, оно зависит также от специфических взаимодействий между молекулами двух жидкостей. Например, межфазное натяжение на границе вода-октан равно 51 мН/м, а межфазное натяжение на границе вода-октанол—только 8 мН/м. Совершенно очевидно, что гидроксильные группы октанола ориентируются в сторону водной фазы, что и обеспечивает сильное снижение межфазного натяжения. Таким же образом действуют поверхностно-активные вещества, состоящие из полярной группы и гидрофобной части, которые снижают межфазное натяжение между органическими жидкостями и водой.

Влияние растворенных веществ на поверхностное натяжение

В водных системах растворенные вещества влияют на поверхностное натяжение тремя разными способами. Органические вещества, растворимые в воде обычно монотонно понижают поверхностное натяжение по мере увеличения концентрации благодаря преимущественной адсорбции органических молекул на поверхности вода-воздух. Об этом мы подробнее поговорим далее.

Поверхностно-активные вещества очень сильно снижают поверхностное натяжение уже при очень низких концентрациях вплоть до критической концентрации мицеллообразования, после достижения которой поверхностное натяжение остается практически постоянным. Такое сильное снижение поверхностного натяжения является следствием адсорбции молекул ПАВ на поверхности вода-воздух. При концентрациях выше KKM все дополнительно введенное ПАВ расходуется на образование новых мицелл, что обеспечивает сохранение более или менее постоянной активности молекулярно растворенного ПАВ. Поэтому поверхностное натяжение не изменяется с увеличением концентрации ПАВ выше ККМ. Электролиты обычно увеличивают поверхностное натяжение раствора, поскольку поверхность обеднена ионами, т.е. их адсорбция на поверхности вода-воздух отрицательна.


Рис. 3. Вводимые в водную фазу компоненты влияют на поверхностное натяжение тремя различными способами

Значение динамического поверхностного натяжения

Динамическое поверхностное натяжение — это изменение поверхностного натяжения до момента достижения равновесия. В момент образования поверхности жидкость-воздух состав поверхностного слоя не отличается от состава объема жидкости и поверхностное натяжение по значению близко к среднеарифметическому значению поверхностных натяжений индивидуальных компонентов. При равновесии компонент с более низким поверхностным натяжением преимущественно адсорбируется на поверхности, поверхностный слой обогащается этим компонентом, а поверхностное натяжение раствора понижается. Этот процесс зависит от времени и прежде всего от диффузии компонентов к поверхности. В качестве примера на рис. 4, а приведены данные для системы вода-этанол. В момент образовании новой поверхности в этой системе при 40%-ной концентрации этанола в растворе поверхностное натяжение равно среднеарифметическому значению поверхностных натяжений воды и этанола, другими словами, пропорционально составу раствора. Преимущественная адсорбция компонента с более низким поверхностным натяжением приводит к тому, что поверхностное натяжение понижается до равновесного значения.

Типичная зависимость поверхностного натяжения от времени представлена на рис. 4, б. Поверхностное натяжение в начальный момент времени близко к поверхностному натяжению чистой воды. Динамическое поверхностное натяжение играет важную роль во многих технологических процессах, например в процессе печатания. В этом процессе равновесное поверхностное натяжение никогда не достигается, поэтому характеристика таких систем с помощью равновесного поверхностного натяжения не имеет смысла.

Рис. 4. а — Поверхностное натяжение изменяется от среднеарифметического значения для индивидуальных компонентов до равновесного поверхностного натяжения. С разрешения JohnWiley& Sons, Inc.. б — После образования новой поверхности система релаксирует до равновесного поверхностного натяжения вследствие адсорбции более поверхностно-активных молекул


Наряду со временем, необходимым для диффузии компонента к межфазной границе жидкость-воздух, есть еще две причины временной зависимости поверхностного натяжения. Во-первых, изменение конфигурации больших молекул на поверхности. Для достижения равновесного поверхностного натяжения растворов полимеров обычно требуется довольно продолжительное время. Вторая причина обусловлена присутствием в системе более одного растворенного компонента. В этом случае длительность достижения равновесия определяется конкурентной адсорбцией на поверхности растворенных компонентов.

Связь поверхностного натяжения с адсорбцией

Рассмотрим соотношение между адсорбцией и поверхностным натяжением в рамках теории регулярных растворов. Для обсуждения адсорбции растворенного вещества на поверхности жидкость-воздух необходимо определить, что такое поверхность. Первое определение поверхности восходит к работам Гиббса. Он определил положение поверхности следующим условием: концентрация растворителя равна половине суммы концентраций в объеме растворителя и в равновесном с ним паре. Адсорбция поверхностно-активного вещества обычно обозначается как Г, где индекс указывает, что поверхность и, следовательно, адсорбция определяются растворителем.

Для неионных ПАВ адсорбция связана с поверхностным натяжением уравнением Гиббса:

где а — активность растворенного вещества в растворе. Поскольку концентрация ПАВ в растворе вплоть до KKM очень мала, активность можно заменить на концентрацию поверхностно-активного компонента С; тогда получаем:

Адсорбцию поверхностно-активного компонента можно определить по наклону зависимости поверхностного натяжения от логарифма концентрации. На рис. 5 представлены такие зависимости для ряда растворов в воде спиртов с неполярными радикалами средней длины. Зависимости имеют одинаковый наклон. Это указывает на то, что адсорбция не зависит от длины углеводородного радикала. Следует отметить практически линейный характер этих зависимостей при высоких концентрациях, что указывает на постоянство адсорбции). Для мономолекулярной адсорбции количество адсорбированного вещества обратно пропорционально площади поперечного сечения адсорбированной молекулы А. Соотношение имеет вид

где Г — адсорбция, выраженная в мкмоль/м2 .

Рис. 5. Зависимости поверхностного натяжения от концентрации водных растворов ряда длинно-цепочечных спиртов


Тот факт, что наклоны кривых, приведенных на рис. 5, одинаковы означает, что нормальные спирты имеют одинаковую площадь на молекулу в адсорбционном слое, независимо от длины гидрофобного радикала. Постоянство площади на молекулу в поверхностном слое для спиртов с гидрофобными радикалами средней длины согласуется с молекулярным упорядочением на поверхности: полярные группы направлены в сторону воды, а неполярные гидрофобные цепи направлены в сторону воздуха.

В случае ионных ПАВ необходимо учитывать, что с молекулами ПАВ ассоциированы противоионы и что поверхность в целом должна быть электронейтральной. Уравнения и принимают при этом вид

Однако при избытке соли нужно пользоваться уравнениями и. Причина в том, что избыток соли нивелирует влияние противоионов на поверхности, и ПАВ адсорбируется на поверхности как индивидуальный компонент, не сопровождаемый противоионом.

Связь адсорбции поверхностно-активных веществ на границе жидкость-воздух с критическим параметром упаковки

Как и спирты с гидрофобными группами средней длины, поверхностно-активные вещества также адсорбируются на поверхности жидкость-воздух так, что полярные группы направлены в сторону воды, а гидрофобные части молекул — в сторону воздуха. На рис. 6 показаны изотермы поверхностного натяжения этоксилированного алкилсульфата при различных концентрациях соли. Видно, что с увеличением содержания соли а) снижается ККМ, б) предельное поверхностное натяжение при концентрациях выше KKM уменьшается, в) наклон кривых вблизи KKM увеличивается, что указывает на увеличение адсорбции в соответствии с уравнениями. Все три факта указывают на увеличение критического параметра упаковки системы вследствие экранирования противо-ионами полярных групп поверхностно-активного вещества. Из наклона кривых ниже KKM можно определить, что при повышении концентрации соли молекулы ПАВ упаковываются в поверхностном слое плотнее в соответствии с увеличением эффекта экранирования электролитом.

На рис. 7 представлены данные по поверхностному натяжению растворов ряда неионных ПАВ типа Ci6E. Видно, что НПАВ с более короткими полиокси-этиленовыми цепями лучше упаковываются на поверхности вода - воздух, и наклон зависимостей поверхностного натяжения от Ig С вблизи KKM в этом случае больше. Все это согласуется с концепцией КПУ; в частности, последний увеличивается с уменьшением длины полиоксиэтиленовой цепи в молекулах ПАВ. Отметим также, что поверхностное натяжение при KKM и выше KKM понижается, по мере того как полиоксиэтиленовые цепи становятся короче. При этом заметного влияния на величину KKM не отмечается.

На рис. 8 представлены изотермы поверхностного натяжения растворов соединений СЕб при разных температурах. Известно, что при повышении температуры полиоксиэтиленовые цепи сжимаются, что приводит к увеличению КПУ. Из этого рисунка видно, что в результате происходит понижение поверхностного натяжения и ККМ. Детальный анализ также показывает, что адсорбция НПАВ при концентрациях ниже KKM увеличивается с повышением температуры, а следовательно, площадь на молекулу в поверхностном слое уменьшается с повышением температуры.


Рис. 6. Поверхностное натяжение растворов CieEsSO4 Na при различных концентрациях соли

Рис. 7. Изотермы поверхностного натяжения растворов ряда неионных ПАВ с различными значениями п

Наконец, необходимо обратить внимание на влияние примесей на поверхностное натяжение растворов ПАВ. На рис. 9 представлены данные по зависимости поверхностного натяжения растворов додецилсульфата натрия от концентрации. Минимум поверхностного натяжения на этой зависимости обусловлен присутствием додецилового спирта, который образуется в результате гидролиза ДСН. Додециловый спирт более поверхностно-активен, чем ДСН, поэтому он преимущественно адсорбируется на поверхности раствор-воздух, понижая поверхностное натяжение. По мере образования мицелл в растворе молекулы додецилового спирта солюбилизируются мицеллами и десорбируются с поверхности, в результате чего поверхностное натяжение повышается. Таким образом, если на зависимостях поверхностного натяжения от концентрации ПАВ обнаруживается минимум, это свидетельствует о том, что образец ПАВ содержит примеси, обладающие более высокой поверхностной активностью, нежели основное ПАВ.

Рис. 8. Изотермы поверхностного натяжения растворов С^Еб, измеренные при различных температурах

Рис. 9. Поверхностно-активные примеси в образце ПАВ являются причиной минимума на зависимостях поверхностного натяжения от концентрации ПАВ.

Два важных наблюдения были сделаны для таких систем. Во-первых, поверхностное натяжение медленно снижается до достижения равновесного значения в течение очень длительного времени. Это объясняется тем, что примеси могут присутствовать в очень малых концентрациях, и снижение поверхностного натяжения лимитируется диффузией компонента из объема раствора к поверхности. Во-вторых, в таких системах величина равновесного поверхностного натяжения зависит от соотношения поверхность: объем для конкретного образца. Чем больше объем раствора, тем больше примеси может адсорбироваться на поверхности и тем сильнее снижается поверхностное натяжение.

Трудности при интерпретации адсорбции полимеров

Измерение поверхностного натяжения растворов полимеров нередко приводит к путанице. На рис. 10 представлены зависимости поверхностного натяжения от объемной доли для полидиметилсилоксана в тетралине. По мере увеличения молекулярной массы полимера снижение поверхностного натяжения при низкой концентрации становится более сильным. Причина в плохой совместимости полимера и растворителя. Растворимость полимера уменьшается при увеличении его молекулярной массы. Молекулы полимера с большей молекулярной массой выталкиваются из объема раствора на поверхность, где число контактов сегментов полимера с растворителем понижено по сравнению с раствором. Из-за низкой растворимости молекул с большой молекулярной массой высокомолекулярное вещество сильно концентрируется на поверхности, и поверхностное натяжение снижается. Известно, что это явление часто приводило к неправильным выводам о мицеллообразовании полимера, поскольку в этом случае зависимости поверхностного натяжения от концентрации похожи на соответствующие кривые для мицеллярных растворов.


Рис. 10. Зависимости поверхностного натяжения растворов в тетралине полидиметилсилоксанов различных молекулярных масс от объемной доли полимера в растворе.

Видно, что наиболее сильно поверхностное натяжение снижается при низких концентрациях для полимера с наибольшей молекулярной массой, причем ход зависимости аналогичен кривым изменения поверхностного натяжения растворов поверхностно-активных веществ

Равновесное поверхностное натяжение

К простым способам измерения поверхностного натяжения относится метод кольца дю Нуи. Платиновое кольцо притапливают в жидкости, и измеряется сила, необходимая для вытягивания кольца через поверхность. Вместо кольца можно использовать платиновую пластинку. Измеряют силу втягивания пластинки в жидкость, эта сила зависит от краевого угла смачивания пластины жидкостью. Очень простым методом измерения поверхностного натяжения является измерение подъема смачивающих жидкостей в капиллярах. Высота подъема hпрямо пропорциональна поверхностному натяжению согласно уравнению г = rhpg/2, где г—радиус капилляра, с — плотность жидкости, g— ускорение свободного падения. Это уравнение справедливо только для жидкостей, идеально смачивающих стенки капилляра, т. е. когда краевой угол смачивания равен нулю.

В некоторых системах равновесное состояние устанавливается очень долго, и измерения поверхностного натяжения в этих случаях занимают длительное время. К таким системам относятся растворы высокомолекулярных ПАВ. Для подобных систем приемлемым методом измерения является метод висящей капли. Мерой поверхностного натяжения в этом случае служит форма капли; капли, близкие к сферическим, образуются из жидкостей с большим поверхностным натяжением, удлиненные капли образуются из жидкостей с низким поверхностным натяжением. Этот метод пригоден также для измерения межфазного натяжения между двумя взаимно нерастворимыми жидкостями.

Рис. 11. Поверхностное натяжение можно измерить: методом дю Нуи, методом пластинки Вильгельми, методом подъема жидкости в капилляре, методом висящей капли

Динамическое поверхностное натяжение

Динамическое поверхностное натяжение можно измерять различными способами, например методом наибольшего давления в пузырьке. Воздух непрерывно пропускается через два капилляра различных диаметров, погруженных в раствор. Давление, которое требуется для образования пузырька, обратно пропорционально диаметру капилляра и прямо пропорционально поверхностному натяжению жидкости. Использование двух капилляров позволяет не измерять глубину погружения капилляра в жидкость. Данным методом измеряют динамическое поверхностное натяжение в интервалах времени 1-10 мс. При необходимости измерять динамическое поверхностное натяжение в еще более коротких интервалах используют метод осцилляции струи. Жидкая струя испускается из отверстия эллиптической формы.

Из-за некругового поперечного сечения струя механически неустойчива, жидкость в струе стремится принять круговое поперечное сечение, что приводит к осцилляции сечения между предельными значениями. Частота таких осцилляции связана с динамическим поверхностным натяжением.

Поверхностное и межфазное натяжения как результат межмолекулярных взаимодействий

Обсудим зависимость поверхностного и межфазного натяжения от особенностей взаимодействия между молекулами. Для простоты изложения энтропийные вклады в поверхностное натяжение можно не учитывать. Запишем энергию, приходящуюся на молекулу в объеме жидкости А, как

где Waa— отрицательная величина, характеризующая энергию притяжения между молекулами. Обозначим долю ближайших соседей в плоскости, параллельной поверхности, как /, а долю ближайших соседей в плоскости, расположенной над ней или под ней — как т. Тогда можно записать

Энергия на одну молекулу на поверхности вода-воздух описывается соотношением

так как в плоскости над поверхностью вода-воздух у молекулы нет соседей. Энергия, необходимая для переноса одной молекулы из объема на поверхность, выражаться тогда как

Поскольку энергия Waa— отрицательная величина, очевидно, что для переноса молекулы из объема на поверхность требуются источники положительной энергии. По этой причине капля жидкости принимает сферическую форму, достигая таким образом минимальной площади поверхности и, следовательно, минимальной полной энергии системы.

Величина AEв уравнении, будучи нормированной на площадь поперечного сечения молекулы яa9 равна поверхностной энергии. Поскольку в данном обсуждении мы пренебрегли энтропийными вкладами, эта величина равна свободной поверхностной энергии или поверхностному натяжению:

Уравнение еще раз показывает, что поверхностное натяжение жидкости является следствием энергии когезии жидкости.

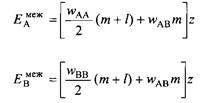
Межфазное натяжение характеризует не только энергию когезии двух жидкостей, находящихся в контакте друг с другом, но также и взаимодействие между этими жидкостями или, точнее, взаимодействие между разными молекулами. Как и ранее, запишем энергию, приходящуюся на молекулу в обеих жидких фазах, как

Энергия, приходящаяся на молекулу типа А или В на межфазной границе AB, выражается соотношениями

Энергия, необходимая для создания поверхности, выраженная на единицу площади поверхности, равна межфазному натяжению:

Из уравнения следует, что межфазное натяжение пропорционально параметрам wили ч, т. е. определяется различием свойств этих жидкостей. Так, если данная пара жидкостей сильно различается по свойствам, их межфазное натяжение будет большим как, например, в системе вода-алифатический углеводород. Если же жидкости более совместимы, межфазное натяжение будет уменьшаться и в пределе может стать равным нулю. Приведенный анализ является некоторым приближением, поскольку в нем не учитывалась взаимная растворимость жидкостей и игнорировались энтропийные вклады. Работа адгезии Wqмежду двумя материалами определяется вкладами межфазной и поверхностной энергии:

С учетом уравнений и, работу адгезии можно записать в следующем виде:

Следовательно, работа адгезии пропорциональна величине Wabи является прямой мерой межмолекулярных взаимодействий двух компонентов.

Растекание одной жидкости по поверхности твердого тела или по поверхности другой жидкости происходит, если есть выигрыш; в энергии, т.е. полная энергия системы уменьшается. Изменение энергии при растекании одной жидкости А по поверхности второй жидкости В определяется следующим уравнением:

Из этого уравнения видно, что ответ на вопрос о том, будет ли данная жидкость растекаться по другой жидкости, определяется балансом сил когезии растекающейся жидкости и межмолекулярного взаимодействия двух жидкостей - Растеканию способствует сильное межмолекулярное притяжение между компонентами А и В и препятствует большая внутренняя когезия той жидкости, которая должна растекаться. Таким образом, чтобы достичь растекания одной жидкости по поверхности другой, необходимо обеспечить притяжение между ними, а растекающаяся жидкость должна иметь низкую плотность энергии когезии. Таким примером служат силиконовые масла, растекающиеся практически по любой поверхности.

Применение теории регулярных растворов к поверхностному натяжению и адсорбции

На основании теории регулярных растворов можно получить соотношение между поверхностным натяжением и адсорбцией второго компонента. Теорию регулярных растворов удобно использовать из-за ее простоты. Конечно, для анализа растворов полимеров можно воспользоваться и теорией Флори-Хаггинса, но в последующих преобразованиях некоторая доля простоты будет утеряна. В теории регулярных растворов принимается, что а) молекулы одинаковы по размеру, б) взаимодействие реализуется только между ближайшими соселями, в) при смешении компонентов не происходит изменения объема. Изменение химического потенциала при смешении двух жидкостей по сравнению с химическими потенциалами каждой индивидуальной жидкости ма ицв выражается как

и

Параметрзависит от межмолекулярных взаимодействий:

Поверхность рассматривается как отдельная фаза, находящаяся в равновесии с объемом раствора. Толщина поверхностной фазы принимается равной одной решеточной позиции. Тогда химический потенциал поверхности можно записать как

и

где г— поверхностное натяжение раствора. В качестве стандартного состояния принимается состояние поверхностной фазы индивидуальных компонентов. Постоянная а — это площадь поперечного сечения молекулы; ее можно оценить из соотношения

где V— молярный объем, Na — постоянная Авогадро. Параметр чд отличается от соответствующего параметра объемной фазы, поскольку в этом случае отсутствует один решеточный слой. Поэтому зависимость параметра чд от межмолекулярных взаимодействий имеет вид:

Для гексагональной решетки чд = 0.75ч.

При равновесии фазы раствора с поверхностной фазой их химические потенциалы одинаковы, соответственно получаем:

Для индивидуальных компонентов уравнения превращаются в

где уд и ув — поверхностные натяжения чистых жидкостей. Таким образом, ясно, что поверхностное натяжение чистой жидкости есть разность химических потенциалов поверхностной и объемной фаз, нормированная на поперечное сечение молекул.

Подставив уравнения в уравнения, получим:

и

Анализ уравнений и показывает, что изменение поверхностного натяжения не обязательно связано с изменением поверхности. Такие изменения могут быть также обусловлены изменениями в объеме раствора. Водные растворы смесей неорганических электролитов являются примером таких систем. Поскольку электролиты не обладают сродством к поверхности, они накапливаются в объеме раствора, понижая концентрацию растворителя, и, в соответствии с уравнениями, поверхностное натяжение должно увеличиваться. Аналогично, если поверхностное натяжение не изменяется при введении второго компонента, это не означает, что растворенный компонент не адсорбируется на поверхности. Из уравнений следует, что введение второго компонента может приводить к ситуации, когда поверхностное натяжение не меняется, при выполнении следующего условия: растворенное вещество должно приблизительно поровну распределяться между поверхностью и объемной фазой, т. е. Xg/хв *L

Для атермального раствора, т. е. при условии ч = 0, поверхностное натяжение можно легко рассчитать. Используя уравнения, после ряда алгебраических преобразований получим:

и

Алгебраическая форма уравнений и идентична уравнениям и соответственно для смешанных мицелл. Величина ехр соответствует KKM. Этот результат не удивителен, поскольку поверхностное натяжение раствора отражает его состав так же, как KKM смеси ПАВ отражает состав смешанной мицеллы. Уравнения указывают на то, что компонент с более низким поверхностным натяжением преимущественно адсорбируется на поверхности. По этой причине поверхностное натяжение раствора всегда ниже среднеарифметического поверхностного натяжения индивидуальных компонентов. Комбинируя уравнения и и исключая поверхностное натяжение раствора, получим уравнение изотермы адсорбции, которое устанавливает связь между составом поверхности и составом раствора:

Если пренебречь взаимодействиями между молекулами растворителя и растворенного вещества, полагая, что ч = чд = 0, уравнение принимает вид

Данное уравнение при низких концентрациях растворенного вещества представляет собой уравнение Ленгмюра

В уравнении константа уравнения Ленгмюра К выражается соотношением

Оценить/Добавить комментарий
Имя
Оценка
Комментарии:
Хватит париться. На сайте FAST-REFERAT.RU вам сделают любой реферат, курсовую или дипломную. Сам пользуюсь, и вам советую!
Никита10:09:56 02 ноября 2021
.
.10:09:54 02 ноября 2021
.
.10:09:54 02 ноября 2021
.
.10:09:54 02 ноября 2021
.
.10:09:53 02 ноября 2021

Смотреть все комментарии (22)
Работы, похожие на Реферат: Поверхностное натяжение и адсорбция на границе вода-воздух

Назад
Меню
Главная
Рефераты
Благодарности
Опрос
Станете ли вы заказывать работу за деньги, если не найдете ее в Интернете?

Да, в любом случае.
Да, но только в случае крайней необходимости.
Возможно, в зависимости от цены.
Нет, напишу его сам.
Нет, забью.



Результаты(286816)
Комментарии (4154)
Copyright © 2005-2021 HEKIMA.RU [email protected] реклама на сайте