Реферат
по биологии
на тему:
"Поверхностно-активные полимеры"
Поверхностно-активные полимеры, или полимерные ПАВ, получили широкое распространение в последние 20 лет и сейчас используются во многих технологиях. Чаще всего их применяют для стабилизации дисперсий и для регулирования реологических свойств.
Поверхностно-активные полимеры: способы конструирования
Полимер, обладающий поверхностной активностью, можно построить одним из трех главных способов: прививать гидрофобные цепи к гидрофильному полимерному остову (основной цепи), прививать гидрофильные цепи к гидрофобному полимерному остову либо чередовать в макромолекуле гидрофильные и гидрофобные участки. Ниже рассматриваются все три способа.
Поверхностно-активные полимеры распространены и в природе; с тремя главными типами таких соединений мы встречаемся и в растительном, и в животном мире. Роль гидрофильных участков часто выполняют заряженные или нейтральные полисахариды. Антитела (белковые молекулы) обычно содержат остатки углеводов в виде боковых цепей на большом расстоянии от области связывания антигена. Их основная функция заключается в увеличении гидрофильное этого относительно гидрофобного белка. Белки молока и слюны содержат большое количество связанных фосфатных групп и поэтому обладают высокой поверхностной активностью, прекрасно стабилизируя капли жира.
Классификация поверхностно-активных полимеров на три указанные выше группы не является исчерпывающей. На самом деле для получения определенного высокомолекулярного вещества можно комбинировать несколько (два или более) из указанных путей создания поверхностно-активных полимеров. Например, полимерная цепь поверхностно-активного полимера может состоять из чередующихся гидрофильных и гидрофобных участков, а кроме того содержать гидрофильные или гидрофобные боковые цепи. Такую молекулу можно одновременно считать блок-сополимером и привитым сополимером. Привитой сополимер может также содержать гидрофобные и гидрофильные боковые цепи.
С физико-химической точки зрения важным свойством подобных макромолекул является их способность самоориентироваться на поверхности таким образом, что гидрофильные участки оказываются в полярном окружении, а гидрофобные — в липофильной фазе. Поверхностное натяжение раствора при этом понижается, поэтому такой полимер, по определению, поверхностно-активный.
Полимеры с гидрофильной основной цепью и гидрофобными боковыми цепями
Такой тип привитых сополимеров распространен в природе. Микроорганизмы с относительно высокими выходами производят липополисахариды. Было предпринято много попыток использования этого природного источника для получения продукта в промышленных масштабах. Хорошо известный пример такого ПАВ — эмульсан. Это фирменное торговое название полианионного липополисахарида, производимого в качестве внеклеточного продукта бактериями Acinetobactercalcoaceticus. Гетерополисахаридный остов состоит из повторяющихся трисахаридов, несущих отрицательный заряд. Жирнокислот-ные цепи присоединены к полисахариду через сложноэфирные связи. Степень замещения и тип жирной кислоты можно варьировать. Типичная структура такого полимерного ПАВ приведена на рис. 2.
Действие тогда еще неизвестного эмульсана впервые наблюдалось при спонтанном эмульгировании сырой нефти и морской воды на морском побережье. Были выделены бактерии, производящие эмульгирующий агент. Исследования этого агента показали, что он является высокомолекулярным поверхностно-активным веществом. При более глубоком исследовании было обнаружено, что эти бактерии выделяют два поверхностно-активных компонента, участвующих в процессе эмульгирования: низкомолекулярный пептид, обладающий очень высокой поверхностной активностью и являющийся чрезвычайно эффективным эмульгатором, и липополисахарид с молекулярной массой ~106
, который выполняет роль эффективного стабилизатора образующихся эмульсий. Компоненты обычно находятся в соотношении 1:9 по массе. Название «эмульсан» иногда употребляют для этой комбинации пептид-полисахарид, а иногда только для липополисахарида; далее под эмульсаном мы будем подразумевать только липополисахарид. Этот случай является хорошей иллюстрацией того, как природа использует поверхностно-активные полимеры: не для создания эмульсий, а для их стабилизации, если эмульгирование происходит под действием низкомолекулярного поверхностно-активного вещества. Действительно, полимерные ПАВ обычно не годятся для эмульгирования из-за их медленной диффузии к возникающим межфазным поверхностям.

Рис. 1. Некоторые примеры полимеров, состоящих из гидрофильной основной полимерной цепи и гидрофобных боковых групп

Рис. 2. Структура эмульсана
Ниже перечислены основные свойства эмульсана:
1) умеренно снижает поверхностное и межфазное натяжение;
2) обнаруживает ярко выраженное сродство к межфазным границам масло-вода;
3) сам по себе не является эффективным эмульгатором;
4) чрезвычайно эффективный стабилизатор эмульсий масел (но только определенных) в воде (но не воды в масле);
5) специфичен к границе раздела (субстрату) и составу водной фазы, его свойства наилучшим образом проявляются в присутствии двухзарядных катионов.
Молекулы эмульсана обладают лишь умеренной поверхностной активностью. В его присутствии межфазное натяжение, например, в системе вода-гексадекан снижается с 47 до 30 мН/м; это совсем небольшое понижение межфазного натяжения. Комбинация липополисахарида с пептидом понижает межфазное натяжение в той же системе до 14 мН/м. Эмульсан нерастворим в обеих жидких фазах (в воде и масле), поэтому его сродство к межфазной границе очень велико, что и определяет его высокую способность стабилизировать эмульсии.
Избирательность эмульсана по отношению к типу масляной фазы поразительна. Стабильные эмульсии «масло в воде» образуются только с маслами определенного состава, т.е. определенной комбинацией углеводородов. Наибольшая эффективность стабилизации эмульсий достигается для смеси алифатических углеводородов и алкиларильных соединений, что близко к составу тяжелой сырой нефти. Такой состав является субстратом, к которому должны быть адаптированы бактерии, производящие эмульсан. Выделение эмульсана бактериями — это путь увеличения площади межфазной границы сырая нефть-вода, на которой они живут.
Большие надежды были связана с эмульгирующей способностью эмульсана. Получение высококонцентрированных эмульсий сырой нефти в воде рассматривалось, как средство превратить чрезвычайно вязкие тяжелые масла в достаточно мобильные системы, которые можно перекачивать по трубопроводам. В то время, когда разрабатывался эмульсан, эта возможность представляла особый интерес для транспорта нефти с Аляски на основную территорию США. Эмульсию сырой нефти в воде с 75%-ным содержанием нефти, получаемую с применением эмульсана в качестве стабилизатора, можно было бы сжигать без предварительного удаления воды (подобно сжиганию концентрированных суспензий угля).
Все усилия использовать эмульсан в качестве эмульгатора нефтяных эмульсий для транспорта по трубопроводам натолкнулись на непреодолимое препятствие, связанное с тем, что эмульсан подвергается ферментативному гидролизу. Разрушение стабилизатора эмульсий во время транспортировки приводило к коалесценции эмульсий, что сильно затрудняло транспорт. В настоящее время использование эмульсана значительно снизилось, он используется в основном для мытья нефтяных танков.
Эмульсан — наиболее известный биополимер, обладающий поверхностной активностью и использующийся в промышленности. В то же время ведутся разработки путей применения и производства других липополисахаридов, выделяемых микроорганизмами (как бактериями, так и грибами). К этим исследованиям особый интерес проявляет косметическая промышленность. Процессы получения таких биологических поверхностно-активных веществ достаточно сложные и трудоемкие, а стоимость продукта относительно высока. Но следует ожидать, что в обозримом будущем разница в цене био-ПАВ и синтетических ПАВ будет сокращаться.
Природные полисахариды можно химически модифицировать, присоединяя длинные алкильные или алкиларильные цепи, и получить вещества, эквивалентные липополисахаридам. Один из возможных путей получения таких производных показан на рис. 3. В качестве исходного гидрофильного полимера взят крахмал, представляющий собой смесь линейной амилозы и сильно разветвленного амилопектина. В амилопектине можно селективно разрушить поперечные связи с помощью фермента, избирательно действующего только на 1,6-глюкозидные связи. Образующийся линейный полисахарид окисляется до альдегидов (и, возможно, до кетонов), которые затем вступают в реакцию с алифатическим амином. Степень замещения должна быть низкой (не более 10%), что легко регулируется соотношением алифатического амина и ангидроглюкозидных циклов. В противном случае возникают проблемы с растворимостью.

Рис. 3. Превращение крахмала в поверхностно-активный полимер. На схеме окисление происходит только у 6-го атома углерода ангидроглюкозидного фрагмента. В действительности окисление может приводить к раскрытию кольца между 2 и 3-м атомами углерода с образованием альдегидных групп в этих положениях. Эти альдегидные группы также подвергаются восстановительному аминированию алифатическими аминами
Аналогичный тип превращений можно провести с целлюлозой (рис. 4). Обычно целлюлозе дают набухнуть в сильной щелочи (мерсеризация); затем проводят реакцию этого полурастворенного материала с этиленоксидом и ал-килхлоридом. Если использовать короткую алкильную группу, например этильную, образующийся продукт обладает умеренной поверхностной активностью. При замене некоторого количества этильных групп на более длинные алифатические цепи получается полимер с высокой поверхностной активностью. Такие привитые сополимеры выпускаются в промышленном масштабе и называются «ассоциирующими загустителями». Они используются для придания водным композициям (например, водо-основным краскам) необходимых реологических свойств. Только небольшая доля ангидроглюкозидных циклов должна нести длинноцепочечные алкильные группы, поскольку в противном случае продукт теряет растворимость в воде. В зависимости от условий, в которых протекает реакция, гидрофобные заместители могут более или менее хаотично распределяться вдоль полисахаридного скелета. От распределения заместителей зависят физико-химические свойства продукта. Наибольшей поверхностной активностью обладают полимеры, в которых участки с высокой степенью замещения ангидроглюкозидных колец чередуются с участками с низкой плотностью замещения. Однако распределение заместителей контролировать нелегко, особенно при проведении крупномасштабного синтеза.

Рис. 4. Структура целлюлозы, которая была модифицирована этиленоксидом и ал кил хлоридом
Полимеры с гидрофобной основной цепью и гидрофильными боковыми цепями.
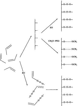
Природным продуктом этого класса являются гликопротеины, хотя полипептидную цепь, безусловно, нельзя считать полностью гидрофобной. Многие гликозилированные белки можно рассматривать как комбинацию привитых и блок-сополимеров, поскольку полипептидная цепь часто содержит гидрофильные и гидрофобные участки. Некоторые типы синтетических привитых сополимеров рассматриваемого типа приведены на рис. 5. В настоящее время большой интерес вызывают сополимеры с поли-этиленглколиевыми (ПЭГ) «хвостами». Они служат эффективными стерическими стабилизаторами для различных дисперсий. На рис. 6 представлены три способа получения ПЭГ-замещенных полиакрилатов.
Все три метода в принципе могут быть реализованы в промышленном масштабе. Этоксилированные мономеры (производные акрилатов) являются промышленно производимыми мономерами.
Как было отмечено выше, этот тип привитых сополимеров нашел применение в качестве стерических стабилизаторов дисперсий, в частности в производстве красок. Другое интересное применение этих поверхностно-активных полимеров состоит в модифицировании твердых поверхностей для предотвращения адсорбции белков и других биологических молекул. Полимеры этого типа адсорбируются с образованием монослоя на гидрофобной поверхности, причем адсорбция протекает исключительно за счет взаимодействия гидрофобной полимерной цепи с поверхностью, а цепи ПЭГ ориентируются к водной фразе. Уже установлено, что такой способ покрытия поверхности цепями ПЭГ эффективен для снижения адсорбции белков и, как следствие, снижения адгезии клеток к поверхности твердого тела. По опубликованным данным, полученным в опытах invitroи invivo, ПЭГ-покрытия заметно подавляют адсорбцию белков плазмы крови и адгезию тромбоцитов, что снижает риск тромбообразования.

Рис. 5. Некоторые полимеры с гидрофобной основной цепью и гидрофильными боковыми цепями

Рис. 6. ПЭГ-Модифицированные полиакрилаты можно получить различными путями. Верхний путь — этоксилирование полиакрилата, содержащего вдоль цепи гидроксиэтильные группы. Средний путь — реакция полиакрилата, содержащего сложноэфирные метальные группы, с монометиловым эфиром ПЭГ. Постоянное удаление метанола в течение реакции приводит к эффективной пере-этерификации. Нижний путь — полимеризация этоксилированного акрилата. Этоксилированный мономер сополимеризуется с обычными мономерами, например с акриловой или метакриловой кислотами
Инертный характер ПЭГ-модифицированных поверхностей объясняется свойствами полимера в растворе и тем, что полимер не имеет заряда. Из-за большого дипольного момента полимер сильно сольватирован водой. В то же время его гомологи полиоксиметилен и полиоксипропилен, как и его изомер полиаце-тальдегид, не растворяются в воде и поэтому не используются для получения гидрофильных привитых полимеров.
Способность ПЭГ предотвращать адсорбцию белков и других биомолекул на поверхностях можно рассматривать как эффект стерической стабилизации (рис. 7). Такой тип стабилизации обычно можно представить в виде двух вкладов: упругого и осмотического. Упругая составляющая (или ограничение объема) определяется уменьшением конформационной энтропии при сближении двух поверхностей из-за уменьшения объема, доступного для каждого полимерного сегмента. При подходе молекулы белка к поверхности, модифицированной ПЭГ, возникает сила отталкивания из-за потери конформационной свободы полиоксиэтиленовых цепей.
Осмотические взаимодействия (или взаимодействия смешения) возникают из-за повышения концентрации полимера при сжатии двух поверхностей. Когда молекула белка или любая другая большая молекула в водном растворе подходит к поверхности, число возможных конформаций сегментов ПЭГ уменьшается из-за сжатия или взаимного проникновения полимерных цепей. Кроме того, возникает отталкивание осмотической природы. Какой именно процесс будет протекать в системе (сжатие или взаимное проникновение цепей, или оба эти процесса), определяется плотностью цепей ПЭГ. При плотной прививке ПЭГ к полимерному остову преимущественно происходит сжатие, а при менее плотной прививке доминирует взаимное проникновение цепей.

Рис. 7. Отторжение белков поверхностями, модифицированными ПЭГ
Для предотвращения адсорбции белков на твердых поверхностях также весьма перспективны незаряженные полисахариды. Так, покрытие поверхностей декстранами делает их инертными, причем механизм отторжения биомолекул, по-видимому, аналогичен рассмотренному выше для ПЭГ. В то же время эти два типа полимеров по-разному реагируют на изменение температуры. ПЭГ и его производные чувствительны к температуре, вызываемая ими стерическая стабилизация ухудшается с увеличением температуры. Декстраны относительно малочувствительны к изменениям температуры.
Этоксилированные или этоксилированные и пропоксилированные феноло-формальдегидные смолы, особенно типа новолаков, нашли применение в качестве компонентов, обеспечивающих стерическую стабилизацию в покрытиях. Блок-сополимеры ЭО-ПЭО также широко используются в качестве деэмульгаторов нефтей. Алкиларильные фрагменты образуют сильно гидрофобную основную цепь, которая прочно связывается с наиболее гидрофобными поверхностями, что позволяет использовать производные с длинными гидрофильными цепями (50-100 оксиэтиленовых звеньев) без заметной десорбции полимера с поверхности. Основная полимерная цепь (алкилфенол-формальдегидный конденсат) обычно имеет относительно небольшую молекулярную массу (в пределах 1000-3000) (рис. 8).
Гребнеообразные полимеры с привитыми цепями поли(12-гидроксистеариновой кислоты) часто используются в качестве диспергаторов для неводных композиций, например красок. Низкомолекулярные цепи поли(12-гидроксистеариновой кислоты) обеспечивают стерическую стабилизацию подобно тому, как это происходит с ПЭГ в водных системах. Основная полимерная цепь содержит группы, обеспечивающие прикрепление к твердой поверхности частиц, которые должны быть диспергированы. Правильное закрепление полимера на поверхности, которое обычно базируется на кислотно-основных взаимодействиях, имеет решающее значение и определяет эффективность диспергирования. Силиконовые ПАВ представляют собой другой тип гребнеообразных полимеров с полярными боковыми цепями. Два важных представителя этого класса показаны на рис. 9.

Рис. 8. Феноло-формальдегидные этоксилированные смолы; R — небольшая алкильная цепь, обычно пропил или бутил

Рис. 9. Примеры силиконовых поверхностно-активных веществ. X— это обычно ионная или неионная полярная группа, чаще всего сополимер ЭО-ПО; иногда X— слабополярная группа, например сложноэфирная, амидная, эпоксидная и др.
Основной цепью силиконовых ПАВ практически всегда служит полидиме-тилсилоксан, который очень гидрофобен и нерастворим в воде. Поверхностную активность в водной среде ему сообщают водорастворимые заместители (заряженные или нейтральные). В качестве заместителей используют полиэтиленгликоль или сополимеры полиэтиленгликоля с полипропиленгликолем. Между атомами Si и полиэфирными цепями могут образовываться связи Si-O-C или Si - С. Связь Si-O-C возникает при этерификации хлорполисилоксанов гид-роксильными группами органических соединений, в том числе сополимера ЭО-ПО. Эта связь довольно неустойчива к гидролизу, и такие продукты не годятся для применения в кислых и щелочных средах. Связь Si-С, в которой атом углерода ЭО-ПО-сополимера непосредственно связан с атомом Si, стабильна. Такие связи образуются в процессе гидросилилирования, т. е. присоединения Si-H-группы полисилоксана по концевой олефиновой связи в присутствии платинового катализатора.
Заместитель X может иметь слабополярный характер, тогда продукт поверхностно-активен в органических средах. Для использования в неводных средах подходят только силиконовые и фторированные ПАВ.
Силиконовые ПАВ используются во многих специальных ситуациях, когда с помощью обычныех ПАВ нельзя достичь желаемого эффекта. В табл. 1 приведены некоторые характеристики силиконовых ПАВ.
Свойства силиконовых ПАВ
1. Очень сильно снижают поверхностное натяжение (до -20 мН/м).
2. Эффективно смачивают низкоэнергетические поверхности.
3. Эффективные пеногасители.
4. Плохая биоразлагаемость.
5. Относительно дорогие. Но высокая эффективность по сравнению с обычными ПАВ оправдывает экономические затраты.
Ниже перечислены основные области применения силиконовых ПАВ.
1) Добавки в полиуретановые пены для регулирования ячеистой структуры.
2) Пеногасители для многих водных систем (ЭО-ПО-замещенные продукты) и для неводных сред (обычно незамещенные полисилокеаны).
3) Добавки в краски для предотвращения седиментации пигментов и дефектов пленок (рябизна, лунки, дефекты типа «апельсиновой корки» и т. д.).
4) Смачиватели для полиолефинов и других, трудно смачиваемых материалов, смачиватели в неводных средах, например в смазках.
5) Эмульгаторы для получения эмульсий силиконовых масел.
Полимеры, состоящие из чередующихся гидрофильных и гидрофобных блоков
Многие белки содержат участки, различающиеся по гидрофобное (рис. 10). Например, казеин (белок молока) и белки, содержащиеся в слюне, принадлежат к поверхностно-активным белкам этого типа; они состоят из полярных участков с высоким содержанием фосфатных групп и областей, в состав которых преимущественно входят гидрофобные аминокислотные остатки.
Известно множество синтетических поверхностно-активных блок-сополимеров. Среди них наиболее распространены и известны сополимеры поли (алкен-гликолей). Роль гидрофильных участков в них практически всегда выполняют полиэтиленгликоли (ПЭГ), которые получают полимеризацией этиленоксида. Гидрофобные участки — это обычно полипропиленгликоли (ППГ), но существуют продукты, основанные и на поли(бутиленгликолях). Так как для двух последних полимеров исходными веществами служат пропиленоксид (ПО) и бутиленоксид (БО), все три поли(алкенгликоля) имеют одинаковую структуру основной полимерной цепи -O-C-C- а повторяющимися единицами являются
-ОСН2-СН2 - в поли (этиленгликоле)
-ОСН2СЩСН3)- в поли (пропиленгликоле)
-ОСН2СЩСН2СН3)- в поли (бутиленгликоле)

Рис. 10. Полимеры, состоящие из чередующихся гидрофильных и гидрофобных блоков
Небольшая разница в структуре этих трех типов повторяющихся единиц приводит к поразительной разнице физико-химических свойств. ПЭГ растворим в воде независимо от его молекулярной массы, два других поли (алкенгликоля) не растворяются в воде и служат гидрофобными участками в блок-сополимерах.
В литературе иногда используется термин поли (алкеноксид) вместо поли (алкенгликоль), например, поли (этиленоксид) вместо поли (этиленглиголь). Поли (этиленгликоли) иногда также называют полиоксиэтиленами (ПОЭ) или полиоксиранами. Термин «поли (этиленгликоль)» обычно относится к полимерам, молекулярная масса которых не превышает 20000, поли (этиленоксидами) называют полимеры с большими молекулярными массами, а ПОЭ и полиоксираны не имеют такой специфичности. Фрагменты в блок-сополимерах всегда имеют относительно небольшую молекулярную массу, поэтому они должны называться поли (этиленгликолями) (ПЭГ).
Возможных сочетаний ЭО-ПО в блок-сополимерах очень много, и патентная литература изобилует различными предлагаемыми соединениями. В то же время число таких соединений, производимых в промышленном масштабе, более ограниченно. Такие вещества представлены плюрониками (ЭО/ПО/ЭО) и обращенными плюрониками (ПО/ЭО/ПО) («плюроник» — это торговое название фирмы Wyandotte для поверхностно-активных веществ этого класса).
Фазовая диаграмма обнаруживает множество жидкокристаллических фаз, значительно больше, чем обычно находят для систем ПАВ-вода. Как следует из рис. 11, тройная фазовая диаграмма изобилует разнообразными фазами. Довольно необычно, что здесь в одной системе можно найти практически все жидкокристаллические фазы — от прямых кубических мицеллярных до обращенных кубических мицеллярных фаз. Очевидно, блок-сополимеры могут образовывать в растворе структуры, сильно различающиеся по кривизне.
Существуют сополимеры ЭО-ПО, в которых мономеры в блоках распределены статистически. Их получают при сополимеризации ЭО и ПО. Поскольку эти-леноксид более активен по сравнению с пропиленоксидом, то в смеси образуются заметные блоки. Используются различные приемы, позволяющие влиять на распределение мономеров в продукте, например особая подача мономеров. Разные производители пользуются различными приемами. В связи с тем, что свойства продуктов зависят от распределения мономеров, даже блок-сополимеры с одинаковым соотношением мономеров, взятые из разных источников, могут сильно различаться по свойствам.

Рис.
11. Фазовая диаграмма тройной системы «-ксилол - вода - блок-сополимер ЭО-ПО-ЭО
В табл. 2 перечислены некоторые важные свойства блок-сополимеров ЭО-ПО. Эти продукты разнообразны, недороги, и их физико-химические свойства легче контролировать, чем в случае большинства других типов ПАВ, поскольку и гидрофильные, и гидрофобные участки можно варьировать по желанию.
Плохая биоразлагаемость отрицательно характеризует эти высокомолекулярные поверхностно-активные вещества и, естественно, ограничивает их применение; можно ожидать, что в будущем эти ограничения станут еще серьезнее.
Ниже перечислены области применения блок-сополимеров ЭО-ПО. 1) Реагенты для контроля пенообразования в:
а) моющих средствах для посудомоечных машин;
б) текстильной промышленности (при окрашивании и на стадиях отделки);
в) нефтедобыче;
г) эмульсионных красках.
1. Они характеризуются обратной зависимостью растворимости от температуры (более растворимы в холодной, нежели в горячей воде) и демонстрируют точку помутнения.
2. Продукты с низким содержание ЭО обладают небольшой пенообразующей способностью (наилучший антивспениватель получен при соотношениях ЭО.ПО от 1:4 до 1:9); в то же время наименьшая пенообразующая способность характерна для обращенных продуктов ПО-ЭО-ПО.
3. Высокомолекулярные продукты с большим содержанием ПО обладают хорошими смачивающими свойствами.
4. Продукты с большим содержанием ЭО — эффективные диспергаторы.
5. Биоразложение блок-сополимеров происходит медленно, особенно продуктов с большим содержанием ПО.
2) Смачиватели в:
а) посудомоечных машинах на стадии ополаскивания;
б) смазках.
3) Диспергаторы пигментов.
4) Эмульгаторы или коэмульгаторы для получения эмульсий гербицидов и инсектицидов.
5) Деэмульгаторы в нефтедобыче (продукт должен содержать 20-50% ЭО для эмульсий типа «вода в масле» и 5-20% — для эмульсий «масло в воде»).
6) В средствах личной гигиены.
7) В фармацевтических препаратах.
Уникальные свойства высокомолекулярных поверхностно-активных веществ
Возрастающий интерес к полимерным ПАВ определяется их двумя уникальными свойствами.
1) Они обладают большим сродством к межфазным границам, что приводит к их аккумулированию на межфазных границах, независимо от физико-химических факторов. Данное свойство отличает полимерные ПАВ от обычных низкомолекулярных поверхностно-активных веществ. Это означает: а) продукты эффективно действуют при низких концентрациях; б) они нечувствительны к действию солей, изменениям температуры и др.
2) Они могут состоять из очень длинных полиоксиэтиленовых (или полисахаридных) цепей и все еще обладать сильным сродством к межфазным границам (известно, что низкомолекулярные ПАВ с длинными гидрофильными цепями склонны к десорбции с границы раздела фаз и переходу в водный раствор). Таким образом, высокомолекулярные ПАВ являются чрезвычайно эффективными стабилизаторами дисперсных систем, действующими по стерическому механизму; они также могут использоваться как агенты, предотвращающие загрязнение твердых поверхностей.
|