Банк рефератов содержит более 364 тысяч рефератов, курсовых и дипломных работ, шпаргалок и докладов по различным дисциплинам: истории, психологии, экономике, менеджменту, философии, праву, экологии. А также изложения, сочинения по литературе, отчеты по практике, топики по английскому.
Полнотекстовый поиск
Всего работ:
364139
Теги названий
Разделы
Авиация и космонавтика (304)
Административное право (123)
Арбитражный процесс (23)
Архитектура (113)
Астрология (4)
Астрономия (4814)
Банковское дело (5227)
Безопасность жизнедеятельности (2616)
Биографии (3423)
Биология (4214)
Биология и химия (1518)
Биржевое дело (68)
Ботаника и сельское хоз-во (2836)
Бухгалтерский учет и аудит (8269)
Валютные отношения (50)
Ветеринария (50)
Военная кафедра (762)
ГДЗ (2)
География (5275)
Геодезия (30)
Геология (1222)
Геополитика (43)
Государство и право (20403)
Гражданское право и процесс (465)
Делопроизводство (19)
Деньги и кредит (108)
ЕГЭ (173)
Естествознание (96)
Журналистика (899)
ЗНО (54)
Зоология (34)
Издательское дело и полиграфия (476)
Инвестиции (106)
Иностранный язык (62791)
Информатика (3562)
Информатика, программирование (6444)
Исторические личности (2165)
История (21319)
История техники (766)
Кибернетика (64)
Коммуникации и связь (3145)
Компьютерные науки (60)
Косметология (17)
Краеведение и этнография (588)
Краткое содержание произведений (1000)
Криминалистика (106)
Криминология (48)
Криптология (3)
Кулинария (1167)
Культура и искусство (8485)
Культурология (537)
Литература : зарубежная (2044)
Литература и русский язык (11657)
Логика (532)
Логистика (21)
Маркетинг (7985)
Математика (3721)
Медицина, здоровье (10549)
Медицинские науки (88)
Международное публичное право (58)
Международное частное право (36)
Международные отношения (2257)
Менеджмент (12491)
Металлургия (91)
Москвоведение (797)
Музыка (1338)
Муниципальное право (24)
Налоги, налогообложение (214)
Наука и техника (1141)
Начертательная геометрия (3)
Оккультизм и уфология (8)
Остальные рефераты (21692)
Педагогика (7850)
Политология (3801)
Право (682)
Право, юриспруденция (2881)
Предпринимательство (475)
Прикладные науки (1)
Промышленность, производство (7100)
Психология (8692)
психология, педагогика (4121)
Радиоэлектроника (443)
Реклама (952)
Религия и мифология (2967)
Риторика (23)
Сексология (748)
Социология (4876)
Статистика (95)
Страхование (107)
Строительные науки (7)
Строительство (2004)
Схемотехника (15)
Таможенная система (663)
Теория государства и права (240)
Теория организации (39)
Теплотехника (25)
Технология (624)
Товароведение (16)
Транспорт (2652)
Трудовое право (136)
Туризм (90)
Уголовное право и процесс (406)
Управление (95)
Управленческие науки (24)
Физика (3462)
Физкультура и спорт (4482)
Философия (7216)
Финансовые науки (4592)
Финансы (5386)
Фотография (3)
Химия (2244)
Хозяйственное право (23)
Цифровые устройства (29)
Экологическое право (35)
Экология (4517)
Экономика (20644)
Экономико-математическое моделирование (666)
Экономическая география (119)
Экономическая теория (2573)
Этика (889)
Юриспруденция (288)
Языковедение (148)
Языкознание, филология (1140)

Реферат: Степень набухания целлюлозы в растворах щелочей

Название: Степень набухания целлюлозы в растворах щелочей
Раздел: Рефераты по химии
Тип: реферат Добавлен 04:41:14 23 сентября 2009 Похожие работы
Просмотров: 422 Комментариев: 19 Оценило: 2 человек Средний балл: 5 Оценка: неизвестно     Скачать

РЕФЕРАТ

СТЕПЕНЬ НАБУХАНИЯ ЦЕЛЛЮЛОЗЫ В РАСТВОРАХ ЩЕЛОЧЕЙ

Москва, 2009


Введение

При действии на целлюлозу растворов щелочей происходят как структурные и химические ее изменения, так и физико-химические процессы. Последние приводят к интенсивному набуханию целлюлозы и к частичному растворению.

Природная целлюлоза не растворяется в растворах щелочей, а только набухает. Большинство технических целлюлоз, по сравнению с природной, обладает повышенной способностью к набуханию и частичной растворимостью в растворах щелочи. Это обусловлено тем, что в процессах варки и отбелки у целлюлозы значительно понижается степень полимеризации и появляются новые карбонильные и карбоксильные группы. Кроме того, в древесных технических целлюлозах всегда содержатся остаточные нецеллюлозные примеси, способные растворяться в щелочи.

Способность целлюлозы к набуханию и растворению в растворах гидроксида натрия имеет важное техническое значение, особенно в вискозном производстве, включающем в технологическую схему получения вискозного волокна и пленки стадию мерсеризации и при получении простых эфиров целлюлозы. Для характеристики способности целлюлозы к набуханию в растворах гидроксида натрия наиболее часто используют так называемую степень набухания. Это показатель качества технической целлюлозы, характеризующий способность ее к набуханию, условно определяемый по приращению массы образцов целлюлозы в 17,5%-ном растворе NaOH в процентах. Степень набухания целлюлозы в растворе гидроксида натрия оказывает большое влияние на технологический процесс получения вискозного волокна и пленок. В результате набухания целлюлозы в процессе мерсеризации облегчается удаление из нее растворимых в щелочи низкомолекулярных фракций, а также диффузия сероуглерода в волокно при последующем ксантогенировании.

С учетом требований вискозного производства степень набухания вискозной сульфитной целлюлозы должна быть в пределах 450...550, сульфатной предгидролиз-ной кордной —% и целлюлозы сульфатной предгидролизной холодного облагораживания для производства высокопрочной кордной вискозной нити не более 550...700%.

В воде целлюлоза набухает значительно меньше, чем в щелочных растворах, но способность целлюлозных волокон к набуханию в воде имеет важное значение в производстве бумаги и картона. Набухшие волокна более пластичны, гибки, легко фибриллируются и меньше повреждаются в процессе размола, что способствует улучшению физических свойств бумаги и картона.

Для характеристики устойчивости целлюлозы к растворяющему действию щелочей в производстве мерсеризированных хлопчатобумажных тканей Кроссом и Бивеном еще в конце XIX века были введены понятия альфа-, бета- и гамма-целлюлоза. С появлением производства искусственных вискозных волокон и пленок эти показатели стали использовать для оценки качества исходного целлюлозного сырья.

Альфа-целлюлоза — фракция технической целлюлозы, нерастворяющаяся в 17,5%-ном растворе NaOH с последующей промывкой. Бета-целлюлоза — фракция технической целлюлозы, растворяющаяся при обработке 17,5%-ным раствором NaOH с последующей промывкой и высаживающаяся при под-кислении. Фракция целлюлозы, остающаяся в растворе после подкисления, называется гамм а-ц еллюлозой.

Химический состав альфа-, бета- и гамма-целлюлозы не постоянен и зависит от состава исходной целлюлозы и метода ее получения. Альфа-целлюлоза представляет собой фракцию высокомолекулярной целлюлозы со степенью полимеризации выше 200. Однако она не является индивидуальным химическим соединением. Считают, что в ее составе содержатся молекулы маннана и ксилана, совместно ориентированные с целлюлозой и их фракции со сравнительно высокой СП, а также некоторая часть остаточного лигнина. Бета-целлюлоза — это низкомолекулярная разрушенная целлюлоза с примесями нецеллюлозных полисахаридов. В древесине она, по-видимому, не содержится, а образуется во время варки и отбелки. Гамма-целлюлоза представляет собой низкомолекулярную фракцию, состоящую в основном из гемицеллюлоз. В ней также имеется небольшое количество продуктов гидролитического и окислительного распада целлюлозы.

Подразделяя целлюлозу на эти фракции, следует помнить, что это подразделение условное и понятия альфа-, бета-, гамма-целлюлозы являются чисто техническими. Они характеризуют степень деструкции технической целлюлозы и позволяют косвенно судить о пригодности целлюлозы для тех или иных промышленных целей.

Считали, что чем выше содержание альфа-целлюлозы, тем больше выход и лучше качество искусственных волокон и пленок. Однако в литературе имеются данные, показывающие, что целлюлоза с высоким содержанием альфа-целлюлозы не всегда обеспечивает улучшение динамических и статических свойств волокна. Кроме того, массовая доля альфа-целлюлозы в исходной целлюлозе в пределах 95...97% в значительной мере нивелируется после мерсеризации и предсозревания щелочной целлюлозы и, следовательно, использование целлюлозы с высокой массовой долей альфа-целлюлозы во многих случаях не является достаточно обоснованным. Несмотря на это, показатель альфа-целлюлозы до сих пор не потерял своего значения для характеристики целлюлозы для химической переработки, и требования к ней в отношении содержания альфа-целлюлозы повышаются с увеличением прочности готовых изделий. Например, массовая доля альфа-целлюлозы в сульфитной целлюлозе для получения вискозной текстильной нити, вискозных волокон и целлюлозной пленки согласно существующему ГОСТ 5982—84 должна быть в пределах 90...92,5%, а для производства высокопрочной кордной вискозной нити не менее 96,7%.

В производстве ацетатной целлюлозы определение содержания альфа-целлюлозы представляет интерес только как косвенная характеристика химической чистоты целлюлозы. Массовая доля альфа-целлюлозы в сульфитной ацетатной целлюлозе предусматривается не менее 95,5%.

Бета- и гамма-целлюлозы оказывают вредное влияние на процесс получения вискозных волокон. Гамма-целлюлоза даже при периодическом способе мерсеризации удаляется не полностью. Однако эта фракция, по-видимому, затрудняет только процесс ксантогенирования щелочной целлюлозы, поскольку в процессе формования волокна она теряется. С повышением содержания бета-целлюлозы в целлюлозе и в вискозе снижаются механические свойства вискозного волокна, особенно его усталостная прочность. Поэтому массовая доля бета-целлюлозы в вискозной целлюлозе не должна превышать 3%.

Следует отметить, что показатели альфа-, бета- и гамма-целлюлозы не отражают с достаточной полнотой устойчивость целлюлозы к действию щелочи при мерсеризации, так как условия проведения последней отличаются от условий анализа. В вискозном производстве щелочная целлюлоза после мерсеризации поступает на ксантогенирование без промывки. При определении альфа-целлюлозы образец целлюлозы обрабатывают 17,5%-ным раствором NaOH, а затем отмывают от щелочи водой. При отмывке массовая доля гидроксида натрия постепенно снижается и в определенный момент может достичь 10...12%, т. е. такой, при которой наблюдается максимум растворимости целлюлозы. Однако это не означает, что при анализе обязательно достигается максимальная растворимость, так как изменение концентрации щелочи будет зависеть от условий промывки и, в частности, от ее скорости. Поэтому по показателям альфа-, бета- и гамма-целлюлозы невозможно с достаточной точностью рассчитать выход вискозного волокна и количество в нем низкомолекулярной фракции.

В связи с этим наряду с показателями альфа-, бета- и гамма-целлюлозы в практике вискозного производства используется характеристика целлюлозы по ее растворимости в растворах гидроксида натрия различной концентрации, что позволяет более точно определить массовую долю низкомолекулярных фракций, переходящих в вискозное волокно.

Наиболее часто для определения растворимости целлюлозы в щелочах используют 10 и 18%-ные растворы NaOH. При обработке целлюлозы 10%-ным раствором NaOH в раствор переходят низкомолекулярные фракции, соответствующие примерно бета- и гамма-целлюлозам. Растворимость целлюлозы в 18%-ном растворе NaOH определяет потери при мерсеризации, соответствующие примерно фракции гамма-целлюлозы, которая, по существу, отражает возможный выход вискозного волокна. Разность между растворимостью в 10 и 18%-ном растворе щелочи, как уже отмечалось, позволяет довольно точно определить массу низкомолекулярной фракции, остающейся в целлюлозном материале после мерсеризации и прессования, которая, попадая в искусственное вискозное волокно, значительно снижает его прочностные и эластические свойства. По ГОСТ 16762—82 на целлюлозу сульфатную предгидролизную кордную растворимость ее в 10%-ном растворе NaOH должна быть не более 6,1, а в 18%-ном — не более 3,6%. Чем выше разность, тем больше будет содержание низкомолекулярных фракций в волокне и ниже его качество. Кроме того, фракции, перешедшие при мерсеризации в раствор, загрязняют щелочь, что влечет за собой необходимость ее очистки и усложнение технологического процесса.


1. Методы определения степени набухания и растворимости технических целлюлоз в растворах гидроксида натрия

Набухание целлюлозы в растворах щелочей — сложный физико-химический процесс и еще окончательно не выясненный. Важнейшими факторами, оказывающими влияние на степень набухания целлюлозы, являются структура волокна, природа и концентрация реагента и температура.

Степень набухания древесных технических целлюлоз значительно выше, чем хлопковых, но ниже регенерированных. Гетерогенность надмолекулярной структуры целлюлозы, наличие в ней кристаллических и аморфных участков приводят к набуханию двух типов: межкристаллитному и внутрикристаллитному.

Важную роль при набухании играет концентрация растворов гидроксида натрия. В очень концентрированных растворах степень набухания целлюлозы уменьшается. Концентрация раствора щелочи, при которой происходит максимальное набухание, зависит от характера целлюлозного материала и от температуры обработки. С понижением температуры степень набухания целлюлозы в растворах увеличивается, поскольку набухание целлюлозы в щелочи — процесс экзотермический.

Для характеристики степени набухания технической целлюлозы определяют набухание по массе, объемное набухание, линейное расширение и капиллярную впитываемость целлюлозы. На эти показатели, кроме вышеуказанных факторов, в значительной степени оказывает влияние структура испытуемого целлюлозного листа,. Поэтому в дополнение к перечисленным показателям иногда определяют плотность технической целлюлозы, которая, в отличие от постоянной плотности целлюлозного вещества, изменяется в широких пределах. Для определения степени набухания целлюлозы обычно в практике контроля используют 17,5%-ный раствор. Однако более полная характеристика способности целлюлозы к набуханию может быть получена при определении набухания в растворах щелочи с различной массовой долей NaOH, включая и набухание в воде.

Растворимость целлюлозы в растворах гидроксидов щелочных металлов, по существу, зависит от тех же факторов, что и ограниченное набухание, т. е. от природы исходного целлюлозного материала и от условий щелочной обработки. С уменьшением степени полимеризации растворимость целлюлозы в растворах щелочи повышается. В случае гидроксида натрия максимальная растворимость хлопковой целлюлозы при обычной температуре наблюдается в растворах с массовой долей NaOH около 12%, древесной целлюлозы — 10% и ниже. С понижением температуры растворимость целлюлозы в растворе щелочи одной и той же концентрации увеличивается. Следует отметить, что растворимость целлюлозы в щелочах и влияние этого показателя на свойства волокна еще недостаточно изучены. Для характеристики целлюлозы предлагалось множество методов определения ее растворимости в растворах гидроксидов различных щелочных металлов. Однако в настоящее время для определения устойчивости целлюлозы к действию "щелочей используют только растворы гидроксида натрия. Для определения содержания альфа-, бета- и гамма-целлюлозы— 17,5%-ный раствор NaOH при 20°С, для определения растворимости — 10 и 18%-ные растворы NaOH при 20°С.

Гравиметрический метод определения альфа-целлюлозы является условным и требует строгого соблюдения условий проведения анализа. К источникам ошибок, кроме несоблюдения концентрации раствора гидроксида натрия и температуры обработки, можно отнести операции разбавления и промывки остатка альфа-целлюлозы от щелочи. До настоящего времени эти процессы не унифицированы в методах анализа, применяемых в разных странах. В одних методах образец целлюлозы после обработки 17,5%-ным раствором NaOH промывают водой, уксусной кислотой и снова водой. В других— первая промывка водой исключается, остаток на фильтре сначала обрабатывают уксусной кислотой, а затем водой. В СССР согласно стандартной методике предусматривается после обработки целлюлозы 17,5%-ным раствором NaOH промывка остатка 9,5%-ным раствором NaOH и водой, в США — 8,3%-ным раствором щелочи и уксусной кислотой. Значения массовой доли альфа-целлюлозы, определенные по методикам, включающим ее промывку раствором гидроксида натрия с меньшей концентрацией, всегда будут ниже этого показателя, полученного для одного и того же образца по методикам без дополнительной щелочной промывки.

На результатах определения массовой доли альфа-целлюлозы также сказываются перемешивание щелочной целлюлозы, скорость и продолжительность промывки. Чтобы избежать деструкции целлюлозы и повышения растворимости в растворах щелочей, необходимо перемешивание набухшей целлюлозы проводить очень медленно и осторожно. Скорость и продолжительность промывки очень трудно проконтролировать, но по возможности следует строго соблюдать постоянство их проведения.

При определении альфа-целлюлозы в небеленых целлюлозах рекомендуется определять в отдельной пробе альф а-целлюлозы остаточный лигнин и вносить поправку в расчет массовой доли альфа-целлюлозы. По другим методикам перед определением предусматривают предварительную делигнификацию небеленой целлюлозы.

Точность определения растворимости целлюлозы в растворах щелочи подобно определению массовой доли альфа-целлюлозы зависит от соблюдения условий проведения анализа, предусматриваемых методиками.

Однако воспроизводимость результатов этого метода значительно выше, чем при определении содержания альфа-, бета- и гамма-целлюлозы, так как операции разбавления и промывки в данном методе отсутствуют и массовую долю растворенной целлюлозы в растворах гидроксида натрия определяют титриметрическим методом. Титриметрический метод определения растворенной целлюлозы основан на реакции ее полного окисления до CO2 и H2O дихроматом калия в сильнокислой среде.


2. Определение степени набухания целлюлозы в растворах гидроксида натрия

Сущность метода заключается в определении приращения массы целлюлозы при ее набухании в растворах гидроксида натрия в процентах. Испытание проводится на приборе, состоящем из стеклянного цилиндра с металлической крышкой и стержня с двумя дырчатыми пластинками из нержавеющей стали.

Методика анализа. Из подготовленной объединенной пробы на штамп-прессе конструкции ЦНИИБа вырубают образцы целлюлозы в виде кружков диаметром мм с отверстием в центре кружка диаметром мм. Допускается применение пробойников и других конструкций, обеспе чивающих получение образцов тех же размеров. Края кружков должны быть ровными. Вырезанные образцы целлюлозы кондиционируют в течение 4 ч при относительной влажности воздуха % и температуре 0C и затем помещают в герметически закрывающуюся банку. Их вынимают из банки непосредственно перед определением степени набухания.

Стержень с двумя пластинками взвешивают на технических весах с точностью до 0,02 г, нанизывают на него 10 кружков кондиционированной целлюлозы и снова взвешивают. По разности находят массу кружков целлюлозы; затем стержень с целлюлозой и пластинками помещают в стеклянный цилиндр, в который предварительно заливают 70 см3 17,5%-ного раствора NaOH с температурой 0C1 и закрепляют зажимом в крышке прибора таким образом, чтобы нижняя пластинка находилась на расстоянии около 5 мм от дна цилиндра. Цилиндр помещают в водяной термостат для поддержания температуры раствора гидроксида натрия в течение всего процесса набухания °С. После пятиминутного набухания целлюлозы стержень с кружками целлюлозы поднимают и закрепляют в крышке цилиндра так, чтобы целлюлоза находилась выше уровня щелочи. В течение 5 мин дают стекать избытку щелочи с целлюлозы, при этом прибор находится в термостате. Затем стержень с целлюлозой вынимают из цилиндра и осторожно осушают фильтровальной бумагой стержень над верхней пластинкой, наружные стенки пластинок и имеющиеся в пластинках отверстия. Следует избегать прикосновения фильтровальной бумаги к набухшим образцам целлюлозы, а также их придавли-вания. После осушивания стержень с набухшей целлюлозой и пластинками взвешивают.

Степень набухания по массе,%, рассчитывают по формуле

где т — масса стержня с двумя пластинками, г; т, — масса стержня с пластинками и кружками целлюлозы до набухания, г; т2 — масса стержня с пластинками и кружками целлюлозы после набухания, г.

Расхождение между двумя параллельными определениями не должно превышать 20%.

Определение линейного расширения целлюлозы. Линейное расширение целлюлозы — это показатель качества технической целлюлозы, характеризующий способность ее к набуханию, определяемый по приращению высоты образцов целлюлозы в виде кружков в растворе гидроксида натрия и выражаемый в процентах. Линейное расширение измеряют одновременно с определением степени набухания целлюлозы по массе. Для этого следует замерить высоту столбика кружков целлюлозы между пластинками до и после обработки раствором щелочи.

Линейное расширение,%, рассчитывают по формуле

где h — высота столбика кружков целлюлозы до набухания, мм;

t, — высота столбика кружков целлюлозы после набухания, мм.

Расхождение между двумя параллельными определениями не должно превышать 20%.

3. Определение содержания альфа-целлюлозы

Метод основан на обработке целлюлозы 17,5%-ным раствором гидроксида натрия и гравиметрическом определении не-растворившегося остатка после промывки 9,5%-ным раствором гидроксида натрия и высушивания.

Методика анализа. Из объединенной пробы воздушно-сухой целлюлозы, разрезанной на кусочки размером IOX 10 мм, берут навеску массой около 3 г, помещают в фарфоровый стакан вместимостью 150 см3 и заливают 45 см3 17,5%-ного раствора NaOH1 температура которого °С. В отдельной пробе определяют влажность целлюлозы. Раствор гидроксида натрия заливают порциями: вначале приливают 15 см3 и осторожно в течение 2...3 мин размешивают целлюлозу стеклянной палочкой с плоским концом. Затем добавляют остальную часть раствора и еще равномерно и осторожно размешивают в течение 1 мин. Стакан со смесью покрывают часовым стеклом и помещают в термостат с температурой 0C на 45 мин, считая с начала обработки целлюлозы щелочью.

По истечении этого времени к массе приливают 45 см! дистиллированной воды °С, осторожно перемешивают в течение 1,5 мин и переносят массу на стеклянный фильтр класса ПОР 160 или на воронку Бюхнера диаметром 65...80 мм без бумажного фильтра. Целлюлозную массу равномерно распределяют на стеклянной пористой пластинке или на дырчатой перегородке воронки Бюхнера и отсасывают фильтрат в отсосную колбу. При фильтровании во избежание потерь волокна фильтрат пропускают дважды через слой волокна. Остаток на фильтре при слабом вакууме промывают в три приема по 25 см 9,5%-ным раствором NaOH с температурой °С. Каждую новую порцию промывной щелочи прибавляют лишь после полного отсоса предыдущей порции. Общая продолжительность промывки щелочью должна быть 2...3 мин. После отсоса щелочи волокно промывают отдельными порциями дистиллированной воды при температуре 18...20°С с промежуточным отсосом. Промывку ведут до нейтральной реакции по фенолфталеину. По окончании промывки отсасывание продолжают до исчезновения капель на кончике воронки при уплотнении палочкой. Промытый остаток пинцетом переносят в предварительно высушенный до постоянной массы бюкс и высушивают в сушильном шкафу при температуре 0C в течение 6...7 ч до постоянной массы. По окончании сушки бюкс помещают в эксикатор, охлаждают и взвешивают.

Массовую долю альфа-целлюлозы,% к абсолютно сухой целлюлозе, вычисляют по формуле

где m — масса пустого бюкса, г; т, — масса бюкса с высушенной альфа-целлюлозой, г; g — абсолютно сухая навеска целлюлозы, г.

Расхождение между двумя параллельными определениями не должно превышать 0,3%.

4. Определение массовой доли целлюлозы, растворимой в 10 и 18%-ных растворах гидроксида натрия

Сущность метода заключается в обработке целлюлозы 10 и 18%-ным раствором NaOH и окислении растворенных фракций целлюлозы дихроматом калия в кислой среде

Избыток дихромата определяют титрованием раствором гексагидрата сульфата железа -диаммония 2Fe2 · 6Н20 в присутствии ферроина. При этом протекает следующая реакция


Методика анализа. Навеску массой около 1,5 г воздушно-сухой целлюлозы, нарезанной на кусочки размером 5X5 мм или измельченной вручную помещают в стакан вместимостью 400 см3. Влажность целлюлозы определяют в отдельной пробе. Добавляют мерным цилиндром 100 см3 требуемого 10 или 18%-ного раствора NaOH с температурой 0C и включают секундомер. Ставят стакан на 2 мин в термостат с температурой °С. После набухания целлюлозы стакан устанавливают на мешалку и перемешивают до полного разделения целлюлозы на волокна.

При недостаточном разделении допускается увеличивать время перемешивания. Мешалку останавливают и вынимают из стакана, пренебрегая небольшим количеством волокон на пропеллере мешалки, так как они не влияют на результаты определения. Закрывают стакан крышкой, помещают в термостат при температуре 0C и выдерживают в нем в течение 60 мин, считая время по секундомеру с начала обработки целлюлозы щелочью. По истечении этого времени массу перемешивают стеклянной палочкой.

Примерно 20 см3 этой суспензии фильтруют при медленном отсасывании через стеклянный фильтр до исчезновения капель на кончике фильтра. Полученный фильтрат отбрасывают, так как до образования достаточного слоя волокон на фильтре часть мелких волокон может перейти в фильтрат и повысить результат определения растворимой фракции целлюлозы.

Фильтр с образовавшимся слоем волокна переносят на чистую отсосную колбу и при включенном вакууме через него медленно фильтруют оставшуюся в стакане массу, не допуская прососа воздуха через слой волокна на фильтре do избежание окисления целлюлозы кислородом воздуха в щелочной среде. Из отсосной колбы отбирают пипеткой 10 см фильтрата, переносят в коническую колбу вместимостью 250 см' и добавляют пипеткой 10 см3 раствора дихромата калия концентрацией 0,4 моль/дм3. Осторожно вращая колбу, добавляют мерным цилиндром 30 см3 концентрированной серной кислоты. Смесь при этом сильно разогревается. Колбу со смесью оставляют стоять 10 мин для завершения реакции окисления и по истечении этого времени охлаждают под струей воды до комнатной температуры. К охлажденному раствору добавляют мерным цилиндром 50 см3 дистиллированной воды и опять охлаждают до комнатной температуры.

Раствор в колбе титруют раствором соли Мора концентрацией 0,1 моль/дм3 до переходной окраски раствора от желтой к зеленой, добавляют пять-шесть капель ферроина и продолжают титровать раствором соли Мора до появления темно-красного окрашивания. Параллельно в тех же условиях проводят контрольное определение, используя 10 см3 соответствующего раствора гидроксида натрия вместо фильтрата.

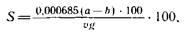
Массовую долю веществ, растворимых в щелочи >% к абсолютно сухой целлюлозе, рассчитывают по формуле

где х — объем щелочного фильтрата, взятого на окисление, см3; b — расход раствора соли Мора на титрование окисленного щелочного фильтрата, см3; а — расход раствора соли Мора на титрование контрольной пробы, см3; 0,000685 — масса целлюлозы, практически окисляемая 1 см3 раствора дихромата калия концентрацией 0,1 моль/дм3, г; g — масса навески абсолютно сухой целлюлозы, г.

Расхождение между двумя параллельными определениями не должно превышать 0,1% при массовой доле щелочерастворимой фракции целлюлозы до 4,5% и 0,3%— при массовой доле щелочерастворимой части целлюлозы выше 4,5%.

Методика иодометрического титрования. Окисление 10 см3 фильтрата проводят в конической колбе вместимостью 1 дм3 по вышеуказанной методике. К охлажденному окисленному раствору добавляют мерным цилиндром 480 см3 дистиллированной воды и снова охлаждают. После этого к смеси приливают пипеткой 20 см3 10%-ного раствора KI, выдерживают смесь в темноте в течение 5 мин и оттитровывают иод раствором тиосульфата натрия концентрацией 0, Г моль/дм3 до светлого желто-зеленого цвета. Затем в колбу добавляют 1...2 см3 0,2%-ного раствора крахмала и продолжают титровать раствором тиосульфата до перехода темно-синей окраски в светло-зеленую. Параллельно проводят контрольное определение с раствором гидроксида натрия вместо фильтрата. При этом рекомендуется сначала провести титрование контрольной пробы для того, чтобы научиться точнее определять переходную окраску, при достижении которой следует добавлять раствор крахмала.

Массовую долю веществ, растворимых в щелочи,% к абсолютно сухой целлюлозе, рассчитывают по вышеуказанной формуле, где Ь — расход раствора тиосульфата натрия концентрацией 0,1 моль/дм3 на титрование окисленного щелочного фильтрата, см1; а — расход раствора тиосульфата натрия концентрацией 0,1 моль/дм3 на титрование контрольной пробы, см3.

Оценить/Добавить комментарий
Имя
Оценка
Комментарии:
Хватит париться. На сайте FAST-REFERAT.RU вам сделают любой реферат, курсовую или дипломную. Сам пользуюсь, и вам советую!
Никита10:08:06 02 ноября 2021
.
.10:08:05 02 ноября 2021
.
.10:08:04 02 ноября 2021
.
.10:08:04 02 ноября 2021
.
.10:08:04 02 ноября 2021

Смотреть все комментарии (19)
Работы, похожие на Реферат: Степень набухания целлюлозы в растворах щелочей

Назад
Меню
Главная
Рефераты
Благодарности
Опрос
Станете ли вы заказывать работу за деньги, если не найдете ее в Интернете?

Да, в любом случае.
Да, но только в случае крайней необходимости.
Возможно, в зависимости от цены.
Нет, напишу его сам.
Нет, забью.



Результаты(287948)
Комментарии (4159)
Copyright © 2005-2021 HEKIMA.RU [email protected] реклама на сайте