Банк рефератов содержит более 364 тысяч рефератов, курсовых и дипломных работ, шпаргалок и докладов по различным дисциплинам: истории, психологии, экономике, менеджменту, философии, праву, экологии. А также изложения, сочинения по литературе, отчеты по практике, топики по английскому.
Полнотекстовый поиск
Всего работ:
364139
Теги названий
Разделы
Авиация и космонавтика (304)
Административное право (123)
Арбитражный процесс (23)
Архитектура (113)
Астрология (4)
Астрономия (4814)
Банковское дело (5227)
Безопасность жизнедеятельности (2616)
Биографии (3423)
Биология (4214)
Биология и химия (1518)
Биржевое дело (68)
Ботаника и сельское хоз-во (2836)
Бухгалтерский учет и аудит (8269)
Валютные отношения (50)
Ветеринария (50)
Военная кафедра (762)
ГДЗ (2)
География (5275)
Геодезия (30)
Геология (1222)
Геополитика (43)
Государство и право (20403)
Гражданское право и процесс (465)
Делопроизводство (19)
Деньги и кредит (108)
ЕГЭ (173)
Естествознание (96)
Журналистика (899)
ЗНО (54)
Зоология (34)
Издательское дело и полиграфия (476)
Инвестиции (106)
Иностранный язык (62791)
Информатика (3562)
Информатика, программирование (6444)
Исторические личности (2165)
История (21319)
История техники (766)
Кибернетика (64)
Коммуникации и связь (3145)
Компьютерные науки (60)
Косметология (17)
Краеведение и этнография (588)
Краткое содержание произведений (1000)
Криминалистика (106)
Криминология (48)
Криптология (3)
Кулинария (1167)
Культура и искусство (8485)
Культурология (537)
Литература : зарубежная (2044)
Литература и русский язык (11657)
Логика (532)
Логистика (21)
Маркетинг (7985)
Математика (3721)
Медицина, здоровье (10549)
Медицинские науки (88)
Международное публичное право (58)
Международное частное право (36)
Международные отношения (2257)
Менеджмент (12491)
Металлургия (91)
Москвоведение (797)
Музыка (1338)
Муниципальное право (24)
Налоги, налогообложение (214)
Наука и техника (1141)
Начертательная геометрия (3)
Оккультизм и уфология (8)
Остальные рефераты (21692)
Педагогика (7850)
Политология (3801)
Право (682)
Право, юриспруденция (2881)
Предпринимательство (475)
Прикладные науки (1)
Промышленность, производство (7100)
Психология (8692)
психология, педагогика (4121)
Радиоэлектроника (443)
Реклама (952)
Религия и мифология (2967)
Риторика (23)
Сексология (748)
Социология (4876)
Статистика (95)
Страхование (107)
Строительные науки (7)
Строительство (2004)
Схемотехника (15)
Таможенная система (663)
Теория государства и права (240)
Теория организации (39)
Теплотехника (25)
Технология (624)
Товароведение (16)
Транспорт (2652)
Трудовое право (136)
Туризм (90)
Уголовное право и процесс (406)
Управление (95)
Управленческие науки (24)
Физика (3462)
Физкультура и спорт (4482)
Философия (7216)
Финансовые науки (4592)
Финансы (5386)
Фотография (3)
Химия (2244)
Хозяйственное право (23)
Цифровые устройства (29)
Экологическое право (35)
Экология (4517)
Экономика (20644)
Экономико-математическое моделирование (666)
Экономическая география (119)
Экономическая теория (2573)
Этика (889)
Юриспруденция (288)
Языковедение (148)
Языкознание, филология (1140)

Дипломная работа: Коммутация в сетях с использованием асинхронного метода переноса и доставки

Название: Коммутация в сетях с использованием асинхронного метода переноса и доставки
Раздел: Рефераты по коммуникации и связи
Тип: дипломная работа Добавлен 15:19:01 26 октября 2010 Похожие работы
Просмотров: 1350 Комментариев: 20 Оценило: 3 человек Средний балл: 5 Оценка: неизвестно     Скачать

ВВЕДЕНИЕ

В 1998 году специалисты компании Lucent Tehnologies обратили внимание на то, что в США за последние 15 лет скорость работы запоминающих устройств возросла в 90 раз (с 450 до пяти нс), скорость работы центральных процессоров узлов коммутации повысилась в 250 раз(с одного до 250 Мбит/с), а скорость передачи информации по линиям связи увеличилась в 11000 раз (с 56 кбит/с до 622 Мбит/с). Отсюда возникла необходимость в создании такой коммутационной техники, которая могла бы обрабатывать порядка 10000 вызовов в минуту при времени установления соединения не более 100 мкс. В месте с тем, еще в 1987 году в соответствии с рекомендациями бывшего МККТТ в качестве технической основы ШЦСИО была принята технология АТМ. Поэтому новая техника коммутации работает с ячейками АТМ.

В настоящее время технология АТМ лежит в основе глобальной высокоскоростной магистральной сети, предоставляющей услуги мультимедиа, то есть услуги, которые могут одновременно использовать несколько различных служб связи. Для работы такой сети требуется как транзитные узлы коммутации, так и узлы доступа, осуществляющие коммутацию на местном и региональном уровне. Естественно, что отдельные конкретные узлы коммутации могут объединять обе эти функции.

Главной задачей, при разработке ATM-коммутатора, является увеличение пропускной способности и улучшение других характеристик данного оборудования и сети ATM в целом. ATM-коммутация отличается от традиционной использованием высокоскоростных интерфейсов, причем производительность внутренней коммутационной матрицы может достигать десятков гигабит в секунду. Кроме того, необходимо обеспечить возможность статистического мультиплексирования потоков, проходящих через коммутационные системные мо дули. Наконец, передача различных видов трафика с несхожими требованиями к количественным характеристикам функционирования сети (доля потерянных ячеек, допустимый процент ошибок, время задержки) сама по себе является непростой задачей.

Чтобы удовлетворять всем указанным критериям, АТМ-коммутаторы должны значительно отличаться от традиционных устройств. Функции коммутационной системы ATM не ограничиваются буферизацией и маршрутизацией ячеек. Такая система представляет собой сложную структуру, состоящую из нескольких интегрированных модулей, которая способна не только передавать ячейки, но и управлять трафиком, отдельными соединениями и сетью в целом.

1. КОММУТАЦИЯ В ТЕХНОЛОГИИ АТМ

1.1 КОММУТАТОРЫ ДЛЯ ТЕХНОЛОГИИ ATM

Широкое применение коммутаторов значительно повысило эффективность использования сети за счет равномерного распределения полосы пропускания между пользователями и приложениями. Несмотря на то что первоначальная стоимость была довольно высока, тем не менее они были значительно дешевле и проще в настройке и использовании, чем маршрутизаторы. Широкое распространение коммутаторов на уровне рабочих групп можно объяснить тем, что коммутаторы позволяют повысить отдачу от уже существующей сети. При этом для повышения производительности всей сети не нужно менять существующую кабельную систему и оборудование конечных пользователей.

Общий термин "коммутация" применяется для четырех различных технологий:

· Конфигурационной коммутации;

· Коммутации кадров;

· Коммутации ячеек;

· Преобразования между кадрами и ячейками.

В основе конфигурационной коммутации лежит нахождение соответствия между конкретным портом коммутатора и определенным сегментом сети. Это соответствие может программно настраиваться при подключении или перемещении пользователей в сети [1].

При коммутации кадров используются кадры сетей Ethernet, Token Ring и т.д. Кадр при поступлении в сеть обрабатывается первым коммутатором на его пути. Под термином обработка понимается вся совокупность действий, производимых коммутатором для определения своего выходного порта, на который необходимо направить данный кадр. После обработки он передается далее по сети следующему коммутатору или непосредственно получателю.

В технологии ATM также применяется коммутация, но в ней единицы коммутации носят название ячеек. Преобразование между кадрами и ячейками позволяет станциям в сети Ethernet, Token Ring и т.д. непосредственно взаимодействовать с устройствами ATM. Эта технология применяется при эмуляции локальной сети [2].

Коммутаторы делятся на четыре категории:

Простые автономные коммутаторы сетей рабочих групп позволяют некоторым сетевым устройствам или сегментам обмениваться информацией с максимальной для данной кабельной системы скоростью. Они могут исполнять роль мостов для связи с другими сетевыми сегментами, но не транслируют протоколы и не обеспечивают повышенную пропускную способность с отдельными выделенными устройствами, такими как серверы.

Коммутаторы рабочих групп второй категории обеспечивают высокоскоростную связь одного или нескольких портов с сервером или базовой станцией.

Третью категорию составляют коммутаторы сети отдела предприятия, которые часто используются для взаимодействия сетей рабочих групп. Они представляют более широкие возможности администрирования и повышения производительности сети. Такие устройства поддерживают древовидную архитектуру связей, которая используется для передачи информации по резервным каналам и фильтрации пакетов. Физически такие коммутаторы поддерживают резервные источники питания и позволяют оперативно менять модули.

Последняя категория - это коммутаторы сети масштаба предприятия, выполняющие диспетчеризацию трафика, определяя наиболее эффективный маршрут. Они могут поддерживать большое количество логических соединений сети. Многие производители корпоративных коммутаторов предлагают в составе своих изделий модули ATM. Эти коммутаторы осуществляют трансляцию протоколов Ethernet в протоколы ATM [4].

Для коммутационного оборудования ATM можно выделить две основные задачи:

- VPI/VCI трансляция;

- транспортирование ячейки от входа к нужному выходу.

Для выполнения данных задач необходимо применить 2 метода:

- самоупорядочивающий принцип;

- принцип табличного контроля.

При использовании самоупорядоченного метода коммутации элемента VPI/VCI трансляция должна быть выполнена лишь на входах коммутационного элемента. После передачи ячейка оказывается под влиянием коммутационной сети. Расширение заголовка ячейки требует увеличения внутренней скорости сети.

При использовании принципа табличного контроля VPI/VCI заголовок ячейки будет изменяться в каждом новым элементе. Поэтому нет необходимости изменения длины ячейки.

Содержания таблиц модернизируется во время фазы установки связи. Каждый вход таблицы состоит из обновленных VPI/VCI и номеров соответствующих выходов.

Общая структура ATM системы (коммутатора или перекрестного соединения) сконструирована в соответствии со следующими принципами:

o -система может быть использована равно как коммутатор либо перекрестные соединение. Причем детали могут быть идентичными, тогда как оборудования будет разным эта архитектура также обеспечивает

o -возможность реализации функций коммутатора и перекрестного соединения одним узлом.

o коммутационная сеть использует самоупорядочивающий метод, как один из самых перспективных.

o взаимосвязанная информация хранится в том периферийном оборудование, которые запрашивает определенной связью. Это позволяет получать высокое быстродействие для взаимосвязной информации.

o используются нестандартные ячейки в коммутационной сети. Адаптация используемых различных ячеек, производится в модулях интерфейса пользователя.

Общая структура коммутатора перекрестного соединения, состоит из следующих модулей [1,3]:

· Широкополосного линейного модуля абонента (SLMB).

· Широкополосного магистрального модуля (ТМВ).

· Мультиплексора.

· Коммутационной сети.

· Системного контроля.

Пользователь подключается к коммутационной сети или к мультиплексору с помощью широкополосного линейного пользовательского модуля (SLMB). Связь с другими коммутаторами и перекрестными соединениями осуществляется через широкополосный магистральный модуль (ТМВ), который достигает скорости передачи до 2.4 Гбит/с.

Мультиплексор используется для местной концентрации абонентского трафика и коммутатора. Коммутационная сеть соединяет модули интерфейса, мультиплексора и контрольного процессора; Она также используется для осуществления внутренней связи между узлами подсистем.

Контрольный процессор осуществляет системный контроль. Также он может выполнять функции, связанные с сигнализацией или сетевым управлением.

Для достижения высокой надежности работы системы мультиплексор, коммутационная сеть или контрольный процессор иногда дублирует функции друг друга.

На входе интерфейсный модуль (SLMB или ТМВ) посылает копии каждой ячейки, как в мультиплексор, так и в коммутационную сеть. На выходе модули интерфейса решают, какая ячейка и откуда должна быть передана.

В коммутаторе необходимо установить связь между произвольной парой входов и выходов, учитывая коммутационные узлы. В принципе, функция коммутатора может быть выполнена одиночным коммутационным элементом. Если же этот элемент не в состоянии отвечать предъявляемым требованиям большого ATM коммутационного узла, то используются большие коммутаторы, построенные из нескольких коммутационных элементов.

Информация в коммутационном узле достигает скорости в несколько

Гбит/с, вследствие чего в узле может произойти задержка, в этом случае возникает необходимость уменьшения потерь ячеек. Поэтому централизованный контроль не может быть применен в коммутационных ячейках. И только коммутаторы с высокой параллельной архитектурой могут отвечать таким жестким требованиям.

1.2 КОММУТАЦИОННЫЕ ЭЛЕМЕНТЫ

Коммутационный элемент является основной частью коммутатора [4,5,6]. На порту информация поступившей ячейки анализируется и ячейка затем направляется на определенный выход. Обычно коммутационный элемент состоит из взаимосвязной сети, выходного контроллера (1C) для каждой входящей линии и выходного контроллера (ОС) для каждой исходящей линии (рисунок 1.1). Для предупреждения чрезмерной потери ячеек в случае внутренней коллизии (противоречия) (2 или более ячейки «соревнуются» на одном и том же выходе одновременно), внутри коммутационных элементов необходимо предусматривать размещение буферов.

Поступившая ячейка синхронизирована в соответствии с внутренним временем входного контроллера (1C). Выходной контроллер (ОС) транспортирует ячейки, полученные от взаимосвязной сети, по назначению. Входные и выходной контроллеры попарно соединены сетью взаимосвязи.


IC - input controller - входной контроллер

ОС- output controller - выходной контроллер

Рисунок 1.1- Стандартная модель коммутационного элемента

1.3 МАТРИЧНЫЕ (ПЕРЕКРЕСТНЫЕ) КОММУТАЦИОННЫЕ СТРУКТУРЫ

Внутренняя не блокируемая коммутационная структура может быть

построена путем использования перекрестной прямоугольной матрицы для создания взаимосвязной сети (рисунок 1.2). Одновременно с этим существует

возможность связки любой незанятой пары вход / выход. Так или иначе,

перекрестная связь входа и выхода зависит от информации ячейки так же, как и от случайности возникновения «опасных соревнований» ячеек [7,8].

Внутри такой коммутационной структуры возможны различные расположения буферов:

· На входных контроллерах

· На выходных контроллерах

· В узлах матрицы


1C - входной контроллер

ОС - выходной контроллер

Рисунок 1.2 - Матричная коммутационная структура

1.4 ВХОДНАЯ БУФЕРИЗАЦИЯ В КОММУТАТОРАХ МАТРИЧНОГО ТИПА

При входной буферизации отдельные буферы размещаются на входных контроллерах (рисунок 1.3). При использовании FIFD буферов (first-in first-out) конкуренция возникает в случае появления двух или более ячеек, находящихся в голове очереди, стремящихся одновременно к одному и тому же выходу [3,8]. В этом случае происходит блокировка в голове очереди, т.е. пакеты, следующие за блокированным в голове очереди пакетом, также блокируется, даже если они предназначены для другого доступного выхода.


Рисунок 1.3 - Коммутатор матричного типа с входными буферами

Для преодоления этого недостатка, FIFD буфера могут быть замещены на запоминающее устройство с произвольной выборкой (RAM). Если первая ячейка заблокирована, то для передачи выбирается следующая, при условии, что ее порт назначения свободен. Однако такой режим функционирования требует более сложного управления буферами для нахождения ячеек, следующих к свободным портам выхода, и обеспечения порядка следования пакетов, направляющихся на один и тот же выход. Общая емкость буфера должна логически разделяться в зависимости от нагрузки на разные буферы FIFD (по количеству выходных линий).

Дальнейшие улучшения могут быть достигнуты при условии, что два или более ячейки могут быть переданы одновременно из одного буфера к различным выходам. Это требует использования буфера с множеством выходов или буфера с пониженной произвольной выборкой времени.

1.5 ВЫХОДНАЯ БУФЕРИЗАЦИЯ В КОММУТАТОРАХ МАТРИЧНОГО ТИПА

Рисунок 1.4 показывает коммутационную структуру, состоящую из матрицы с выходными буферами [8,9]. Только в случае, когда матрица функционирует на той же скорости, что и входящие линии, может возникнуть конфликт «опасных соревнований» (несколько ячеек одновременно стремятся попасть на один выход). Этот недостаток может быть сконцентрирован путем понижения прямого доступа буферного времени и увеличения скорости коммутатора матричного типа. Эти факторы могут привести к технологическим ограничениям в размере коммутационной структуры.

Коммутационный элемент с выходной буферизацией будет не блокируемым в том случае, когда фактор быстродействия коммутатора матричного типа равен b (т.е. b ячеек одновременно стремятся попасть на один выход) для b x b коммутационного элемента. В других случаях, добавочные буферы необходимы на входе для избежания потери ячеек под действием внутренней блокировки.

Рисунок 1.4 - Коммутатор матричного типа с выходной буферизацией

1.6 БУФЕРИЗАЦИЯ В ТОЧКАХ ПЕРЕСЕЧЕНИЯ КОММУТАТОРА МАТРИЧНОГО ТИПА

Буферы могут быть также расположены в индивидуальных точках пересечения матрицы (рисунок 1.5) [8]. Такой коммутационный элемент получил название «Бабочка» (butterfly). Эта схема предупреждает столкновение ячеек, движущихся к одному выходу. Если более чем в одном буфере находятся ячейки, предназначенные для одного и того же выхода, то по той или иной системе должен быть выбран буфер, обслуживаемый первым.

Рисунок 1.5 - Буферизация в точках пересечения коммутатора матричного типа

В действительности, эта стратегия размещения буфера имеет недостаток: малого размера буфер требуется на каждой точке пересечения (узле), и разделить этот буфер не представляется возможным. Поэтому невозможно достигнуть той же эффективности работы коммутационной структуры, какую обеспечивает коммутационная структура с выходной буферизацией.

1.7 КОЛЬЦЕОБРАЗНЫЙ ТИП СТРУКТУРЫ КОММУТАТОРА

В кольцеобразном типе структуры коммутатора все входы и выходы взаимно соединены через кольцевую сеть, которая должна быть управляема особым образом, чтобы минимизировать избыток [1,8]. В принципе, фиксированное время размещения схемы может быть использовано, но это требует кольцевой емкости, которая является суммой емкостей всех входящих звеньев. Если кольцевая мощность меньше, чем входная мощность, то гибкое эластичное размещение схемы является необходимостью, которая результирует добавочный избыток.

Кольцевая структура имеет преимущество под шинной структурой в том, что промежуток времени может быть использован несколько раз за одно

вращение. Однако это требует, чтобы выходные контроллеры были освобождены в течение заданного времени.

1.8 ОСОБЕННОСТИ КОММУТАТОРА БАНЬЯНОВИДНОГО ТИПА

Коммутационной структуре матричного типа требуется N2 ключей, что усложняет работу такой коммутационной структуры при увеличении N (свыше двух десятков). Поэтому были предприняты поиски альтернативных коммутационных структур, основанных на многокаскадных сетях [5,6].

Чтобы наилучшим способом описать концепцию многокаскадных структур коммутаторов с пространственным разделением, обратимся к абстрактной модели коммутатора с пространственным разделением и рассмотрим возможность реализации разветвителей и концентраторов с помощью элементарных (2х2)-переключателей, которые могут находиться в двух состояниях - сквозном и перекрестном.

Разветвитель на N=2k выходов может быть построен в виде двоичного дерева с k разветвлениями на N-1 двоичном коммутационном элементе. В таком дереве существует единственный путь от корня (входа) до каждого из листьев. Таким образом, такой разветвитель обладает свойством самомаршрутизации.

Проблема, связанная с таким вариантом конструкции многокаскадного коммутатора с пространственным разделением, имеет два аспекта:

o во-первых, требуемое число переключателей равно 2N2 -N, т.е. почти вдвое больше количества элементов в коммутаторе матричного типа;

o во-вторых, требуется N промежуточных буферов и N2 соединений между разветвителем и концентратором.

Однако в каждом временном интервале для передачи одного пакета с входа на выход требуются не все переключатели, имеющиеся в дереве. Возможно совместное использование переключателей несколькими разетвителями. Путем добавления пар входных каналов к уже имеющейся структуре можно соединить между собой N входов и N выходов, используя только (N / 2)log2 N элементарных двоичных переключателей.

У конструкции коммутатора с пространственным разделением и числом элементов (N / 2)log2 N существует два интересных свойства [1,4]:

- первое - это сокращение общего числа переключателей;

- второе - возможность возникновения внутренних конфликтов.

При этом возникновение внутренних конфликтов будет иметь место не только в случае, когда на переключатель поступают два пакета, которые должны быть направлены на один и тот же выход, но внутренние конфликты могут возникать и в случаях, когда пакеты не предназначены для одного и того же выходного порта.

Существует очень большое количество разнообразных многокаскадных структур. За последние два десятка лет специалисты разных стран проводили исследования многокаскадных коммутационных структур и наработали комплекс типовых решений, актуальных на сегодняшний день.

Однако, независимо от конкретной разновидности все N´N многоканальные структуры обладают следующими основными свойствами:

oсуществует единственный путь, соединяющий входной канал с выходным;

oустановление соединений может быть осуществлено децентрализовано с использованием процедуры самомаршрутизации;

oво всех сетях возможно одновременное установление не более N соединений;

oструктура сети является регулярной, что удобно для реализации на СБИС;

oструктура является модульной, что позволяет строить большие сети без необходимости модификации физической компоновки или алгоритмов.

Основной недостаток такой структуры заключается в наличии внутренних блокировок, что снижает пропускную способность коммутатора.

Основными способами преодоления внутренних блокировок, повышения пропускной способности коммутатора и уменьшения потерь пакетов являются [8,9]:

oразмещение в местах возникновения конфликтов буферов, т.е. использование буферизованной Баньяновидной структуры;

oиспользование входной буферизации и блокировки ячеек на входе с помощью управляющих сигналов, формируемых при возникновении конфликта;

oиспользование входной буферизации в сочетании с сортировкой входных пакетов с целью устранения выходных конфликтов и перехода к перестановкам, при которых гарантируется отсутствие конфликтов;

oпараллельное, или тандемное, использование группы Баньяновидных соединительных сетей, что увеличивает число возможных путей между входами и выходами и в пределе позволяет получить характеристики соответствующей выходной буферизации.

1.9 БУФЕРИЗОВАННАЯ БАНЬЯНОВИДНАЯ СТРУКТУРА КОММУТАТОРА ATM

При буферизованной Баньяновидной структуре коммутатора ATM на входе каждого коммутатора помещается буфер [9]. Однако, буферизация в Баньяновидной сети решает проблему внутренних конфликтов только тогда, когда эти конфликты не существуют в одних и тех же переключателях в течение длительного времени (как, например, в случае группирующегося трафика с большой длиной пачек).

Может быть предложено два способа для уменьшения потерь ячеек при передаче пачечного трафика. Первый способ состоит в увеличении скорости работы внутренних соединений по сравнению с внешними каналами. Второй способ заключается в рандомизации входного трафика по разным входам, чтобы распределить его по всей коммутационной сети и тем самым устранить эффект пачечного трафика. Для этого перед коммутационным полем ставится распределительная сеть. Эта сеть также является Баньяновидной, но пакеты в ее переключателях поочередно направляются на оба выхода. При этом адресная информация игнорируется. Кроме того, если один или два порта блокированы, то пакеты передаются на первый освободившийся порт.

1.10 БАНЬЯНОВИДНАЯ КОММУТАЦИОННАЯ СТРУКТУРА БАТЧЕРА

В Баньяновидной коммутационной структуре Батчера ячейки вначале поступают на сортировщик Батчера, в котором они сортируются (расставляются) в соответствии со своими адресами [7,9,10]. В этом случае при их направлении в Баньяновидную сеть с самомаршрутизацией внутренних конфликтов быть не должно. Однако могут быть выходные конфликты между пакетами, которые направляются на один и тот же выход. Для преодоления выходных конфликтов сортировщик Батчера дополняются специальной сетью - "ловушкой", которая распознает запросы одного и того же порта на выходе сортировщика путем сравнения адресных запросов и оставляет во всех кратных адресных запросах лишь первые.

Пакеты, которые не были пропущены "ловушкой" в коммутационную сеть, возвращаются через рециркулятор в коммутационную структуру в последующие возможные интервалы. Для этой цели специально отводится некоторое число М входных портов, что уменьшает количество входов-выходов N, обслуживаемых коммутатором ATM.

Баньяновидная коммутационная структура Батчера использовалась при разработке коммутатора Starlite в AT&T Bell Laboratories, а также коммутатора Sunshine в Bell Communications Research.

1.11 МНОГОКАСКАДНЫЕ СОЕДИНЕНИЯ С ПОЛНОДОСТУПНЫМ ВКЛЮЧЕНИЕМ

Многокаскадные сети могут быть использованы для избежания помех, которые происходят в однокаскадных сетях [10,11,12]. Многокаскадные сети строятся на основе нескольких каскадов, соединенных между собой

определенными звеновыми структурами. В соответствии с качеством данных структур, позволяющих достичь необходимый выход из данного входа, такие сети делят на 2 группы: однонаправленные и многонаправленные сети.

1.12 КОММУТАЦИОННАЯ СИСТЕМА С ДВУМЯ КАСКАДАМИ

Модель коммутационной системы с двумя каскадами, представленная в рисунке 1, включает r1 матрицы n´r2 в первом каскаде и r2 матрицы r1 ´m во втором каскаде [10,12]. Эта система ясно имеет полный доступ, но в то же самое время блокируется. Фактически, если мы выбираем пару произвольных матриц Ai и Bj , в первом каскаде Ai и втором каскаде Bj , то получаем, что не более, чем одно подключение между n входами и m выходами может быть установлено в данное время. Так как этот предел возникает из-за одиночной связи между матрицами, то не блокирующая полнодоступная сеть с двумя каскадами может быть легко получена, если должным образом будет расширено межкаскадное проключение, которое обеспечивает d связей между любой парой матриц в двух каскадах (рисунок 1.6).

Минимальный фактор расширения, требуемый в не блокируемой сети равен: d = min(n,m), так как не более min(n,m), проключений может быть установлено между Аi и Bj одновременно.


Рисунок 1.6 - Двух каскадная полнодоступная коммутационная система

Стоимость не блокирующей коммутационной системы с двумя каскадами очевидно в d раз больше стоимости не расширенной системы с двумя каскадами [12].

1.13 КОММУТАЦИОННАЯ СИСТЕМА С ТРЕМЯ КАСКАДАМИ

Общая схема системы с тремя каскадами представлена на рисунке 1.7 на котором, как обычно, n и m обозначают число входов и выходов первого –(A) и третьего - (С) каскада матрицы, соответственно [11,12]. Адаптация трех каскадов в многоступенчатую сеть, представляет очень важную особенность: различные пути ввода - вывода доступны между любой парой матриц и каждый путь использует различные матрицы во втором каскаде (B). Два пути ввода - вывода могут совместно использовать межкаскадные связи, то есть когда эти два входа (выхода) принадлежат той же самый А (С) матрице. Поэтому, подходящий алгоритм управления для сети требуется, чтобы устанавливаемый путь ввода - вывода для новых проключений, не затронул уже существующие проключения ввода-вывода.


Рисунок 1.7 - Трех каскадная полнодоступная коммутационная система

Для получения наиболее общего результата относительно не блокируемой полнодоступной системы с тремя каскадами желательно будет рассмотреть схему Клоза [8,9].

В качестве примера на рисунке 1.8 представлена трехкаскадная сеть Клоза (N,n,m), применяемая в коммутаторах FETEX-150 компании Fujitsu и АТОМ фирмы NEC.

Рисунок 1.8- Система Клоза (N,n,m)

Первый каскад содержит N/n коммутационных модулей размером n×m, второй — m модулей размером N/n×N/n; последний каскад тоже имеет N/n модулей размера n×m. Поскольку данная конфигурация обеспечивает m различных путей между каждой парой «вход—выход», распределение трафика может быть сбалансировано. Исходная последовательность ячеек должна восстанавливаться на выходах, так как в пределах коммутационного поля каждая ячейка передается независимо от других. В процессе формирования соединения обычно выбирается наименее загруженный путь, если же сеть перегружена, новый запрос не принимается.

Сеть Клоза является строго не блокирующей, если в ней всегда существует доступный путь между любыми свободными входным и выходным портами — независимо от наличия других соединений в сети. Поскольку в сетях ATM ширина полосы частот, используемой соединением, может изменяться во времени, то определение условий отсутствия блокировки является нетривиальной задачей [13].

Производительность сети Клоза увеличится, если внутренние соединения будут иметь большую скорость, чем порты. В этом случае необходимо уделить внимание выбору размеров буферов последнего каскада, где возникает больше всего очередей [8,9].

Использование принципа выходной буферизации для сетей Клоза позволяет оптимизировать производительность, например, за счет удачного выбора параметра т. Обычно при достаточно больших значениях m вероятность одновременного поступления более m ячеек на один и тот же модуль последнего каскада не превосходит заданной вероятности.

Совершенно иной подход заключается в нахождении оптимального способа разделения большого коммутационного поля N´N на небольшие модули. При этом множество N входов распадается на К подмножеств с мультиплексированием К выходов, каждое из которых управляется N2/K коммутационными модулями. В таком случае небольшие коммутационные модули могут быть реализованы в виде сортирующих сетей Батчера,

расширенных сетей или параллельных Баньяновидных плоскостей [12,14].


2. КОММУТАЦИЯ В СЕТЯХ АТМ

2.1 ПРИНЦИПЫ ПРОЕКТИРОВАНИЯ КОММУТАТОРОВ

Технология асинхронного режима передачи (Asynchronous Transfer Mode, ATM) наилучшим образом подходит для построения широкополосных цифровых сетей с интеграцией служб (Broadband Integrated Services Digital Network, B-ISDN) и предоставления всевозможных услуг. Как известно, по сетям ATM данные передаются в пакетах фиксированной длины (ячейках), содержащих заголовок из пяти байт и информационное поле длиной 48 байт. Поскольку вопросы коммутации в таких сетях стандартами практически не регламентируются, производители соответствующего оборудования используют в нем разнообразные технологические подходы [1,2].

Главной задачей, при разработки ATM-коммутатора, является увеличение пропускной способности и улучшение других характеристик данного оборудования и сети ATM в целом. ATM-коммутация отличается от традиционной использованием высокоскоростных интерфейсов, причем производительность внутренней коммутационной матрицы может достигать десятков гигабит в секунду. Кроме того, необходимо обеспечить возможность статистического мультиплексирования потоков, проходящих через коммутационные системные модули. Наконец, передача различных видов трафика с несхожими требованиями к количественным характеристикам функционирования сети (доля потерянных ячеек, допустимый процент ошибок, время задержки) сама по себе является непростой задачей.

Чтобы удовлетворять всем указанным критериям, АТМ-коммутаторы должны значительно отличаться от традиционных устройств. Функции коммутационной системы ATM не ограничиваются буферизацией и маршрутизацией ячеек. Такая система представляет собой сложную структуру, состоящую из нескольких интегрированных модулей, которая способна не только передавать ячейки, но и управлять трафиком, отдельными соединениями и сетью в целом.

2.2 ОСНОВНЫЕ ГРУППЫ ФУНКЦИЙ

ATM-коммутатор располагает множеством входных и выходных портов, обеспечивающих связь с серверами и клиентскими станциями, а также с другими коммутаторами и сетевыми элементами [5,8,9]. Он может иметь дополнительные интерфейсы для обмена управляющей информацией со специализированными сетями. Теоретически коммутатор представляет собой интегрированное устройство, предназначенное для передачи ячеек, реализации процедур управления соединениями и администрирования. На практике он выполняет и некоторые функции межсетевого взаимодействия в целях поддержания ряда услуг, таких как коммутируемая мультимегабитная служба передачи данных (Switched Multi-megabit Data Service, SMDS) и служба ретрансляции кадров (frame relay).

2.3 ПЛОСКОСТЬ ПОЛЬЗОВАТЕЛЯ

Основная функция ATM-коммутатора заключается в передаче ячеек данных со входных портов на выходные. Коммутатор анализирует лишь заголовки ячеек, для их содержимого он является прозрачным. Сразу после поступления ячейки через входной порт осуществляется обработка содержащейся в ней информации об идентификаторах виртуального пути (Virtual Path Identifier, VPI) и виртуального канала (Virtual Channel Identifier, VCI), которая необходима для пересылки ячейки на соответствующий выходной порт. Эта процедура реализуется следующими функциональными блоками:

oмодулем поступления на входной порт;

oкоммутационным полем (иногда называемым коммутационной матрицей), которое фактически выполняет маршрутизацию внутри коммутатора;

oмодулем передачи из выходного порта.

2.4 ПЛОСКОСТЬ УПРАВЛЕНИЯ

Этот функциональный компонент обеспечивает установление соединений виртуальных каналов и виртуальных путей (Virtual Path Connection/Virtual Channel Connection, VPC/VCC), а также управление ими. В отличие от ячеек данных, содержимое управляющих ячеек передается непрозрачно [2]. Коммутатор идентифицирует ячейки сигнализации и даже сам генерирует их. Процедура управления установлением соединения (Connection Admission Control, CAC) включает в себя основные функции сигнализации. Сигнальная информация передается через сеть сигнализации, например основанную на ОКС 7, либо проходит (хотя может и не иметь этой возможности) через поле коммутации ячеек, а затем попадает в сеть ATM.

2.5 ПЛОСКОСТЬ АДМИНИСТРИРОВАНИЯ

Данный компонент осуществляет мониторинг сети, что позволяет обеспечить ее устойчивую и эффективную работу. Соответствующие операции могут быть подразделены на функции управления неисправностями, конфигурацией, защитой, учетом ресурсов и трафиком, которые реализуются во взаимодействии с плоскостью управления (модулем управления коммутатором). Плоскость администрирования отвечает за поддержку процедур уровня ATM, относящихся к эксплуатации и техническому обслуживанию (Operations, Administration and Maintenance, OAM), с чьей помощью идентифицируются и обрабатываются ячейки ОАМ. Последние проходят (а иногда, подобно сигнальным ячейкам, не проходят) через поле коммутации ячеек [2,11,13].

Кроме того, эта плоскость поддерживает промежуточный интерфейс локального управления (Interim Local Management Interface, ГЬМГ) интерфейса «пользователь — сеть» (User-Network Interface, UNI). Для каждого UNI в ней содержится объект администрирования (UME), который может использовать, например, популярный протокол управления Simple Network Management Protocol (SNMP).

2.6 ФУНКЦИИ УПРАВЛЕНИЯ ТРАФИКОМ

Коммутационная система способна поддерживать процедуры управления установлением соединения, параметрами использования (Usage Parameters Control, UPC) и параметрами сети (Network Parameters Control, NPC), а также контроль за перегрузками. Чаше всего функции. UPC/NPC осуществляются входными модулями, а функции контроля за перегрузками — модулем управления коммутатором, в то-время как специальные операции управления буферами (распределение ячеек по буферам, отказ от них и др.) контролируются модулем управления коммутатором, но исполняются внутри поля коммутации ячеек, к которому относятся и буферы [8].

2.7 ОБЩАЯ АРХИТЕКТУРА КОММУТАТОРА

Чтобы упростить описание различных схем работы АТМ-коммутатора, сначала кратко рассмотрим его функциональные блоки (рисунок 1) — входные (Input Module, ГМ) и выходные (Output Module, ОМ) модули, поле коммутации ячеек, модули контроля за установлением соединений (САС) и управления коммутатором (Switch Management, SM) [8,9].


Рисунок 1 - Общая структура коммутатора ATM

Перечисленные блоки являются услуго-независимыми, а границы между ними иногда оказываются размытыми. Ключевую роль в работе коммутатора играет поле коммутации ячеек [9,15].

2.8 ВХОДНЫЕ МОДУЛИ

Прежде всего входной модуль терминирует входящий сигнал (например, SDH) и выделяет поток ячеек ATM. Этот процесс включает в себя преобразование и восстановление сигнала, обработку заголовка SDH, структурирование ячеек и коррекцию скоростей их передачи. Затем с каждой ячейкой ATM выполняются следующие операции [11,8]:

oпроверка заголовка на наличие ошибок с помощью поля управления ошибками заголовка (Header Error Control, НЕС);

oподтверждение правильности значений идентификаторов VPI/VCI и их трансляция;

oопределение выходного порта;

oнаправление сигнальных ячеек в модуль САС, а ячеек ОАМ — в модуль управления коммутатором;

oреализация процедуры UPC/UNC для каждой пары соединений VPC/VCC;

oдополнение внутреннего тэга, содержащего сведения о внутренней маршрутизации, и мониторинг информации, предназначенной для использования внутри коммутатора.

2.9 ВЫХОДНЫЕ МОДУЛИ

Эти модули подготавливают потоки ячеек ATM для физической передачи [11,8]:

oобрабатывают и удаляют внутренние тэги ячеек;

oпри необходимости транслируют значения VPI/VC1;

oгенерируют поле НЕС, обеспечивая возможность последующей проверки заголовка на наличие ошибок;

oпри необходимости включают ячейки из модулей САС и управления коммутатором в исходящие потоки ячеек;

oкорректируют скорости передачи ячеек;

oупаковывают ячейки в полезную нагрузку сети физического уровня (SDH) и генерируют соответствующие заголовки;

oпреобразуют цифровой поток бит в оптический сигнал.

2.10 МОДУЛЬ САС

Данный модуль устанавливает, модифицирует и разрывает соединения виртуальных путей и каналов. Он отвечает за сигнальные протоколы верхних уровней, сигнальные функции уровня адаптации ATM (ATM Adaptation Layer, AAL), необходимые для интерпретации или генерации сигнальных ячеек, за поддержание интерфейсов с сетью сигнализации, согласование с пользователями контрактов на обслуживание (Service Level Agreement, SLA) характеристик трафика при запросах на установление новых соединений VPC/VCC с другими параметрами качества сервиса (QoS) и изменений для существующих соединений VPC/VCC, за распределение ресурсов коммутатора при организации соединений VPC/VCC (включая выбор маршрутов), принятие решения (в ответ на запрос) о допустимости установления соединений VPC/VCC, а также генерацию параметров процедур UPC/NPC [13,15].

Если используется централизованная реализация САС, то единственное устройство (модуль) обработки будет получать сигнальные ячейки от входных модулей, интерпретировать их и выдавать решение о возможности формирования соединения и распределении ресурсов коммутатора между всеми соединениями.

Если же функции САС распределяются по блокам входных модулей, в каждом из них процедура САС использует меньшее, чем в предыдущем случае, число входных портов. Этот алгоритм гораздо сложнее в реализации, однако он снимает проблему недостаточной производительности при обработке заданий управления соединениями в больших коммутаторах путем их распараллеливания. Однако подобное распределение требует передачи значительных объемов информации между устройствами САС, относящимися к разным модулям, и координации их работы.

В некоторых ATM-коммутаторах, например производства Hitachi и NEC, каждый из входных модулей имеет не только собственную процедуру САС, но и небольшое поле маршрутизации ячеек ATM. Заметим также, что часть распределенных функций САС может выполняться выходными модулями, инкапсулирующими управляющую информацию верхних уровней в исходящие сигнальные ячейки.

2.11 МОДУЛЬ УПРАВЛЕНИЯ КОММУТАТОРОМ

Этот модуль реализует процедуры физического уровня и уровня ОАМ. Он отвечает за управление конфигурацией компонентов коммутатора и зашитой его базы данных, снимает показатели использования ресурсов коммутатора, управляет трафиком, информационной базой текущих процедур администрирования и интерфейсом UNI, обеспечивает интерфейс с операционными системами, сетевое управление, обработку отказов и протоколирование учетной информации, относящейся к управлению. Выполнение таких функций невозможно без эффективных внутрикоммутационных связей между модулем управления и другими функциональными блоками.

Централизованное управление коммутатором порой становится «узким местом», если модуль управления перегружен обработкой требований. Чтобы избежать перегрузки, функции данного модуля можно распределять среди входных модулей, которые в этом случае будут контролировать поступающие потоки ячеек данных в целях учета ресурсов и измерения характеристик функционирования коммутатора. В свою очередь, выходные модульные устройства управления способны контролировать выходящие потоки ячеек [10,11].

Сложность управления коммутатором обусловлена прежде всего чрезвычайно широким спектром выполняемых им функций, которые к тому же постоянно эволюционируют. В связи с этими обстоятельствами разработка соответствующих международных рекомендаций и стандартов еще далека от своего завершения.

2.12 ПОЛЕ КОММУТАЦИИ ЯЧЕЕК

Поле коммутации отвечает за передачу ячеек данных (а в ряде случаев — сигнальных и управления) между другими функциональными блоками. В его задачи входят также концентрация и мультиплексирование трафика, маршрутизация и буферизация ячеек, повышение отказоустойчивости коммутатора, многоадресная и широковещательная передача, распределение ячеек, основанное на приоритетах по задержкам, мониторинг случаев перегрузки и активизация индикатора перегрузки в прямом направлении (Explicit Forward Congestion Indication, EFCI) [8,16].

2.13 КОНЦЕНТРАЦИЯ И МУЛЬТИПЛЕКСИРОВАНИЕ

Для наиболее эффективного использования выходящего соединения трафик должен быть сконцентрирован на входах коммутационного поля. Чтобы добиться стандартной скорости интерфейса коммутационной матрицы, устройство агрегирует, потоки с низкой переменной битовой скоростью в трафик с более высокой скоростью. Коэффициент концентрации сильно коррелирован с характеристиками входящих потоков. Концентрация потоков может применяться при динамическом распределении трафика по нескольким плоскостям маршрутизации, а также при его буферизации и дублировании в целях повышения отказоустойчивости. Мультиплексирование потоков ячеек на входах коммутатора во многом аналогично процессу концентрации [8,9].

2.14 МАРШРУТИЗАЦИЯ И БУФЕРИЗАЦИЯ

Основными функциями, выполняемыми полем коммутации ячеек, являются маршрутизация и буферизация. Входной модуль дополняет тэгом маршрутизации каждую из ячеек, а коммутационное поле просто направляет их со входных портов на соответствующие выходные. Поступление ячеек может быть распределено во времени посредством использования сдвиговых регистров, каждый емкостью в одну ячейку. Поскольку не исключена одновременная адресация ячеек на один и тот же выход, должна быть предусмотрена возможность их буферизации [9,3].

Анализ различных схем маршрутизации и алгоритмов буферизации, применяющихся в ATM-коммутаторах, позволил сформулировать ряд важных принципов их проектирования: обеспечение распределенного управления и высокой степени параллелизма при обработке трафика, реализация функций маршрутизации на аппаратном уровне [10,8,13]. Прежде чем перейти к рассмотрению вариантов организации коммутационного поля, перечислим основные показатели, которыми они характеризуются:

- производительность (отношение суммарной скорости выходящего потока к суммарной скорости входящего);

- коэффициент использования (отношение средней скорости входящего потока к максимально возможной скорости выходящего);

- вероятность потерь ячеек;

- задержки передачи ячеек;

- длины очередей;

- сложность реализации.

Ранее методы коммутации подразделяй на пространственные, временные и их комбинации. Предложенная в дальнейшем классификация относит такие методы к одной из следующих категорий:

- с разделяемой памятью;

- с общей средой;

- с полносвязной топологией;

- с пространственным разделением (эта категория, в свою очередь, подразделяется на коммутацию, обеспечивающую единственный и множественные пути от входного порта к выходному). Для простоты далее будем рассматривать коммутатор с N входными и N выходными портами и одинаковыми скоростями портов, равными К ячеек/с.

2.15 МЕТОД РАЗДЕЛЯЕМОЙ ПАМЯТИ

Базовая структура коммутатора с разделяемой памятью приведена на рисунке 2 [8,9]. Входящие ячейки преобразуются из последовательного формата в параллельный и записываются в порт ОЗУ. Используя заголовки ячеек с тэгами маршрутизации, контроллер памяти решает, в каком порядке ячейки будут считываться из нее. Выходящие ячейки демультиплексируются при передаче на выходные порты и преобразуются из параллельного формата в последовательный.


Рисунок 2.2 - Структура коммутатора с разделенной памятью:

RA - чтение адреса; WA- запись адреса; S/P – последовательно параллельное преобразование; P/S - параллельно-последовательное преобразование

Данный метод подразумевает организацию очередей на выходных портах, где все буферы формируют единое пространство памяти. Он привлекателен тем, что дает возможность вплотную приблизиться к теоретическому пределу производительности. Совместный доступ к буферной памяти минимизирует ее емкость, удерживая долю потерянных ячеек в заданных границах: при резком росте интенсивности трафика в направлении какого-либо выходного порта разделение памяти позволяет максимально сгладить пик нагрузки за счет использования свободной части буфера.

Коммутатор Prelude, разработанный фирмой СМЕТ, был одним из первых устройств, применяющих тактированную обработку с групповой буферизацией. Другие широко известные примеры — коммутатор с разделяемой буферной памятью компании Hitachi и устройство GCNS-2000 корпорации AT&T.

Правда, этот метод не свободен от недостатков. Разделяемая память должна работать по крайней мере в N раз быстрее одиночного порта, поскольку ячейки считываются и записываются в память последовательно. Время доступа к памяти — конечная величина, как и произведение числа портов на скорость обмена через порт (NV). Кроме того, необходимо, чтобы централизованный контроллер памяти успевал обрабатывать заголовки ячеек и тэги маршрутизации с той же скоростью, что и память. Чтобы преодолеть серьезные технические трудности, возникающие при использовании множественных классов приоритета трафика, при сложном распределении ячеек, многоадресной и широковещательной передаче, требуется высокое быстродействие памяти и контроллера [1,16].

2.16 МЕТОД ОБЩЕЙ СРЕДЫ

Ячейки могут передаваться через общую среду — кольцо, шину или двойную шину. Примером данного метода является шина с временным разделением (ТОМ), представленная на рисунке 3. Входящие ячейки передаются на шину циклически. На каждом выходе адресные фильтры (Address Filter, AF) в соответствии с тэгами маршрутизации считывают и пересылают свои ячейки в выходные буферные устройства. Дабы не допустить переполнения входной очереди, скорость шины должна быть равной по крайней мере NV ячейкам/с [8,9].

Рисунок 2.3 - Коммутатор с общей средой на базе шины с временным разделением: AF- адресный фильтр; S/P – последовательно-параллельное преобразование; P/S – параллельно-последовательное преобразование

Модуляция выходных каналов упрощает работу адресных фильтров, а широковещательная передача с селекцией — функционирование всей системы. На методе общей среды основана работа нескольких коммутаторов, включая Paris и plaNet компании IBM, Atom корпорации NEC, Fore-Rurmer ASX-100 производства Fore Systems, Синхронная коммутация составных пакетов (Synchronous Composite Packet Switching, SCPS), использующая множественные кольца, — еще один вариант коммутации с обшей средой. Следует отметить, что возможности масштабирования коммутаторов данного типа оказываются ограниченными, поскольку адресные фильтры и выходные буферы должны действовать со скоростью, в N раз превосходящей скорость передачи портов. Кроме того, выходные буферы здесь не являются общими для N портов, а значит, для сохранения прежней вероятности потерь ячеек требуется, большая суммарная емкость буферов, чем в случае применения метода с разделяемой памятью [16].

2.17 МЕТОД ПОЛНОСВЯЗНОЙ ТОПОЛОГИИ

Отличительная особенность данного метода — существование независимого пути для каждой из N2 возможных пар входов и выходов (рисунок 2.4). Таким образом, входящие ячейки транслируются на раздельные шины выходных каналов, а адресные фильтры пропускают эти ячейки в выходные очереди [14].

Рисунок 2.4 – Коммутатор с полносвязанной топологией: AF- адресный фильтр; В – буферы

Преимущества рассматриваемого типа коммутации заключаются в том, что буферизация ячеек происходит на выходных портах и (как в методе с общей средой) отсутствуют ограничения на групповую и широковещательную передачу. Реализация адресных фильтров и выходных буферов достаточно проста: нужно лишь обеспечить требуемую скорость обмена через порт. Метод полносвязной топологии допускает простое масштабирование в широких пределах и позволяет достичь высокой скорости функционирования коммутатора, поскольку все его аппаратные модули работают с одной и той же скоростью.

Примерами использования описанного подхода являются устройства с матричной шиной фирмы Fujitsu и система SPANet компании GTE.

К сожалению, квадратичный рост числа буферов ограничивает количество выходных портов, хотя скорость обмена через порт лимитируется только физическим быстродействием адресных фильтров и выходных буферов.

Устройство The Knockout, разработанное AT&T, было первым прототипом коммутаторов, в которых число буферов уменьшалось ценой небольшого увеличения потерь ячеек. Вместо N буферов на каждом выходе использовалось меньшее фиксированное число буферов L, а общее число буферов составляло NL. Этот подход базируется на предположении, что вероятность одновременного поступления на выходной порт более L ячеек мала. Оказывается, при больших N произвольных (но однородных) параметрах трафика восьми буферов на порт достаточно для удержания доли потерь в пределах одной ячейки из миллиона [14,8].

2.18 МЕТОД ПРОСТРАНСТВЕННОГО РАЗДЕЛЕНИЯ

Простейшим примером системы с пространственным разделением является коммутатор матричного типа, обеспечивающий физическую взаимосвязь с любым из N входных и N выходных портов. Хорошо известны коммутаторы матричного типа с производительностью в сотни гигабит в секунду, в которых применяются входная и/или выходная буферизация и двунаправленный алгоритм разделения памяти. В целях сокращения числа коммутационных элементов (кроссов), которые необходимы для внутренней коммутации каналов, организации взаимосвязей между вычислительными узлами в многопроцессорных системах и, позднее, коммутации пакетов и ячеек ATM, были разработаны многокаскадные сети (Multistage Interconnection Network, MIN), представляющие собой древовидные структуры [6,12].

Баньяновидные сети (свое название они получили потому, что схожи по форме с одноименным тропическим деревом), один из наиболее широко представленных типов сетей MIN, строятся путем формирования каскадов коммутационных элементов [5,6,12]. Основной коммутационный элемент 2x2 обрабатывает входящую ячейку в соответствии с управляющим битом выходного адреса. Если этот бит равен нулю, то ячейка направляется на верхний выходной порт кросса, в противном случае — на нижний.

Рисунок 2.5 - Баньяновидная сеть 8x8

На рисунке 2.5 показано последовательное соединение коммутационных элементов, формирующих Баньяновидную сеть 8x8. Сеть 8x8 формируется рекурсивно, при этом первый бит применяется для транспортировки ячейки через первый каскад, а последние два бита — для маршрутизации ячейки через сеть 4x4 на соответствующий выходной порт.

Итак, в Баньяновидной сети N´N n-й каскад выбирает направление передачи ячейки по n-му биту выходного адреса. При N=2n такая сеть состоит из (N/2)\log N элементарных двоичных кроссов. Сети MIN способны автоматически обновлять таблицы маршрутизации (т.е. имеют свойство самомаршрутизации), в случае если выходной адрес полностью определяет маршрут следования ячейки через сеть.

Популярность Баньяновидных сетей объясняется использованием простых коммутационных элементов для обеспечения процесса коммутации; при этом ячейки передаются параллельно и все элементы действуют с одной и той же скоростью (так как нет дополнительных ограничений на размер N или скорость V). При создании больших коммутаторов указанные свойства позволяют легко реализовать модульный рекурсивный подход на уровне аппаратных средств. Коммутаторы Sunshine компании Bell-core и 1100 подразделения Alcatel Data Networks — типичные примеры устройств, в которых применяется данный подход.

Отрицательным свойством Баньяновидных сетей является их принадлежность к блокирующим схемам, причем вероятность блокировки ячейки при ее маршрутизации быстро возрастает с ростом сети [8]. Очевидно, что в таких сетях существует единственный путь с любого входного порта на любой выходной. Регулярные Баньяновидные сети используют только один тип коммутационных элементов. В их разновидности (так называемых SW-Баньяновидных сетях) вероятность блокировки ячеек удается уменьшить, применяя кроссы больших размеров, — они строятся рекурсивно из коммутационных элементов размером L´М, где L>2 и М>2.

Дельта-сети представляют собой подкласс SW - Баньяновидных сетей и обладают свойством самомаршрутизации. Существует несколько типов дельта-сетей: прямоугольная (кроссы имеют одинаковое число входов и выходов), базовая (baseline), омега, флип, куб, обратный куб и др. Сеть дельта-b размером N´N содержит logb N каскадов, причем каждый каскад состоит из N/b коммутационных элементов b´Ь.

Как уже говорилось, число точек коммутации в Баньяновидных сетях меньше N2 , что может приводить к конфликту маршрутов двух ячеек, адресованных на разные выходные порты. При возникновении подобной ситуации, именуемой внутренней блокировкой, лишь одна из двух ячеек способна достичь следующего каскада, а в результате общая производительность снижается.

Одно из решений проблемы состоит в добавлении специальной сети предварительной сортировки (например, так называемого сортировщика Батчера), которая направляет ячейки в Баньяновидную сеть. Сортировщик позволяет избежать блокировок при адресации ячеек на различные выходные порты, но если они одновременно адресуются на один и тот же выход, единственным решением становится буферизация [8,1,14].

2.19 РАЗДЕЛЕНИЕ БУФЕРОВ

Число и размер буферов имеют важное значение при разработке коммутатора. В устройствах с общей памятью централизованный буфер зачастую имеет преимущество перед средствами статистического разделения. Принимая интенсивный поток ячеек на некоторый выходной порт, коммутатор выделяет для них максимально возможную часть буферного пространства, что приводит к экономии последнего, поскольку ячейки поступают на различные порты случайным образом [1,12].

Для коммутационного поля с TDM-шиной и N выходными буферами большая группа ячеек, одновременно поступивших на какой-либо выход, естественно, не может быть принята другим выходным буфером. Тем не менее каждый выходной буфер способен статистически мультиплексировать трафике N входов.

В структурах с N2 выходными буферами, имеющих полносвязную топологию, статистическое мультиплексирование между выходными портами или на любом выходном порте невозможно. В этом случае размер буферного пространства растет экспоненциально.

Буферы могут быть установлены на входе сети Батчера (рисунок 2.6).

Рисунок 2.6 - Входная буферизация

Однако в этом случае возможна блокировка очереди ячейкой, находящейся в ее начале направляемой на занятый выходной порт, даже если выходные порты ячеек, расположенных позади данной, свободны [1,3,5].

В такой ситуации способна выручить дисциплина «пришедший первым обслуживается в случайном порядке» (First In Random Out, FIRO), но, к сожалению, она не имеет простой реализации. Другой способ избежать конфликтов маршрутов — установить буфер непосредственно внутри коммутационных элементов Баньяновидной сети. Если две ячейки одновременно направляются в один и тот же выходной канал, одна из них буферизуется внутри коммутационного элемента. Внутренняя буферизация используется и механизмом управления с помощью обратной блокировки (backpressure): очереди в одном каскаде сети задерживают ячейки предыдущего каскада сигналом обратной связи. Влияние процедуры обратной блокировки может достигнуть первого каскада и привести к созданию очередей на входах. Следует отметить, что внутренняя буферизация способна вызвать блокировку ячейки в начале очереди на каждом коммутационном элементе и, следовательно, не позволяет достичь максимальной производительности.

Еще один вариант — использование рециркуляционного буфера, внешнего к коммутационному полю (рисунок 2.7).

Рисунок 2.7 - Рециркуляционные буферы

Этот подход применяется в широкополосных цифровых коммутаторах Sunshine фирмы Bellcore и Starlite компании AT&T. В данном случае конфликты на выходе обнаруживаются после прохождения сортировщика Батчера, затем сеть выбирает ячейку для дальнейшей передачи, а оставшиеся ячейки через рециркуляционный буфер возвращаются на входные порты сети Батчера. К сожалению, данный метод требует сложного приоритетного

управления для сохранения исходной последовательности передаваемых ячеек и применения сети Батчера большего размера для размещения рециркулированных ячеек.

Помимо рассмотренных выше видов Баньяновидных сетей существует немало типов сетей.M1N с множественными путями между входными и выходными портами. Классическими примерами являются неблокирующие сети Бэнеша и Клоза, сети со свойством самомаршрутизации и распределением нагрузки, снижающими потребность во внутренней буферизации, групповые

Баньяновидные коммутационные структуры (например, тандем Баньянов).

Для формирования таких сетей возможно параллельное использование нескольких Баньяновидных соединительных сетей [8,9].

Сети MIN с множественными путями обеспечивают более однородное распределение трафика, необходимое для минимизации внутренних блокировок и повышения отказоустойчивости [14]. Тем не менее если ячейки направляются по независимым путям с переменными задержками, необходимо предусмотреть сохранение исходной последовательности ячеек в виртуальном соединении на выходном порте. Поскольку данный процесс может потребовать значительных затрат вычислительных ресурсов процессора, предпочтительнее выбирать путь передачи ячеек на стадии установления и использовать его в течение всего времени существования соединения. Особое внимание должно уделяться предотвращению блокировки последовательных вызовов.

2.20 ОТКАЗОУСТОЙЧИВОСТЬ

Поскольку надежность является существенным аспектом функционирования коммутационных систем, необходимо обеспечить избыточность их критически важных компонентов. Поле маршрутизации и структура буферов, являющиеся важнейшими элементами коммутационной системы, могут быть продублированными или избыточными, что влияет на организацию механизмов обнаружения отказов и восстановления работоспособности [15].

Простейший способ повышения надежности сводится к разбиению всей совокупности коммутируемых ячеек на непересекающиеся подмножества, распределяемые между параллельными плоскостями поля маршрутизации. Этот метод весьма эффективен, так как он обеспечивает наименьшую избыточность, а каждая плоскость несет лишь малую долю общего трафика. Другой вариант — тождественное дублирование всего множества ячеек — обеспечивает большую отказоустойчивость при меньшей производительности. Компромиссным решением может быть использование частично перекрывающихся подмножеств.

Распараллеливание плоскостей поля маршрутизации и структуры буферов поднимает степень отказоустойчивости, однако гораздо важнее повысить избыточность в пределах отдельных плоскостей. Баньяновидные сети склонны к отказам, поскольку содержат единственный путь в каждой паре «вход—выход»; сети с множественными путями отличаются большей отказоустойчивостью. Для повышения избыточности следует включать в состав Баньяновидных сетей дополнительные коммутационные элементы и каскады, избыточные и альтернативные соединения либо увеличивать число входных и выходных портов. Платой за это становится усложнение как схем буферизации и маршрутизации, так и средств управления [8].

Для организации эффективного контроля за отказоустойчивостью коммутационной системы применяются разнообразные тестирующие

механизмы. Маршрутизация специальных ячеек через тестовые элементы и отслеживание их появления на выходах, а также добавление служебной информации в заголовок ячейки позволяют обнаружить потери ячеек, ошибочные пути или неоправданные задержки. При выявлении отказа трафик перераспределяется до устранения причины сбоя, причем функция перераспределения может выполняться как концентраторами, так и самим коммутационным полем.

3 ОСНОВЫ БАНЬЯН-КОММУТАЦИИ

3.1 БАНЬЯН СЕТИ

Отличительное свойство Баньян сети - это существование перехода от любого входа к любому выходу [8],

Рисунок 3.1- показывает четыре вида сетей, принадлежащих к этому классу:

а) смешанные (Омега) сеть;

b) реверсная смешанная сеть;

c) особо чувствительная Баньян сеть;

d) обыкновенная сеть;

Основное свойство этих сетей:

1. Они состоят из n=log2N и N/2 узлов на уровень.

2. Они имеют самонастраивающееся свойство - уникальный n-битный адрес назначения может использоваться для передачи ячейки от любого входа к любому выходу, по одному биту на каждый уровень.

3. Их регулярность и взаимосвязная схема очень привлекательна для применения в VLSI (VLSI - сверх большая степень интеграции).

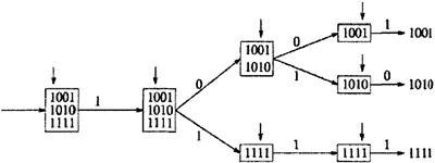
Рисунок 3.2 показывает пример соединения в Баньян сети 8´8, где темные линии отражают передающие пути. С правой стороны адрес каждого выходного сигнала обозначен как ряд n-битов, b1 ...bn . Адрес ячейки сигнала закодирован в заголовке ячейки. На первом уровне проверяется бит b1 , если

это 0, ячейка будет выдвинута на высший, исходящий уровень; если это 1,то ячейка отправляется на низший уровень. На следующем уровне проверяется бит b1 , передача сигнала происходит аналогично.

Рисунок 3.2 - Баньян сеть 8´8

Внутренняя блокировка происходит в случае когда ячейка потеряна из-за конфликтных ситуаций на уровне сети. Рисунок 3.3 приводит пример внутренней блокировки внутри Баньян сети 8x8. Тем не менее, Баньян сеть не будет иметь внутренних блокировок, если будут соблюдены следующие условия [12]:

· Нет свободного входного сигнала между любыми двумя активными входами.

· Выходные адреса ячеек находятся либо в прямом, либо в обратном порядке.


Рисунок 3.3 - Блокировка в Баньян сети 8´8

Рисунок 3.4

(a) - Не блокируемая Баньян сеть для входных сигналов

(b) - Сортирующая Баньян сеть

Рассмотрим рисунок 3.4. Предположим, что Баньян сети предшествует сети которая накапливает ячейки и сортирует их, учитывая их выходные значения. Получившаяся в результате структура является деблокирующей сортирующей Баньян сетью.

3.2 СОРТИРУЮЩАЯ БАТЧЕР СЕТЬ

Эта сеть формируется серией объединенных сетей различных размеров [12,14]. Рисунок 3.5 демонстрирует сортирующую Батчер сеть 8x8, состоящую из объединенных сетей трех различных размеров. Объединенная сеть на рис.3.6 состоит из 2´2 сортирующих элементов в каскадах, и схема соединения между каждой парой смежных каскадов аналогична схеме Баньян сети. Можно заметить, что если адреса первой половины входящих ячеек расположены в возрастающем порядке, а адреса второй половины - в убывающем, то объединенная сеть будет сортировать ячейки на выходе в прямом порядке. Сортирующая сеть 8´8 будет сформирована, если 8´8 объединенной сети предшествуют две объединенных сети 4´4 и четыре объединенных (сортирующих) элемента 2´2. Произвольный список из восьми входных ячеек будет распределен сначала на четыре списка по две ячейки, а затем - в два списка по четыре ячейки и наконец - в список из восьми ячеек.

Объединенная сеть N´N состоит из log2 N уровней и (N log2 N)/2 уровней. Сортирующая сеть имеет 1+2+......+ log2 N=(log2 N)(log2 N+l)/2 уровней и (N log2 N)(log2 N+l)/2 элементов [14].

Рисунок 3.5 - Сортирующая Батчер сеть 8´8


Рисунок 3.6 - Структура передающей сети

3.3 АЛГОРИТМЫ РАЗРЕШЕНИЯ КОНФЛИКТОВ НА ВЫХОДЕ

3.3.1 ТРЕХФАЗОВАЯ РЕАЛИЗАЦИИ

Следующий 3-х эталонный алгоритм является решением для выходного спорного сигнала в Батчер-Баньян коммутаторе.(рис 3.7(а)).

Рисунок 3.7 - 1 этап: отправка запроса

В первую фазу алгоритма (фазу арбитража) каждый вводной порт I посылает в сортирующую сеть краткий запрос, содерж6щий только информацию об источнике и назначении (ячейки). В сортирующей сети ячейки рассматриваются в порядке возрастания, по адресам их назначения. Запросы сортируются все вместе и выбирается тот, чей адрес назначения отличен от предыдущего в сортировочном списке [14,17].

Поскольку результаты арбитража не известны входным портам, выбранные запросы посылают уведомление своим вводным портам через взаимосвязанную сеть во вторую фазу (фазу уведомления). Сеть с обратной связью представлена на рисунке 3.7(в), состоит из N фиксированных соединений, каждый выход сети Батчера соединен с входом сети Батчера.

Рисунок 3.8 - 2 этап: уведомление решающих портов

Каждое подтверждение несет источник, который получил разрешение на вход Батчер сети. Эти источники проходят через всю Батчер-Баньян сеть на различные выхода, учитывая адрес источника. Когда трассировка уведомлений обратно через идентичную специализированную сеть ко вводам закончена, выводы узнают свои результаты арбитража. Вводам, получившим уведомление, обеспечивается бесконфликтный вывод ячеек.

Рисунок 3.9 - 3 этап: отправка ячеек с информацией

Эти входные порты перемещают полную ячейку на третьем последнем этапе, через такую же Батчер-Баньян сеть (рисунок 3.7(с)). Вводы, не получившие уведомления, сохраняют свои ячейки в буфере следующего трехфазового цикла.


3.3.2 КОЛЬЦЕВОЕ РЕЗЕРВИРОВАНИЕ

В Баньян коммутаторе с накопителем предусмотрено кольцевое резервирование (рисунок 3.10). Этот коммутатор состоит из Баньян коммутационной системы с накопителем, нескольких коммутационных интерфейсов, кольцевой адаптер (RHE) и синхронизатора [17,19].

Рисунок 3.10 - Батчер - Баньян коммутатор с кольцевым резервирование

Интерфейс коммутатора осуществляет кольцевое резервирование, буферизацию входящих ячеек, синхронизацию ячеек, отправленных в коммутационную систему и буферизацию ячеек на выходе. Входящие в коммутатор ячейки буферизуются в FIFO, до резервирования. Когда резервирование на выводе успешно завершено, ячейка доставляется в коммутационную систему в начале следующего цикла. После этого следующая ячейка из очереди может проходить резервирование. При выходе из коммутационной системы, ячейка буферизуется в интерфейс, чтобы затем быть переданной по назначению RHE дает два сигнала синхронизации в коммутаторе: (синхронизации битов и начала цикла), три сигнала кольцевого резервирования (сигнал включения в работу кольца, сигнал данных кольца и синхронизации кольца). Сигнал данных кольца - это серия битов выходного резервирования, а сигнал синхронизации кольца указывает местоположение первого выходного порта в серии кольцевых данных. Эти два сигнала циркулируют через RHE и интерфейсы коммутатора по одному биту каждый раз, в течение всего процесса резервирования. Кольцевое резервирование происходит в начале каждого цикла, после того, как каждый кольцевой интерфейс получает заголовки копий самых старших ячеек. С началом каждого цикла данные кольца в RHE и каждый кольцевой интерфейс устанавливаются в исходное состояние («свободно»). Серии кольцевых данных начинают затем циркулировать через интерфейс бит за битом. Каждый интерфейс имеет портовой счетчик, который увеличивается (дает приращение) при каждом прохождении бита кольцевых данных. Каждый временной интервал портовой счетчик сравнивается с адресом назначения самой старшей ячейки для того, чтобы определить, должна ли ячейка быть отправлена на выход в следующий промежуток. При прохождении бита данных кольца, все интерфейсы коммутатора рассматривают кольцевую синхронизацию и кольцевые данные бита. Если сигнал кольцевой синхронизации верен, (это значит, что следующий бит кольцевых данных соответствует первому выводу), тогда портовой счетчик устанавливается в исходное состояние при прохождении следующего бита. Если назначение ячейки согласовано с портовым счетчиком и бит данных кольца свободен, интерфейс коммутатора делает на кольце запись «занято», означающую, что в следующий коммутационный цикл вывод будет занят. Если бит данных кольца уже занят, или если портовой счетчик не согласован с назначением старшей ячейки, бит данных кольца не изменяется. Т.к. каждый коммутационный цикл интерфейса делает не более одного резервирования, конфликтные ситуации в коммутационной системе исключены. Во время кольцевого резервирования, ячейки, зарезервированные в предыдущий коммутационный цикл, отправляются в коммутационную систему.

На рисунке 3.11 показано, что в первый промежуток времени согласуются адреса выходных портов ячеек из вводов 1 и 5, и используются пункты, обозначающие, что ячейки могут пройти в эти порты. Ячейкам которые отмечены битами X1 и Х5 присваивается одно значение, указывающее на то, что выходные порты 1 и 5 уже заняты. Все отмеченные биты сдвигаются в сторону одного, и значения счетчиков так же увеличиваются на один по модулю во второй временной интервал. Во второй и третий промежутки времени согласования не происходит. В четвертый согласовываются адреса выходных портов ячеек из 0 и 2 вводов. Т.к. выходной порт 5 уже был зарезервирован для ячейки (на которой указано значение отмеченного бита X5 )

Рисунок 3.11 - Схема реализации кольцевого резервирования

в предыдущий временной интервал, то ячейка у входа 2 не может быть отправлена. В пятый и шестой промежутки времени ячейки у вводов 3 и 4 так же не могут быть отправлены к выводам 1 и 3 соответственно, т.к. уже были зарезервированы в предыдущий временной интервал. В итоге ячейки у входных проверенных портов оказываются в конфликтной ситуации. В данном примере арбитражный цикл может быть завершен за шесть временных интервалов, поскольку имеется шесть входных портов. В этой схеме используется серийный механизм, и в целом арбитражный цикл может состоять из N бит временных интервалов, где N обозначает число портов ввода и вывода коммутатора, что может стать критическим параметром при большом количестве портов. Однако, эта схема обеспечивает равноправие портов, произвольно устанавливая нужные значения счетчиков перед арбитражем. Эта схема может быть использована на вводах любой коммутационной системы.

3.4 СОЛНЕЧНЫЙ КОММУТАТОР

В этом коммутаторе сочетается сортирующая Батчер сеть и параллельно-направляющая Баньян сеть. Таким образом, к каждому выводу подходит более одного канала. На рис. 3.12 дана блок-схема строения этого коммутатора [17,18,19]. Параллельная сеть маршрутизации с автоблокировкой k обеспечивает k отдельных трактов каждому выводу. Если более, чем k ячеек делают запрос на определенный вывод за один временной интервал, тогда часть ячеек отправляется в очередь общей рециркуляции и затем снова передаются в коммутационную систему к назначенным вводам. Очередь рециркуляции состоит из Т параллельных цепей и Т назначенных вводов в сортирующую сеть с накопителем. Каждая цепь рециркуляции может сохранять одну ячейку. В каждой цепи имеется блок задержки для выстраивания рециркулирующих ячеек с ячейками, прибывшими из контролирующих устройств вводных

Рисунок 3.12 - Блок-схема солнечного коммутатора

каналов (IPC) в следующий временной интервал. В течение каждого интервала сеть с накопителем сортирует новоприбывшие и рециркулирующие ячейки в порядке приоритета и адресов назначения. Это позволяет заграждающей сети, выбирая k ячейки высшего приоритета для каждого вывода, разрешать конфликты у выходных портов. Поскольку в устройстве существует k параллельных сетей с автоблокировкой, каждый вывод может принимать k ячеек каждый временной интервал. Если для одного вывода назначено больше, чем k ячеек, их излишек будет отправляться в очередь рециркуляции. Концентратор и селектор направляют лишние ячейки в цепи рециркуляции, а выбранные ячейки будут направлены в сети с автоблокировкой. Каждая ячейка проходит в контролер входного порта со служебным заголовком.

В него входят два контрольных поля: поле трассировки и приоритетное поле (рисунок 3.13).

Рисунок 3.13- Формат заголовка

Оба упорядочиваются, начиная с наиболее значительного бита. В поле трассировки первый бит -бит активности ячейки, указывающий, содержит ли ячейка значимую информацию (А=1) или она пуста (А=0). Затем следует поле адресов назначения (DA), определяющее нужный выходной порт. Приоритетное поле состоит из индикатора качества и класса услуг передачи (QoS) и внутреннего приоритета коммутатора (SP). QoS поле различает ячейки услуг высшего приоритета и услуг низшего приоритета. К первым относится схемная эмуляция, а ко вторым услуги без установления связи. QoS поле следит за тем, чтобы в случае конфликта, ячейки высшего приоритета трассировались первыми. SP поле используется коммутатором для указания числа временных интервалов, в течение которых задерживалась ячейка. Оно также дает высший приоритет рециркулирующим ячейкам. Поэтому ячейки из данного источника трассируются последовательно.

При сортировке ячейки распределяются в возрастающем порядке их адресов назначения. Приоритетное поле, в котором высшее численное значение соответствует высшему уровню приоритета, является продолжением поля трассировки. Это является причиной того, что ячейки, назначенные в один порт выхода, располагаются в убывающем порядке приоритета. В сети заграждения адреса ячеек сравниваются с адресом ячейки, находящейся на k позиций выше. Если они совпадают с адресом ячейки, стоящей на k позиций выше (а это значит, что имеется, по крайней мере, k ячеек высшего приоритета), они отмечаются и отправляются на рециркуляцию. Их поля трассировки заменяются приоритетными полями, т.к. последние важнее для последующей работы сортирующей системы и предотвращения потерь ячеек при рециркуляции. Если их адреса не совпадают, значит ячейка является одной из k ячеек высшего приоритета и может трассироваться.

В концентрационных сетях с накопителем существует две группы ячеек: одна для трассировки, другая для рециркуляции. Обе группы сортируются в непрерывные списки. Чтобы предотвратить блокирование в сети с автоблокировкой, группа ячеек трассируется из списка в восходящем порядке адресов. Группы ячеек для циркуляции сортируются в отдельный список в порядке приоритета и адресов назначения. Если очередь рециркуляции переполняется, для ячеек, направленных в выводы с высокими номерами, больше вероятности быть удаленными, чем для ячеек, направленных в выводы с низкими номерами.

Затем, ячейки направляются в селектор, который разделяет их на две группы и направляет их либо в k сеть с автоблокировкой, либо в Т рециркуляторы. Ячейки, попадающие в рециркулятор, изменяют поля приоритета и трассировки в первоначальный формат. После рециркуляции их приоритет (SP) повышается [14].

Выводы селекторов распределены между k сетями с автоблокировкой, путем соединения k выводов с соответствующей сетью с автоблокировкой. Поэтому, если две ячейки назначены в один вывод, они будут направляться в разные сети с автоблокировкой. В каждой сети с автоблокировкой ячейки формируют непрерывные списки, направленные в определенные выводы, что обеспечивает деблокирование в сети с автоблокировкой. Каждая ячейка достигает нужного вывода в сети с автоблокировкой, и затем все соответствующие выводы группируются и образуют очередь в контролере выходного порта (ОРС).

3.5 МАРШРУТИЗАЦИЯ С ОТКЛОНЕНИЕМ

3.5.1 ТАНДЕМНЫЙ (СПАРЕННЫЙ) БАНЬЯН КОММУТАТОР

На рисунке 3.14 изображена тандемная коммутационная Баньян сеть (TBSF) [17].

Рисунок 3.12 - Тандемная коммутационная Баньян сеть

Данная сеть состоит из множества Баньян сетей. При конфликте ячеек в каком-либо узле системы, одна из них будет отклоняться в неверный вывод узла и придет по неверному адресу назначения в Баньян сети. Затем отклонившаяся ячейка передается в следующую Баньян сеть. Этот процесс повторяется до тех пор, пока ячейка не достигнет нужного вывода, или же пока она не выйдет в неверный вывод последней Баньян сети и, таким образом будет считаться потерянной. Каждый вывод Баньян сети соединен с соответствующим выходным буфером. Каждая отклонившаяся ячейка отмечается, чтобы ее можно было отличить от ячейки, идущей верно и не изменит ее маршрута в последующих каскадах сети. На выводах каждой Баньян сети, все ячейки, достигшие своего пункта назначения, извлекаются из коммутационной системы и буферизуются. Таким образом, нагрузка в последовательно соединенных Баньн сетях, а также вероятность конфликтов уменьшается. При достаточно большом числе таких последовательно соединенных сетей, можно уменьшить коэффициент потерь до желаемого. Численные результаты показывают, что каждая, добавленная к этой последовательности Баньян сеть, уменьшает вероятность потерь на один порядок величины. TBSF работает следующим образом. К каждой входящей в коммутационную систему ячейке прилагается коммутационный заголовок, содержащий 4 следующих поля:

1. Бит активности а : указывающий, содержит ли область ячейку (я=1) или она пуста(я=0).

2. Бит конфликтов с : указывающий, отклонялась ячейка в предыдущих каскадах данной сети (с=1) или нет (с=0).

3. Приоритетно поле Р : оно является факультативным и используется при наличии в коммутаторе большого числа приоритетов.

4. Адресное поле D : содержащее адреса назначений d1 , d2 ,...dn n=(log2 N).

Состояние коммутационного элемента в каскаде s сети с автоблокировкой первоначально определяется тремя битами в заголовке двух вводимых ячеек, а именно а, с, ds . При большом количестве приоритетов используется так же поле Р. В следующем алгоритме биты, обозначенные 1 и 2, соответствуют двум вводным ячейкам.

1. Если а1 =a2 =0, ничего не предпринимайте.

2. Если а1 =1, a a2 =0, установите коммутатор в соответствии с ds1

3. Если а1 =0, а2 =1, установите коммутатор в соответствии с ds2

4. а12 =1, тогда

а) если c1 =c2 =1, ничего не предпринимайте

б) если c1 =0, а c2 =1, установите коммутатор в соответствии с ds1

c) если c1 =1, а c2 =0, установите коммутатор в соответствии с ds2

d) если c1 =c2 = 0, тогда:

I. если P1 >P2 , то установите коммутатор в соответствии с ds1

II. если P12 , то установите коммутатор в соответствии с ds2

III.если Р12 , то установите коммутатор в соответствии с ds1

или ds2 .

Чтобы уменьшить число буферизуемых на каждом каскаде битов при выполнении этого алгоритма и сократить задержку, адрес бита помещается в исходное положение адресного поля. Для этого нужно циклически сдвигать адресное поле на один бит в каждом каскаде. Таким образом, можно сократить задержку до времени, соответствующего прохождению 3-х бит, в каждом каскаде, без учета поддержки множественного приоритета и сохранять ее постоянной.С конфликтным битом легко отличить ячейки, отклонившиеся от маршрута и ячейки с верным маршрутом на выходе каждой сети с автоблокировкой: если с=0, значит ячейка трассировалась верно, а если с=1, значит эта ячейка отклонилась. Ячейка с c=0 буферизуется и не принимается следующей сетью с автоблокировкой. Ее бит активности становится равным 0. Ячейка с с=1 не буферизуется на выходе, но принимается следующей сетью с автоблокировкой, и ее конфликтный бит становится = 0 для дальнейшей маршрутизации.

Все ячейки, поступающие в тандемный Баньян коммутатор за один временной интервал, синхронизируются по тактам через всю коммутационную систему. Если не учитывать задержки на распространение сигнала, то задержка каждой ячейки в сети постоянна и равна п задержкам на обработку в коммутационном элементе, что составляет временную разницу прибытия двух ячеек из соседних Баньян сетей. Для того, чтобы ячейки из разных сетей поступили в выходной буфер одновременно, между каждым выводом и Баньян сетью можно поместить соответствующий элемент задержки.

Кроме того, память выходного буфера должна иметь выходную пропускную способность равную V бит/с и входную пропускную способность равную KV бит/с, для того чтобы принять все К ячейки, прибывающие за один временной интервал.

3.5.2 КОММУТАЦИОННАЯ СИСТЕМА С ПЕРЕСТАНОВКОЙ И МАРШРУТИЗАЦИЕЙ С ОТКЛОНЕНИЕМ

Рассмотрим N´N коммутационную систему с перестановкой (SN) с n=log2 N каскадами, каждый из которых состоит из N/2 2´2 коммутационных элементов. На рисунки 3.15 представлена коммутационная система с перестановкой 8´8 [19,20].

Рисунок 3.15 - Коммутационная система с перестановкой 8´8

Коммутационные узлы на каждом каскаде отмечены сверху вниз двоичным числом в (n-1) бит. Верхний ввод/вывод узла отмечен 0, а нижний - 1. Ячейка будет направлена в вывод 0 (1) в каскаде i, если i наиболее значительный бит адреса ее назначения =0 (1). Взаимосвязь между 0 двумя, следующими друг за другом каскадами называется перестановкой. Вывод am узла X=(a1, a2...an-1) соединен со вводом а1 узла Y=(a2, а3......аn) следующего каскада. Связь между узлами X и Y обозначена <an, а1>.

Канал от ввода к выводу, по которому трассируется ячейка определяется ее адресом источника S=sl...sn и адресом ее назначения D=d1...dn, что символически выражается так [19,20]:

Последовательность узлов на канале выражается двоичной цепью s2 ...sn , d1 ...dn-1 , представленной (n-1) разрядным окном, сдвигающимся на один бит слева направо в каждом каскаде. Трассировку ячейки по SN можно обозначить парой (R,X), где R - текущая трассировка, а X - узел постоянного хранения ячейки. В первом каскаде ячейка находится в состоянии (dn ...d1 , s2 ...sn ) Состояние передачи определяется алгоритмом самотрассировки так [19,20]:

Заметьте что в конце каждого каскада трассировочный бит удаляется. Наконец, из состояния.... ячейка будет коммутирована следующим 2´2 элементом по назначению.

При конфликте в узле, только одна ячейка будет трассирована верно, а все остальные не попадут к нужным выходам. Отклонившаяся ячейка может начать трассировку вновь (с трассировочным ярлыком в исходном состоянии dn ...d1 ) с того места, где произошло отклонение. Поэтому, если расширить SN систему так, чтобы она включала более n каскадов, то отклонившиеся ячейки могут достигнуть своего вывода на последующих каскадах. Т.к. некоторые ячейки достигнут своего вывода позже других на несколько каскадов, необходим мультиплексор для сбора ячеек, достигающих физических каналов одного и того же логического адреса на разных каскадах. В итоге, ячейка попадет по адресу своего назначения, при условии, что число L каскадов достаточно велико. Если она не находит своего вывода и на последнем из L каскадов, она считается потерянной.

3.5.3 ДВОЙНАЯ СИСТЕМА С ПЕРЕСТАНОВКОЙ И ИСПРАВЛЕНИЕ ОШИБОК МАРШРУТИЗАЦИИ

SN система с исправлением ошибок очень эффективна, особенно при большом значении п. Так как, при каждом отклонении ячейки, ее трассировка должна начинаться снова [20]. Рассмотрим диаграмму состояний на рисунке 3.16.

Рисунок 3.16 - Фазовая диаграмма ячейки в SN сети

Состояние (положение) - это расстояние или число каскадов до вывода. Требуемая сеть должна быть такой, как показано на рис. 3.17, в которой штраф - это возврат только на один каскад [18,14].

Рисунок 3.17 - Фазовая диаграмма со штрафным состоянием


На рисунке 3.18 изображена коммутационная система 8x8 без перестановки (USN). Она является зеркальным отражением системы SN. Трассировка через последовательность каскадов основана на принципе наименее значимый бит через наиболее значимый бит

Рисунок 3.18 - Коммутационная система без перестановки с пятью Каскадами

Пользуясь той же схемой вычислений, как в случае с SN, канал ячейки с адресом источника S=s1 ...sn и адресом назначения D=d1 ...dn может быть выражен так[18,14]:

(n-1) разрядное окно, перемещающееся по двоичной цепи d2 ...dn , s1 ...sn-1 на один бит каждый каскад справа на лево, представляет последовательность узлов на канале трассировки.

Первоначальное состояние ячейки (d1 ...dn , s1 ...sn-1 ) и состояние перехода дано как:


На последнем каскаде ячейка находится в состоянии (-d1 d2 ...dn ) и достигает назначения [18].

Предположим, что USN наложена на SN и каждый узел USN соединен с соответствующим узлом SN, так, что ячейка из любого ввода может попасть в любой вывод узла. Взаимосвязи с перестановкой и без перестановки между соседними каскадами компенсируют друг друга, таким образом, что ошибка, вызванная отклонением ячейки в SN, может быть исправлена в USN возвратом только на один шаг. Рассмотрим рисунок 3.19.

Рисунок 3.19 - Исправление ошибок в сетях SN с помощью USN

Рисунок 3.20

На рисунке 3.20 ячейка А поступает в SN из входа 010 и выходит из вывода 101, ячейка В поступает во ввод 100 и выходит через вывод 100. Во втором каскаде они сталкиваются, когда обе прибывают в узел 01 и делают запрос выводу 0. Допустим, что ячейка В выигрывает, а ячейка А отклоняется и попадает в 11 узел третьего каскада. Допустим, что ячейка А попадает в аналогичный 11 узел в USN и коммутируется в вывод 0. Затем она возвращается в узел 01, тот самый узел, где произошла ошибка в двух каскадах. В этом месте ошибка отклонения была исправлена и ячейка А продолжила свой путь по нужному каналу в SN. Любая ошибка трассировки исправляется в SN обратной операцией трассировки в USN. Более точно этот процесс можно сформулировать так. Рассмотрим ячейку в состоянии (r1 …rk , x1 …xn-1 ) Ячейка должна быть трассирована в канал <rk , x1 > в SN. Положим, она отклонилась, вместо того, чтобы попасть в канал <rk , x1 > ячейка достигает узла (x2 .....хn-1 rk ) в следующем каскаде. Исправление ошибки трассировки начинается с присоединения бита x1 к ярлыку трассировки, вместо перемещения бита rk , таким образом, состояние ячейки в следующем каскаде будет x1 . Затем ячейка перемещается в аналогичный узел в USN для исправления ошибки. В случае успешной трассировки, она будет направлена в канал rk и вернется в предыдущее состояние (r1 …rk x1 , x2 …xn-1 rk ). Taким же образом, ошибка, происходящая в USN исправляется с помощью SN за один шаг. Т.е. ячейка в SN может отклониться в канал USN и наоборот [14,20].

Рисунок 3.21- Двойная коммутационная система 8x8 с перестановкой


Это учитывается в следующем алгоритме. Сначала 2´2 аналогичных коммутационных элемента SN и USN объединяются и образуют 4x4 коммутационных элемента для того, чтобы можно было коммутировать ячейки между SN и USN. На рисунке 3.21 представлена двойная SN, образованная 4´4 коммутационными элементами. Используется новая схема маркирования. Четыре ввода/вывода коммутационного узла помечаются 00, 01, 10, 11 сверху вниз. Выходы 00 и 01 соединяются со следующим каскадом по примеру USN, а выводы 10 и 11 соединяются со следующим каскадом по примеру SN.

Вводы 00 и 01 соединяются с предыдущим каскадом по SN образцу, а вводы 10 и 11 соединяются с предыдущим каскадом по образцу USN. Канал с меткой <la ,0b > - это не тасующий канал, а канал с меткой <0a ,1b > - тасующий. Два узла (a1 , an-1 ) И (bi , bn-1 ) соединены не тасующим каналом, если <0b 1 , 1a n-1 > и они соединены тасующим каналом, если a1 ...an-2 = b2 ...bn-1 Так как каждый коммутационный узел имеет четыре вывода, то для определения требуемого вывода ячейки на каждом каскаде, необходимо два бита маршрутизации. Ячейка с назначением D=d1 ...dn может трассироваться как через USN, так и через SN. Соответственно, изначальный ярлык маршрутизации ячейки установлен на 0d 1 …0d n (USN) или на 1d n ...1d 1 (SN) Состояние ячейки в определенные временные интервалы обозначается (c1 r1 ..ck rk x1 …xn-1 ) Возможны две регулярные передачи в коммутационный узел. Ячейка будет отправлена в не тасующий канал, если ck =0 и в тасующий, если ck =1 [14,19].

Соответственные состояния передачи выражаются:

Ячейки с начальной трассировкой, установленной на 0d 1 …0d n (1d n …1d 1 ) будут оставаться в каналах USN (SN) в течение всего процесса трассировки, пока он не завершится в одном из каналов USN(SN).

Направление трассировки:

1. Если вывод ck rk доступен и k=1, ячейка доходит по назначению. Выводим ячейку перед следующем перемешиванием, если с=1 и после следующей не тасовки, если с=0.

2. Если вывод ck rk доступен и k>l, удаляем два наименее значимых бита из ярлыка трассировки и отправляем ячейку в следующий каскад.

3. Если вывод ck rk недоступен и k<n выбираем любой другой доступный вывод, присоединяем к ярлыку трассировки два соответствующих бита для исправления ошибок и отправляем ячейку в следующий каскад.

Если вывод ck rk недоступен и k=n устанавливаем исходное значение ярлыка трассировки 0d 1 …0d n (1d n …1d 1 ), чтобы предотвратить рост длины ярлыка.

На рисунке 3.22 представлен полный алгоритм для исправления ошибок [14].

Рисунок 3.22 - Полный алгоритм исправления ошибок


Для любого узла с меткой (x1 ...xn-1 ) ярлык исправления ошибок выводов 00 и 01 xn-1 и выводов 10 и 11 0х. В обоих случаях ярлык исправления ошибок - второй компонент в канальном ярлыке <cr, > где x=xc+c(n-1) . Поэтому, ячейка, отклонившаяся в канал будет возвращена в предыдущее состояние через канал <cr, > в следующем каскаде (рисунок 3.23 [20].

Рисунок 3.23- Пример исправления ошибок трассировки в DSN

3.5.4 КОПИРУЮЩИЕ СИСТЕМЫ ДЛЯ МНОГОАДРЕСНОЙ ПЕРЕДАЧИ

На рисунке 3.24 показана серийная комбинация копирующей сети и двухточечного коммутатора для обеспечения многоточечной связи. Копирующая система одновременно тиражирует ячейки из разных вводов и затем трассирует копии ячеек широкой рассылки по их назначению с помощью двухточечного коммутатора [12,14].

Копирующая система состоит из следующих основных частей (рисунок 3.25) [14]:

1. схема сумматора (RAN), генерирующая текущие суммы номеров копий, обозначенных в заголовках входящих ячеек.

2. шифратор адресов (DAE), создающий новые заголовки ячеек из соседних текущих сумм.

3. коммутационная широкополосная Баньян сеть (BBN), в которой коммутационные узлы широкой рассылки делают копии ячеек с заголовками в два бита.

Рисунок 3.24 - Коммутатор многоадресной рассылки

4. шифратор адресов (DAE), создающий новые заголовки ячеек из соседних текущих сумм.

5. коммутационная широкополосная Баньян сеть (BBN), в которой коммутационные узлы широкой рассылки делают копии ячеек с заголовками в два бита.

6. транслятор номеров каналов (TNT), определяющий номера выходных каналов для каждой копии ячейки.

Рисунок 3.25 - Основные компоненты не блокирующей копирующей системы


Механизм многоадресной передачи копирующей системы основан на передаче и преобразовании заголовков (рисунок 3.26). Номера копий (CN), указанные в заголовках ячеек рекурсивно суммируются в схеме сумматора. На основе полученных сумм шифраторы адресов создают новые заголовки ячеек с двумя полями: поле фиктивного адресного интервала и поле индексного эталона (IR). Поле адресного интервала образовано соседними текущими суммами, минимальными (MIN) и максимальными (МАХ). Индексный эталон приравнивается минимуму адресного интервала и впоследствии используется транслятором номеров каналов для определения индекса копии (СI).Широкополосная Баньян сеть копирует ячейки по алгоритму логического деления интервалов на основе адресного интервала в новом заголовке. Когда копия прибывает в нужный вывод, TNT вычисляет ее CI на основе адреса вывода и индексного эталона. Номер канала широкой рассылки (BCN) и CI образуют уникальный идентификатор, указывающий на номер канала (TN), который добавляется заголовку ячейки и используется для ее трассировки по назначению [14,20].

Рисунок 3.26 - Трансляция заголовков в копирующей системе


4 ШИРОКОПОЛОСНАЯ БАНЬЯН СЕТЬ

4.1 ОСНОВЫ ШИРОКОПОЛОСНАЯ БАНЬЯН СЕТЬ

4.1.1 ОБОБЩЕННЫЙ АЛГОРИТМ САМОТРАССИРОВКИ

Широкополосная Баньян сеть - это сеть с коммутационными узлами, копирующими ячейки. Ячейка, прибывающая в каждый узел, может быть либо трассирована в один из выводных каналов, либо дублирована и отправлена по двум выводным каналам. Существует три варианта Log2 3=1.585, а это значит, что минимальный объем информации заголовка = 2 бит а каждый узел [1,10].

На рисунке 4.1 представлен обобщенный алгоритм одно - битовой самотрассировки для ряда N-битных адресов с произвольным назначением. Когда ячейки прибывает в узел k-каскада, трассировка ячейки определяется k битами заголовков всех адресов назначения. Если все они равны 0 или 1, тогда ячейка отправляется в выводы 0 или 1 соответственно. В противном случае, копии ячеек отправляются в оба вывода, и соответственно копиям этих двух ячеек в заголовках изменяются адреса назначения: заголовки копий ячеек, отправленных в вывод 0 или 1, содержат адреса первоначальных заголовков в k бит, равных 1 или 0 соответственно.

Рисунок 4.1 - Обобщенный алгоритм самомаршрутизации


На рисунке 4.2 дерево ввода-вывода, образуемое обобщающим алгоритмом самомаршрутизации.

Рисунок 4.2 - Дерево ввода-вывода, образуемое обобщающим алгоритмом самомаршутизации

При выполнении обобщенного алгоритма самотрассировки могут возникнуть трудности [12,18].

oзаголовки ячеек содержат изменяющиеся адресные номера и коммутационным узлам приходится считывать их все.

oпри модификации заголовков ячеек учитывается вся совокупность адресов, что усложняет работу коммутационных узлов.

oсхема всех каналов выводов и вводов образует дерево в сети.

Деревья, образованные произвольным рядом входных ячеек, зависят от каналов. Таким образом, из-за нерегулярности ряда абсолютных адресов назначения в заголовках ячеек, система является блокирующей. Но в копирующей системе, где ячейки копируются, но не отправляются по абсолютным адресам, вместо абсолютных адресов могут использоваться фиктивные.

Фиктивные адреса каждой ячейки могут выстраиваться непрерывно, так чтобы весь ряд фиктивных адресов представлял интервал (адресный), состоящий из MIN и МАХ текущих сумм. Адресный интервал входных ячеек можно сделать монотонным для обеспечения деблокирования в нижеописанной широкополосной Баньян сети.


4.1.2 АЛГОРИТМ ЛОГИЧЕСКОГО ДЕЛЕНИЯ ИНТЕРВАЛОВ

Адресный интервал - это непрерывный ряд двоичных N-битных номеров, которые можно представить двумя номерами: минимальным и максимальным. Допустим, что узел в k каскаде получает ячейку, заголовок которой содержит адресный интервал, состоящий из двух бинарных номеров min(k-1)=m1 ...mN и max(k-1)=M1 ...MN , где k-1 обозначает каскад, из которого ячейка прибыла в k каскад. По обобщенному алгоритму самотрассировки маршрут ячейки определяется так (рисунок 4.3) [14]:

1. если mkk =0 или mkk =1, тогда отправьте ячейку в выводы 0 или 1 соответственно.

2. Если mk =0 и Мk =1, тогда копируйте ячейку, модифицируйте заголовки обеих копий (по ниже данной схеме) и отправьте копии в соответствующий канал.

Рисунок 4.3 - Логическая схема коммутационного узла в k каскаде широкополосной Баньян сети

Модификация заголовка ячейки заключается в делении исходного адресного интервала на два подинтервала, что выражается в следующей рекурсии: для ячейки, отправленной в канал 0

min(k)=min (k-1)=sm1 ...mN ,

max(k)=M1 .....Mk-1 01....1,

И для ячейки, отправленной в канал 1

min(k)=m1 ....mk-1 10....0,

max(k)=max(k-1)=M1 .....МN

На рисунке 4.4 (а) представлена схема алгоритма логического деления интервалов. Из правил ясно, что mi =Mi , i=1...k-1 действительно для каждой прибывающей в каскад k ячейки. Событие mk =1 и Mk =0 исключено.

Рисунок 4.4 (а) - Схема алгоритма логического деления интервалов

На рисунке 4.4 (b) представлено дерево, которое образуется при копировании ячеек в соответствии с их адресными интервалами [12,14].

Рисунок 4.4 (b) - Дерево, образованное при копировании ячеек в соответствии с их адресными интервалами


4.1.3 УСЛОВИЯ НЕ БЛОКИРОВАНИЯ В ШИРОКОПОЛОСНЫХ БАНЬЯН СЕТЯХ

Широкополосная Баньян сеть является не блокирующей, если активные входы х1 …xk и соответствующие выходы Y1 ...Yk соответствуют следующим требованиям [13,18]:

- Монотонность Y1 <Y2 <....<Yk или Y1 >Y2 >...>Yk

- Концентрация: любой ввод между двумя активными вводами так же является активным.

Неравенство Yi <YJ означает, что каждый адрес выхода в YJ меньше адреса выхода в YJ . На рисунке 4.5 дан пример неблокирования с активными вводами x1 =7, х2 =8, х3 =9 и соответствующими выходами Y1 ={1,3}, Y1 = {4,5,6}, Y3={7,8,10,13,14}.

Рисунок 4.5 - Условия не блокирования в широкополосной Баньян сети

4.1.4 ПРОЦЕСС КОДИРОВАНИЯ

Схема сумматора (RAN), совместно с шифратором адресов (DAE), используется для организации адресов назначения каждой ячейки таким образом, чтобы каждая существенная ячейка была копирована без конфликтов в широкопосной Баньян сети. В ней проходят два процесса копирования ячеек: процесс кодирования и процесс декодирования. В процессе кодирования осуществляется преобразование рядов номеров копий, указанных в заголовках входящих ячеек, в ряд монотонных адресных интервалов, образующих заголовки ячеек в широполосной Баньян сети. Этот процесс осуществляется схемой сумматора и рядом шифраторов фиктивных номеров. От процесса декодирования зависит адрес назначения копий с транслятора номеров канала (TNT) [12,14].

Рекурсивная структура log2 N схемы сумматора показана на рисунке 4.6.

Рисунок 4.6 - Схема сумматора и шифратора фиктивных адресов

Схема сумматора состоит из (N/2)log2 N сумматоров, каждый с двумя вводами и выводами. Вертикальная линия обозначает пересылку. Восточный ввод равен сумме западного и северного вводов, а южный вывод продолжает северный ввод. Текущие суммы CN генерируются у каждого порта в конце log2 N каскадов, а затем шифраторы фиктивных адресов образуют новые заголовки из соседних текущих сумм. Новый заголовок содержит два поля: интервал фиктивных адресов, представленный двумя 1оg2 N-битовыми двоичными номерами (минимальным и максимальным). Другое поле содержит индексный эталон, равный минимуму адресного интервала. Заметьте, что длина каждого интервала равна соответствующему номеру копии в обоих адресных схемах. Примем за Si i-текущую сумму. Тогда последовательность интервалов фиктивных адресов производится так [18]:

(0,S0 -1),(S0 ,S1 )……..(SN-2 ,SN-1 -1)

где адрес размещается, начиная с 0. Эта последовательность обеспечивает деблокирование в баньян сети широкой рассылки.

4.1.5 КОНЦЕНТРАЦИЯ

Для того, чтобы широкополосная Баньян сеть была не блокирующей, необходимо сократить число свободных вводов, находящимися между активными вводами. Это должно быть сделано до ввода ячеек в сеть, т.е. до RAN или сразу же после DAE.

Так обратная Баньян сеть используется для концентрации активных вводов в непрерывный список [11,13]. Для получения ряда непрерывных монотонных адресов в обратной Баньян сети трассировочный адрес определяется текущими суммами на бит активности, (рисунок 4.6).

Рисунок 4.7 - Входной концентратор состоящий из сумматора адресов и обратной Баньян сети


4.1.6 ПРОЦЕСС ДЕКОДИРОВАНИЯ

Когда ячейка выходит из баньян сети широкой рассылки, адресный интервал в ее заголовке содержит только один адрес, т.е. по алгоритму логического разделения интервалов[13]:

min(log2 N)=max(log2 N)=Выходному адресу

Копии ячеек, из одного и того же канала широкой рассылки отмечаются CI, который определяется на выходе широкополосной Баньян сети следующим образом (рисунок 4.7):

СI=Выходной адрес-индексный эталон

Рисунок 4.7 - Вычисление индексов копий

Индексный эталон изначально приравнивается минимуму адресного интервала. TNT (транслятор номера канала) присваивает абсолютный адрес каждой копии ячейки, и она трассируется к своему конечному назначению в последующий двухточечный коммутатор. Присвоение TN (номера канала) завершается простым табличным поиском, при котором идентификатор состоит из BCN (канала широкой рассылки) и CI (индекса копии), связанными с каждой ячейкой. Когда TNT (транслятор номера канала) получает копию ячейки, сначала он преобразует выходной адрес и IR (индексный эталон) в CI (индекс копии), а затем заменяет BCN (канал широкой рассылки) и CI (индекс копии) соответствующими TN (номерами каналов) в таблице перевода [14]. Процесс пересчета иллюстрирован на рисунке 4.8.

Рисунок 4.8 - Пересчет номера канала с помощью табличного поиска

4.2 ПЕРЕПОЛНЕНИЕ И РАЗДЕЛЕНИЕ ВЫЗОВА

В RAN (схеме сумматоров) копирующей системы происходит перегрузка, в том случае, когда число запросов копий превышает пропускную способность копирующей системы. Если частичное обслуживание (которое так же называется разделением вызова) невозможно при копировании ячейки, и ячейка должна произвести все свои копии за один временной интервал, тогда в случае переполнения пропускная способность может снижаться. На рисунке 4.9 показано переполнение, которое произошло у 3-го порта, и пропускаются только пять копий ячеек, при наличии более восьми запросов [14].


Рисунок 4.9 - Не блокирующая копирующая система 8´8 без разделения вызовов

4.2.1 ПЕРЕПОЛНЕНИЕ И РАВНОДОСТУПНОСТЬ ВВОДОВ

Переполнение также делает входящие ячейки неравноправными, так как начало работы RAN (схема сумматоров) фиксирована. Поскольку вычисление текущей суммы начинается всегда с 0-го входного порта каждый временной интервал, входные порты с малыми номерами имеют высший приоритет обслуживания, чем входные порты с большими номерами. С этой трудностью можно справиться, если разработать RAN таким образом, чтобы подсчитывать текущие суммы циклично, начиная с любого входного порта. Начало вычисления текущих сумм каждый промежуток времени адаптивно определяется состоянием переполнения в предыдущий промежуток времени. Такая цикличная RAN (CRAN) показана на рисунок 4.10. Текущий исходный пункт - порт 3, разделение вызова происходит у порта 6, поэтому в следующий временной интервал исходным пунктом будет порт 6. Отрицательный индексный эталон -3, данный DAE, значит, что запрос копии из порта 3 является остаточным, и в предыдущий временной интервал были созданы три копии [18,19].


Рисунок 4.10 - Циклическая схема сумматоров (CRAN) в копирующей системе 8´8

4.2.2 ЦИКЛИЧЕСКАЯ СХЕМА СУММАТОРА (CRAN)

На рисунке 4.10 показано строение 8´8 CRAN. Ассоциированный формат заголовка ячейки состоит из трех полей: 1 - поля индикатора запуска (SI), 2 - текущая сумма (RS), 3 - адрес трассировки (RA). Только один порт, являющийся исходным пунктом, изначально имеет SI, отличный от нуля. RS поле первоначально устанавливается в число копий, запрашиваемых входной ячейкой [11,14]. Поле RA первоначально устанавливается в 1, если порт является активным. Если порт свободен, оно устанавливается в 0. На выходе RAN поле RA переносит текущую сумм на биты активности, чтобы использовать ее в качестве адреса трассировки в следующем концентраторе. В каждом каскаде CRAN используется ряд цикличных трактов, и таким образом, рекурсивное вычисление текущих сумм может производиться циклично. Для эмуляции вычисления фактической текущей суммы из исходного пункта, некоторые тракты должны быть удалены, как показано на рисунке 4.10.


Рисунок 4.10- Циклическая RAN 8´8

Это равносильно тому, как если, имея теневые (вспомогательные) узлы, не учитывать их каналы при вычислении текущих сумм. Эти узлы следуют за заголовком ячейки с поле SI, равным 1, во время передачи его через CRAN из исходного пункта. Модификация заголовка представлена на рисунке 4.11.

Следующий исходный пункт останется неизменным, если не произойдет переполнения. В этом случае первый порт, в котором произойдет переполнение, будет исходным пунктом. Если мы примем за исходный пункт порт 0, а остальные порты циклически пронумеруем от 1 до N-1, тогда SI бит, обозначающий следующий исходный пункт, будет обновлен вместе с соседними RS полями так:

и


где i=1, 2...N-l. Для разделения вызова каждый входной порт должен знать, сколько получено копий за временной интервал. Эта информация называется начальным числом копий (SCN).

Рисунок 4.11 - Операции в CRAN узле

Затем устанавливается ряд цепей обратной связи для возвращения этой информации во вводные порты. SCN и соседние текущие суммы вычисляются так

SCN0=RS0, и

4.2.3 КОНЦЕНТРАЦИЯ

Исходным пунктом в CRAN не обязательно является вывод 0 и получившаяся в итоге последовательность адресов трассировки в RBN может быть непрерывно монотонной. В RBN могут происходить столкновения, как показано на рисунке 4.12. Эта проблема разрешима, если к RBN присоединить дополнительный RAN с фиксированным исходным пунктом 0. Дополнительный RAN пересчитывает текущие суммы RA и таким образом получившаяся последовательность RA становится непрерывно монотонной (Рисунок 4.13).


Рисунок 4.12 - Циклические монотонные адреса вызывают столкновение ячеек в RBN. Порты 2 и 6 свободны

Рисунок 4.13 - Использование дополнительной RAN для накапливания активных ячеек


5 РАСЧЕТ ПРОПУСКНОЙ СПОСОБНОСТИ ЗВЕНА Ш-ЦСИС С ТЕХНОЛОГИЕЙ ATM ПРИ МУЛЬТИСЕРВИСНОМ ОБСЛУЖИВАНИИ

5.1 ПОСТАНОВКА ЗАДАЧИ ПО РАСЧЕТУ ПРОПУСКНОЙ СПОСОБНОСТИ ЗВЕНА Ш- ЦСИС ДЛЯ ПЕРВОГО И ВТОРОГО КЛАССА ПОЛЬЗОВАТЕЛЕЙ

Уточним понятие звена Ш-ЦСИС и определим факторы, влияющие на его пропускную способность. Звено - это участок сети между двумя соседними узлами коммутации. Важнейшим фактором, влияющим на GoS в Ш-ЦСИС, является процедура доступа пользователей в сеть. Эта проблема обусловлена характером трафика. В Ш-ЦСИС пользователь создает информационный поток, битовая скорость которого является случайной величиной. Технология ATM позволяет предоставлять пользователю по требованию переменную ширину полосы битовых скоростей передачи (ШПБСП), а узлы Ш-ЦСИС в режиме коммутации пакетов формируют виртуальный канал с переменной пропускной способностью.

В Ш-ЦСИС с ATM различают четыре класса трафика:

Класс А - трафик CBR, создаваемый пользователем, передающим информацию с постоянной битовой скоростью;

Классы В и С - трафик, создаваемый пользователем, передающим информацию с переменной битовой скоростью (УВК):

Класс В - трафик VBR, создаваемый при требовании передачи информации в реальном масштабе времени (real time VBR);

Класс С-трафик VBR, не требующий передачи информации в реальном масштабе времени (non-real time VBR);

Класс D- разделяется на два подкласса: трафик ABR на доступной битовой скорости и трафик UBR- при неспецифированной битовой скорости

Трафик VBR представляет собой наиболее общий тип трафика Ш-ЦСИС. Для определения пропускной способности звена Ш-ЦСИС необходимо оценить влияние фактора трафика VBR. При этом можно воспользоваться понятием эквивалентной ШПБСП. Переход к эквивалентной ШПБСП позволяет свести решение задачи в Ш-ЦСИС к использованию математических моделей.

На рисунке 5.1 представлена схема обслуживания заявок и среда передачи, реализующая звено Ш-ЦСИС. Примем что на звене Ш-ЦСИС применен транспортный модуль SDH-STM-1. С учетом структуры модуля диапазон скоростей передачи информации для различных классов пользователей может составлять от 2 до 34 Мбит/с. Если пользователь формирует цифровой поток с плезеохронной скоростью 140 Мбит/с и применяется STM-1, то этот случай является вырожденным.

При построении модели звена примем следующие допущения. Каждый класс пользователей Ki ,i=,создает поступающую нагрузку Ai ,i=. Все нагрузки являются пуассоновскими с маркой Marki ,i=, причем Marki -число полос битовых скоростей передачи, требуемых для обслуживания пользователей класса Ki ,i=.

Рисунок 5.1

Звено моделируется в виде системы массового обслуживания с явными потерями. Если при поступлении вызова ему не может быть представлена требуемая ШПБСП, то вызов считается потерянным. Это соответствует известной модели «потерянные вызовы стираются»- LCC (Lost Call Cleared).

Исследования показали, что пропускная способность Ш-ЦСИС зависит от многих факторов, основными из которых являются:

o число классов пользователей (источников нагрузки);

o величина ПШБСП, необходимая для обслуживания вызовов различных классов пользователей;

o характер изменения ШПБСП во времени (источники нагрузки с СВКили VBR);

o интенсивности нагрузок, поступающих от пользователей;

o принятая процедура управления доступом заявок в сеть.

Только учет всей совокупности факторов позволяет оценить вероятностные характеристики GoS, в том числе вероятности потерь вызовов для отдельных классов пользователей, т.е. построить вектор потерь вызовов.

Учитывая структурную сложность Ш-ЦСИС, целесообразно сначала рассчитать вероятности потерь на одном звене. Когда решение будет найдено,

можно построить вектор потерь, оценив результирующую вероятность потерь между пользователями сети как вероятность потерь "от точки к точке". Если принять, что вероятности потерь вызовов на отдельных звеньях Ш-ЦСИС являются независимыми, то вероятность потерь «от точки к точке»

(5.1)

где Р и Pj -соответственно векторы потерь по вызовам от "точки к точке" и на j-ом звене Ш-ЦСИС на выборочном маршруте; s - число последовательно включенных звеньев.

Применим метод резервирования SLM (Sum Limitation Method), основанный на пороговом ограничении доступа для отдельных классов пользователей по критерию суммарного числа используемых ШПБСП.


5.2 МЕТОД РАСЧЕТА ПРОПУСКНОЙ СПОСОБНОСТИ ЗВЕНА Ш-ЦСИС С ATM ТЕХНОЛОГИЕЙ

Метод включает в себя два этапа. На первом все источники трафика VBR заменяются на источники эквивалентного трафика CBR. Эквивалентность понимается в отношении сохранения значения вероятности потерь пакетов (ATM ячеек) Pcell - Замена источников сводится к пересчету ШПБСП.

Эквивалентная ШПБСП для i-го класса пользователей с трафиком VBR при заданной норме на Pcell определиться в виде:

K(Pcell )=j(Pcell )m+s2 c, (5.2)

Где с- скорость передачи на звене;

h-максимальное значение ШПБСП i-го класса пользователей для нормализованной битовой интенсивности нагрузки, создаваемой i-м классом пользователей;

m и s2 соответственно первый и второй моменты распределения вероятностей ШПБСП во времени;

j - коэффициент, зависящий от Pcell

Наиболее трудоемкой задачей представляется нахождение значений m и s2

На практике эти величины определяются экспериментально. При этом m вычисляют не непосредственно, а через нормированную максимальную битовую скорость, называемую берстностью.

В Ш-ЦСИС скорость передачи информации представляет собой случайный процесс г (t). В силу физических причин всегда существует ограничение максимально допустимой скорости передачи:


(5.3)

Средняя скорость передачи информации за интервал времени Т:

(5.4)

Отношение

(5.5)

Получило название берстности.

В Ш-ЦСИС при использовании технологии ATM берстность стала важнейшей характеристикой передаваемой информации.

Для различных видов связи и соответственно информации берстность изменяется в широких пределах, на практике В=1...10. Случай В=1 соответствует постоянной скорости передач информации.

Второй этап метода включает собственно расчет вероятностных характеристик звена с учетом выполненной на первом этапе эквивалентной замены ШПБСП. В соответствии с постановкой задачи метод используется для двух стратегий управления ресурсом звена - при отсутствии и наличии резервирования ШПБСП.

Рассмотрим первый случай, когда доступ пользователей к ресурсу звена не ограничен и Р-ШПБСП нет. Распределение вероятностей числа одновременно занятых ПБСП на звене имеет вид:

(5.6)


Так как в Ш - ЦСИС все пользователи, по условию, имеют равный доступ к ресурсу звена, то имеем полнодоступный пучок и, следовательно,

(5.7)

В этом случае вероятность потерь по вызовам на звене для пользователей класса /:

(5.8)

На основе разработанного метода был построен приведенный ниже алгоритм расчета вероятностных характеристик звена Ш-ЦСИС.

5.3 АЛГОРИТМ РАСЧЕТА ВЕРОЯТНОСТНЫХ ХАРАКТЕРИСТИК ЗВЕНА Ш-ЦСИС

1. Классификация всех пользователей по характеру трафика на CBR- и VBR- пользователей.

2. Выбор значения берстности В для VBR-пользователей.

3. Определение средней скорости передачи, исходя из выбранной берстности и максимальной скорости передачи VBR- пользователя

4. Расчет эквивалентных ШПБСП для всех VBR-пользователей на основе средних и максимальных скоростей VBR- пользователей.

5. Выбор базовой ШПБСП, как наименьшего общего кратного ШПБСП всех CBR- и VBR-пользователей.

6. Определение максимального числа базовых ШПБСП на основе заданной скорости среды передачи.

7. Расчет индивидуальных вероятностей потерь для всех классов пользователей, имеющих доступ к ресурсу звена.

8. Расчет средневзвешенной вероятности потерь.

9. Пересчет фактически поступающих нагрузок пользователей в нормализованные битовые интенсивности поступающей нагрузки звена согласно [5].

10. Вычисление пропускной способности, выделяемой для каждого класса пользователей, и общей пропускной способности звена.

5.4 РАСЧЕТ ЗВЕНА Ш-ЦСИС С ATM ПРИ МУЛЬТИСЕРВИСНОМ ОБСЛУЖИВАНИИ

Рассмотрим применение предложенного метода на примере расчета звеньев Ш-ЦСИС. Пусть к ресурсу звена имеют доступ два класса пользователей:

1. Стандартные телефонные сообщения, передаваемые по каналам ИКМ— 30/32 и формирующие трафик типа VBR с пиковой скоростью (PCR) 2 Мбит/с, берстностью В=2,5 и допустимой вероятностью потерь ячеек CLR=10-5 ;

2. Интернет - сообщения, образуемые в ходе просмотра Web-страниц и формирующие трафик типа ABR (доступная битовая скорость) с PCR=2 Мбит/с, берстностью В=10 и CLR=10-8

При проведении расчетов учитывали стандарты ITU-T и предполагали, что звено Ш-ЦСИС использует транспортный модуль STM-1 SDH. Резервирования ресурсов звена нет.

Исходные данные для 1-го класса пользователей:

Берстность В=2,5

Скорость передачи информации rmax =0.064 Мбит/с

Пиковая скорость (PCR) =2 Мбит/с

Скорость передачи полезной нагрузки- С=150 Мбит/с

Интенсивность поступающей нагрузки - А=80 Эрл

Допустимая вероятность потери ячеек CLR=10-5

Исходные данные для 2-го класса пользователей:

Берстность В=10

Скорость передачи информации- rmax =0.037 Мбит/с

Пиковая скорость (PCR) =2Мбит/с

Скорость передачи полезной нагрузки- С=150 Мбит/с

Интенсивность поступающей нагрузки – А=8 Эрл

Допустимая вероятность потери ячеек CLR=10-8

Решение:

Эквивалентная ШПБСП для 1-го класса пользователей с трафиком VBR при заданной норме на Pcell определиться в виде:

,

Где j(Рcell )=0,273 для Рcell =10-5 ,

Отношение В=rmax /m получило название берстности. Отсюда находим т:

m и s2 соответственно первый и второй моменты распределения вероятностей ШПБСП во времени;

К((Рcell )=0,273*0,0256*106 +0,0852 *150*106 =1,091 Мбит/с

Таким образом, эквивалентная ШПБСП для 1-го класса пользователей с трафиком VBR равна 1,091 Мбит/с. Суммарное число эквивалентных ШПБСП, требуемых для обслуживания одной заявки 1-го класса пользователей равно 3. Заданный порог резервирования равен единицы, так как резервирования ресурсов звена нет.

Эквивалентная ШПБСП для 2-го класса пользователей с трафиком VBR при заданной норме на Рcell определиться в виде:

Где j(Рсе11 )=1,581 для Рсе11 =10-8 ,

Так как В=rmax /m получило название берстности. Отсюда находим m:

m и s2 соответственно первый и второй моменты распределения вероятностей ШПБСП во времени;

K(Pcell )=l,581*0,0037*106 +0,0492 *150*106 =0,366 Мбит/с.

Таким образом, эквивалентная ШПБСП для 2-го класса пользователей с трафиком VBR равна 0,366 Мбит/с. Суммарное число эквивалентных ШПБСП, требуемых для обслуживания одной заявки 2-го класса пользователей равно 1. Заданный порог резервирования равен единицы, так как резервирования ресурсов звена нет.

Рассмотрим случай, когда доступ пользователей к ресурсу звена не ограничен и резервирования ШПБСП нет. Распределение вероятностей числа одновременно занятых ПБСП на звене имеет вид:

Так как в Ш-ЦСИС все пользователи, по условию, имеют равный доступ к ресурсу звена, то имеем полнодоступный пучок и, следовательно,

В этом случае вероятность потерь по вызовам на звене для пользователей для 1-го и 2-го класса:

, Р1 =5,249*10-3 и P2 =l,697*10-3

Результаты полученные при расчете звена Ш-ЦСИС с ATM при мультисервисном обслуживании для 1-го и 2-го классов пользователей сведены в таблице 1.

Таблица 1

Параметры 1-ый класс пользователей 2-ой класс пользователей
Берстность 2,5 10
Вероятность потерь ячеек Pcell 10-5 10-8
Пиковая скорость передачи (PCR), Мбит/с 2 2
Эквивалентная ШПБСП, Мбит/с 1,091 0,366
Интенсивность поступающей нагрузки, Эрл 80 8
Суммарное число эквивалентных ШПБСП, для обслуживания одной заявки 1-го класса. 3 1
Заданный порог резервирования 1 1
Пропускная способность звена, Эрл 0,772 0,772
Вероятность индивидуальных потерь 5,249*10-3 1,697*10-3

6. РАСЧЕТ ЭФФЕКТА СТАТИСТИЧЕСКОГО МУЛЬТИПЛЕКСИРОВАНИЯ В ATM СЕТИ

6.1 МАТЕМАТИЧЕСКАЯ МОДЕЛЬ ТРАФИКА В УЗЛЕ ДОСТУПА И ЦИФРОВОМ ГРУППОВОМ ТРАКТЕ Ш-ЦСИО НА ТЕХНОЛОГИИ ATM

Технология ATM ориентирована на установление соединения. В этом случае можно полагать, что число заявок на предоставление виртуальных соединений, поступающее за существенный временной интервал на i-й абонентский узел или узел доступа, или цифровой групповой тракт (i= 1,2,...,N) от пользователей от k -й службы есть случайный процесс:

Ni (t) = g(t)(t-t0 ), (6.1)

где g - значение в момент t интенсивности потока заявок на

установление виртуальных соединений от i – го абонента

к-ой службы.

Имеющийся на сегодняшний день научный, технологический и практический опыт реализации ATM сетей свидетельствует о том,

что g=1…..N(t). Поэтому:

Ni (t) = N(t). (6.2)

Значение случайного процесса суммирования потока заявок, поступающих на i-ый узел или цифровой групповой тракт от всех к - служб в момент t, составляет [33, 35]:


gS i = gS i (t). (6.3)

Суммарное число заявок на предоставление виртуальных соединений от абонентов (источников) всех к - служб i -го узла доступа или цифрового группового тракта в момент t можно пола гать величиной случайной - значением случайного процесса в момент t:

NS ВCi (t)=gS i (t)(t - t0) . (6.4)

Но, если в ныне существующих сетях связи с временным разделением сетевым ресурсом является канал связи с опреде ленной полосой пропускания, то в сетях ATM - это производитель ность узла коммутации или пропускная способность (полоса про пускания) цифрового группового тракта (пути передачи) или линии доступа.

6.2 МЕТОД ОЦЕНКИ КАЧЕСТВА СТАТИСТИЧЕСКОГО УПЛОТНЕНИЯ ИСТОЧНИКОВ

Применение технологии ATM для транспортирования ин формации, когда каждый источник (абонент) получает от телекоммуникационной сети только тот ресурс пропускной способности, который ему нужен, дает возможность использовать выгоды статистического мультиплексирования для повышения эффективности использования пропускной способности цифровых трактов связи [15,31–35].

В упрощенной форме принцип статистического мультиплексирования показан на рисунке 6.1. В верхней части рисунка показаны источники (видеодисплей, сервер, видеокамера и монитор) и генерируемый ими пачечный трафик типа "вкл-выкл" (on-off).

В нижней части рисунка показан суммарный трафик, для транспортирования которого требуется только цифровой тракт с пропускной способностью, равной пропускной способности двух индивидуальных каналов вместо четырех. Естественно предположить, что чем больше источников мультиплексируются вместе, тем больший выигрыш можно получить.

Будем оценивать эффективность метода статистического мультиплексирования в момент t отношением суммарного количества виртуальных соединений N(t) = N(t) абонентов к – служб i-го узла связи:

NВСi (t) = N(t). (6.5)

Рисунок 6.1 – Принцип статистического мультиплексирования

Полипачечный трафик который мультиплексирует ся с заданным для каждой службы качеством Р < Р , к =1,2….К в цифровом групповом тракте с пропускной способностью ВТРi (t) к числу каналов NМСКК i (t), которое может быть образовано в тракте методом многоскоростной коммутацией каналов:


Gi (t) = NВС i (t) / NМСКК i (t). (6.6)

Таким образом:

NМСКК i (t) = N (К) МСКК i (t) = ВТРi (t) / В(К) max . (6.7)

В момент t при одновременной работе N(t) абонентов ор ганизуется NВСi (t) виртуальных соединений, для функционирования которых требуется пропускная способность с известными числовыми характеристиками. Следовательно, для функционирования N(t) независимых абонентов в момент t им должен быть предоставлен ресурс пропускной способности, равный ВТРi (t) [33, 35].

Таким образом, статистическое мультиплексирование дает значительный выигрыш только при условии, когда скорость любого источника значительно ниже скорости цифрового тракта, это означает, что пропускная способность (полоса пропускания) абонентских линий, где может мультиплексироваться малое количество высокоскоростных источников, должна быть способна обеспечить их одновременную работу.

В реальных концентраторах, мультиплексорах или коммутаторах доступа поступают потоки от разнородных по скорости источников. Ограничением на допуск пользователей в сеть может быть или ограниченная производительность коммутатора доступа или ограниченная пропускная способность цифрового тракта, связывающего коммутатор доступа с транзитным коммутатором.

Таким образом, отслеживая количество виртуальных соединений в каждом цифровом групповом тракте, можно проконтролировать выполнение требований к пропускной способности трактов и производительности центров коммутации [19,24].


6.3 ПРИМЕР РАСЧЕТА ЭФФЕКТА СТАТИСТИЧЕСКОГО МУЛЬТИПЛЕКСИРОВАНИЯ В ATM СЕТИ

Рассчитаем выигрыш по количеству обслуживаемых с одинаковым качеством соединений, который дает технология ATM по сравнению с многоскоростной коммутацией каналов. Будем пола гать, что между двумя центрами быстрой коммутации пакетов ис пользуется цифровая система передачи синхронной цифровой иерархии со скоростью 155 Мбит/с, которая предназначена для обес печения пользователей трех служб с однопачечным графиком [15].

Исходные данные для расчета:

– Видеотелефония (В(ВТФ) max = 10 Мбит/с, В(ВТФ) ср = 2 Мбит/с,

К(ВТФ) п =5);

– Телефония (В(ТФ) max = 64 кбит/с, В(ТФ) ср = 2 кбит/с, К(ТФ) п =2);

– Высокоскоростная передача данных (В(ПД) max = 2 Мбит/с,

В(ПД) ср = 2 Мбит/с, К(ПД) п =1);

– ВТР = 155 Мбит/с.

– Вероятность потери пакета составляет РПОТ. ПАК £ 10-3

Произведем расчет для видеотелефонии, зная ВТРВТФ и В(ВТФ) max рассчитаем соотношение:

В(ВТФ) max / ВТРВТФ =10*106 /155*106 = 0,0645

Учитывая К(ВТФ) п =5 и соотношение В(ВТФ) max / ВТРВТФ =0,0645 находим числовое значение показателя эффективности статистического мультиплексирования GВТФ =2,25 (из рисунка 5.1 на странице 152 в [28]).

По формуле (7.7) произведем расчет числа каналов, которое может быть образовано в тракте методом многоскоростной коммутации каналов:

NМСКК ВТФ = ВТРВТФ / В(ВТФ) max = 155*106 /10*106 = 16 соединений

Суммарное количество виртуальных соединений для видеотелефонии выразим из формулы (7.6):

NВС ВТФ = GВТФ * NМСКК ВТФ = 2,25 * 16 = 36 соединений.

Произведем расчет для телефонии, зная ВТРТФ и В(ТФ) max рассчитаем соотношение:

В(ТФ) max / ВТРТФ =64*103 /155*106 = 0,0041

Учитывая К(ТФ) п =2 и соотношение В(ТФ) max / ВТРТФ =0,0041 находим числовое значение показателя эффективности статистического мультиплексирования GТФ =1,878 (из рисунка 5.1 на странице 152 в [28]).

По формуле (6.7) произведем расчет числа каналов, которое может быть образовано в тракте методом многоскоростной коммутации каналов:

NМСКК ТФ = ВТРТФ / В(ТФ) max = 155*106 /64*103 = 2422 соединений

Суммарное количество виртуальных соединений для телефонии выразим из формулы (7.6):

NВС ТФ = GТФ * NМСКК ТФ = 1,878 * 2422 = 4548 соединений.

Произведем расчет для высокоскоростной передачи данных, зная ВТРПД и В(ПД) max рассчитаем соотношение:

В(ПД) max / ВТРПД =2*106 /155*106 = 0,0129

Учитывая К(ПД) п =1 и соотношение В(ПД) max / ВТРПД =0,0129 находим числовое значение показателя эффективности статистического мультиплексирования GПД =0,704 (из рисунка 5.1 на странице 152 в [28]).

По формуле (7.7) произведем расчет числа каналов, которое может быть образовано в тракте методом многоскоростной коммутации каналов:

NМСКК ПД = ВТРПД / В(ПД) max = 155*106 /2*106 = 78 соединений.

Суммарное количество виртуальных соединений для видеотелефонии выразим из формулы (6.6):

NВС ПД = GПД * NМСКК ПД = 0,704 * 78 = 55 соединений.

Проведенные расчеты показывают, что если вся пропускная способность цифрового тракта используется для обслуживания виртуальных соединений только одной службы, то в цифровом тракте 155 Мбит/с может быть обеспечено:

- 4548 соединений для телефонии;

- 55 соединений для высокоскоростной передачи файлов;

- 36 соединений для видеотелефонии.

Результаты расчетов предельного количества виртуальных соединений для трех служб приведены на рисунке 6.2.

Если NS ВC = N(ТФ) S ВC +N(ПД) S ВC + N(ВТФ) S ВC находится на плоскости АВС или ниже ее, то цифровой тракт обеспечивает вероятность потери пакетов не более допустимого значения.

Выберем на плоскости АВС точку D (x=1546; y=21; z=12).


Рисунок 6.2 – Количество виртуальных соединений различных служб, органи зуемых в цифровом групповом тракте связи

Цифровая система передачи тракта обслуживает с заданным ка чеством одновременно:

– 1546 виртуальных соединений для телефонии;

– 21 виртуальное соединение для высокоскоростной передачи данных;

– 12 виртуальных соединений для видеотелефонии.

Расчеты показывают, что такое же количество соединений с таким же качеством обслуживания методом многоскоростной коммутации каналов потребовало бы цифровой тракт со скоростью не менее 420 Мбит/с. Таким образом, технология ATM, решающая проблему статистического мультиплексирования всех видов ин формации в едином цифровом тракте, обеспечивает, как показывают расчеты, выигрыш в пропускной способности трактов не менее чем в 2,5-3 раза. Расчетные соотношения показывают, что статистическое мультиплексирование дает значительный выигрыш тогда и только тогда, когда скорость любого источника значительно ниже скоро сти цифрового тракта. При этом, чем больше коэффициент пачеч ности источника тем выше эффективность статистического мультиплексирования.

7 БЕЗОПАСТНОСТЬ ЖИЗНЕДЕЯТЕЛЬНОСТИ

7.1 АНАЛИЗ УСЛОВИЙ ТРУДА В ИСПОЛЬЗУЕМОМ ПОМЕЩЕНИИ

Помещение, для размещения аппаратуры коммутации и управления, представляет собой бывший цех автозала размерами: длина L = 10 м, ширина В = 8 м, высота Н = 4 м. План помещения на рисунке 7.1.

Здание представляет собой трехэтажный жилой дом, где телекоммуникационное оборудование занимает только первый этаж; на остальных этажах производственных помещений нет. Предполагается, что обслуживать помещение будут пять человек: четыре сменных оператора-техника и одна техническая уборщица. В дневную смену работают два человека (оператор-инженер и техник-инженер), раз в сутки приходит техническая уборщица.

1– дверь; 2 – окно; 3 – стена; 4 – стойки; 5 – шкаф; 6 – стол; 7 – стул

Рисунок 7.1 – План помещения

Согласно ГОСТ 12.1.005-88 ССБТ "Воздух рабочей зоны, общие санитарно-гигиенические требования", работа людей в нашем помещении относится к первой категории таблица 9.1:


Таблица 7.1 – Категории работ по энергозатратам организма

Работа Категория

Энергозатраты

организма, Дж/с (ккал/час)

Характеристика работы
Легкая физическая I a < 138 Производится сидя и не требует физического напряжения
I б 138 – 172 Производится сидя, стоя или связана с ходьбой и сопровождается некоторым физическим напряжением

7.2 ОЦЕНКА МИКРОКЛИМАТА

Микроклиматические условия на нашем узле обслуживания согласно ГОСТ 12.0.003-74. ССБТ можно охарактеризовать как оптимальные таблица 2:

Таблица 7.2 - Оптимальные нормы параметров микроклимата

Период работы Категория работы Т, 0 С Скорость движения воздуха, м/с, не более
Холодный

I а

I б

22-24

21-23

0,1

0,1

Теплый

I a

I б

23-25

22-24

0,1

0,2

В любой из периодов года микроклиматические параметры в нашем помещении не превышают установленных допустимых значений: СН 245-86:

Температура летнего периода: + 24 0С, температура зимнего периода +21 - +240С, относительная влажность воздуха – 60% при температуре ниже 360С, скорость движения воздуха не превышает 0,2 м/с в любой период года.


Таблица 7.3 – Допустимые значения параметров микроклимата в холодный/теплый период года

Категория работы Температура воздуха, 0С Относительная влажность воздуха, %, не > Скорость движе-ния воздуха, м/с, не >
I a 21-25 / 22-28 75 / 55, при 280 С 0,1/0,1 – 0,2

Согласно ГОСТ 12.1.007-76 помещение по содержанию вредных веществ в воздухе рабочей зоны соответствует четвертому классу опасности.

Таблица 7.4 – Нормирование показателей для классов опасности

Наименование Норма для класса
ПДК вредных веществ в воздухе рабочей зоны, мг/м3 Малоопасные, 4
< 0,1
Средняя смертельная концентрация в воздухе рабочей зоны, мг/м3 < 500

Для поддержания условий микроклимата в помещении, целесообразно оснастить его системой кондиционирования. Ниже приводится расчет необходимого числа кондиционеров.

7.3 ОЦЕНКА ПОЖАРНОЙ БЕЗОПАСНОСТИ

Возможность возникновения пожарной ситуации в автозале не очень велика. Главная причина этого заключается в дорогостоящем оборудовании, обслуживаемом на объекте, так как выход его из строя по причине какого-либо возгорания приведет к прерыванию передачи телефонных сигналов. Потеря трафика приведет к большому материальному ущербу. Во всех помещениях установлены ручные углекислотные огнетушители ОУ-5 и ОУ-8, во дворе здания вывешены щиты с необходимым для тушения инструментом, а также плакаты с пояснениями.

Для предотвращения пожаров каждый год все работники автозала сдают экзамен по технике безопасности, также принимаются дополнительные меры безопасности такие как: плакаты с напоминанием о необходимости осторожного обращения с огнем, выделенные места для курения и т.д.

Попадание воды в оборудование, используемое на станции для телефонии и передачи данных, может привести к выходу его из строя. Поэтому в помещении автозала устанавливается система противопожарной сигнализации.

Для предотвращения человеческих жертв во время пожара, разработан план эвакуации, с которым ознакомлены все работники предприятия. План эвакуации при пожаре вывешивается в виде схем в каждом отделе.

7.4 ОЦЕНКА ЭЛЕКТРОБЕЗОПАСНОСТИ

В помещении мы предполагаем разместить следующее телекоммуникационное оборудование:

– концентраторыдоступаАТМ PacketStar Access Concentrator

(AC) 10, фирма: AT&T;

– коммутатор АТМ System 5000 BH, фирма: AT&T;

– персональные компьютеры.

Оборудование коммутации размещено в специальной стойке (rack), вес стойки 15 (кг), размеры 200´50´2,45 (см).

Оборудование оптимально работает в следующих условиях:

– Температура от 0 до 40о С;

– Влажность от 5 до 95%, неконденсированная;

– Питание:

– переменный ток - напряжение от 100 до 220 В, частота 50/60 Гц, ток 2 – 5 А;

– постоянный ток - напряжение от 48 до 60В, ток нагрузки 2 – 4 А.

Данное помещение по мерам безопасности относятся к устройствам с рабочим напряжение до 1 кВ.

По степени опасности поражения электрическим током помещение относится к классу без повышенной опасности, поскольку оно соответствует требованиям:

– сухое (60%);

– с нормальной температурой (20°);

– с изолированными полами;

– беспыльное;

– имеет заземленные предметы.

Однако существует вероятность поражения током постоянной частоты обслуживающего персонала. При замене блоков питания, блоков коммутации и т.п. в оборудовании, возможны случайные прикосновения к неизолированным электрическим частям находящимся под напряжением питания (от 48 до 60 В).

Это напряжение опасно для жизни. Поэтому данное оборудование необходимо заземлять.

По характеру окружающей среды помещение относится к классу "нормальных сухих", относительная влажность воздуха не превышает 60%. По степени доступности оно относится к категории электротехнических, т.е. доступ к оборудованию осуществляется только электротехническим персоналом.

Таблица 7.5 – Оценка условий труда производственного объекта

Наименование производственного фактора,

Единицы измерения

ПДК, ПДУ Фактический уровень производственного фактора Величина отклоне-ния "+"

Номер протокола, дата проведения замера, кем проведены

Вредные химические вещества в воздухе рабочей зоны, мг/мм3 0,01 Ниже уровня чувствительности прибора Норма

Протокол номер 352 от 20.11.2000

Выездная лаборатория Государственного комитета стандартизации и метрологии

Пыль преимущественно фиброгенного действия,мг/мм3 0,0015 Ниже уровня чувствительности прибора Норма
Вибрация, дБ 2 0 Норма
Шум, дБ 65 44 Норма
Излучения: неионизирующее, мкВт/см2 60 72 12
Ионизирующее, мкВт/см2 12 8 Норма

Микроклимат:

Температура 0 С,

18-240 270 - 270С Норма
Относительная влажность % 60 – 40 52 % Норма

Освещенность

Е, лк

200 150 Норма

В связи с отклонением температуры и относительной влажности воздуха в помещении, производим расчет системы кондиционирования.

Так как не все рабочие места удовлетворяют требуемым нормам, производим описание оптимальных условий труда оператора в автозале.

Для обеспечения требуемой освещенности документа 500 лк производим расчет искусственного освещения.

В данном помещении телекоммуникационное оборудование заземлено, но для достижения более высоких мер безопасности приводим расчет защитного заземления.

7.5 РАСЧЕТ СИСТЕМЫ КОНДИЦИОНИРОВАНИЯ

Кондиционирование обеспечивает наилучшее микроклиматические условия в помещении и условия работы точной и чувствительной аппаратуры, и должно выполняться в соответствии с главой СНиП 11-33-75 “Отопление, вентиляция и кондиционирование воздуха”.

Количество воздуха L (м3/ч), которое необходимо вывести за один час из производственного помещения, чтобы вместе с ним удалить избыток тепла Qизб, определяется по формуле:


(7.1)
м3

где Св – теплоемкость воздуха, ккал/кг*град;

tУХ – температура уходящего из помещения воздуха,˚С;

tВХ – температура поступающего приточного воздуха, ˚С;

γВ – плотность воздуха, кг/м3.

В свою очередь, избыточное тепло – разность тепловыделений в помещении и теплоотдача через наружные ограждения в окружающую среду, т.е.

Qизб= Qп – Qот=5320 Вт, (7.2)

где Qп - количество тепла, поступающего в воздух помещения, ккал/ч;

Qот – теплоотдача в окружающую среду через наружные

ограждения, ккал/ч. В летнее время Qот =0.

Количество тепловыделений Qп зависит в основном от мощности оборудования, числа работающих людей и тепла, которое вносится в помещение солнечной радиацией через оконные проемы:

Qп = Qоб + Qл + Qр=625+200+4495=5320 Вт, (7.3)

где Qоб – тепло, выделяемое производственным оборудованием, ккал/ч;

Qл - тепло выделяемое людьми, ккал/ч;

Qр – тепло, вносимое солнечной радиацией, ккал/ч.

Тепло, выделяемое производственным оборудованием, определяется из соотношения

Qоб=860*Роб*η= 860*2500*95%= 625 Вт, (7.3)

где 860 – тепловой эквивалент 1 кВт*ч, т.е. тепло, эквивалентно 1 кВт*ч электрической энергии;

Роб – мощность, потребляемая оборудованием, кВт;

η – коэффициент перехода тепла в помещение.

Для тепла, выделяемого людьми,

Qл = Чл (q –qисп) =2*100= 200 Ватт, (7.4)

где Чл – число работающих;

(q –qисп) – явно тепло;

q – тепловыделение одного человека при данной категории работ;

qисп – тепло, затраченное на испарение.

Теплоотдача через наружные ограждения и окружающую среду Qот в помещениях с большими тепло избытками равно приблизительно количеству тепла, вносимого в помещения солнечной радиацией через окна.

Тепло, вносимое солнечной радиацией, определяется из соотношения:

Qр = n* F*qост = 4*7,75*145= 4495 Вт, (7.5)

где n – количество окон в помещении;

F - площадь одного окна (площадь световое поверхности), м2;

qост - солнечная радиация через остекленную поверхность, т.е.

количество тепла, вносимое за 1 ч через остекленную

площадь в 1 м2 .

Норма воздухообмена для помещения определяется СниП II-68-75 и составляет 30 м×куб/час на одно место, и соответственно, для двух рабочих мест и двух стоек оборудования, составит:

Lнорм = 30*4 = 120 м3/час. (7.6)


Для обеспечения требуемых норм воздухообмена применяем оконный кондиционер LWH0560AC, который рассчитан на вентиляцию и кондиционирование 25 м2 , их необходимо 4 шт.

Кондиционер LWH0560AC обеспечивает:

oохлаждение воздуха;

oавтоматическое поддержание заданной температуры;

oочистка воздуха от пыли;

oвентиляция;

oуменьшение влажности воздуха;

oизменение скорости движения направления воздушного потока;

oвоздухообмен с окружающей средой.

Количество кондиционеров в расчете на вентиляцию можно рассчитать по формуле (9.7):

n = Lнорм /Lq, (7.7)

где Lq – производительность кондиционера.

Для LWH0560AC, из условия обеспечения вентиляции: n = Lнорм /Lq = 870/320 = 4 шт.

В результате проделанного расчета, мы убедились, что требования, предъявляемые СНиП II‑68-75, обеспечивают все нормируемые параметры микроклимата в помещении для оборудования телекоммуникации

Параметры кондиционера LWH0560ACG:

Потребляемая мощность - 1000 Вт.

Обслуживание площади - 25м2 .

Производительность по холоду – 1740 (1500)Вт/час (Ккал/час).

Производительность по воздуху при высокой частоте вращения вентилятора - 400м3 /час.

Производительность по воздуху при низкой частоте вращения вентилятора, - 320м3 /час.

7.6 РАСЧЕТ ЗАЩИТНОГО ЗАЗЕМЛЕНИЯ

Тип заземления – контурный, при котором заземлители располагаются по контуру внутри помещения. Помещение имеет следующие размеры: A=10 м, B=8 м.

Контур состоит из вертикальных электродов – стальных труб длиной lв = 3 м, диаметром d = 50 мм, соединенных горизонтальной полосой длиной равной периметру контура:

L2 = Pк = (А+В)*2. (7.8)

Подставляя значения в формулу (7.8) находим:

L2 = Pк = (10+8)*2 = 36 м.

В качестве горизонтального электрода применим стальную полосу сечением 40´4 мм. Глубина заложения электродов в землю t0 = 0,5 м. Удельное сопротивление грунта P = 80 Ом·м. В качестве естественного заземлителя применяются железобетонная арматура сопротивлением RC = 20 Ом. Ток замыкания на землю Iз = 70 А.


8. БИЗНЕС-ПЛАН

8.1 ТЕХНИКО-ЭКОНОМИЧЕСКОЕ ОБОСНОВАНИЕ

В данном разделе дипломного проекта приводится расчёт технико-экономических показателей для проектируемого коммутационного оборудования АТМ.

Линия связи создаётся на базе оборудования SDH, имеет топологию построения «кольцо». Линия обеспечивает 950 каналов тональной частоты.

Потребителями междугородной и международной связи будут предприятия, население, также часть каналов будет предоставляться для передачи данных и сдаваться в аренду.

Размещение проектируемого оборудования АТМ предполагается осуществлять в помещении автозала существующего здания, кабель будет прокладываться в существующей кабельной канализации. Приём нового штата не предусматривается.

Таким образом, поставленная задача относится к техническому перевооружению.

8.2 РАСЧЁТ КАПИТАЛЬНЫХ ЗАТРАТ

Капитальные вложения – это затраты на расширение воспроизводства основных производственных фондов.

Капитальные вложения являются важнейшим экономическим показателем, так как непосредственно характеризуют, во что обходится создание новых сооружений техники связи.

Капитальные вложения включают в себя затраты на строительно-монтажные работы, приобретение оборудования, транспортных средств и инвентаря и прочие виды подготовительных работ, связанных со строительством, то есть капитальные затраты принимаются равными сметной стоимости строительного объекта.

Так как размещение оборудования производится на существующих площадях, то затраты на строительство зданий не предусмотрены.

Все произведённые расчёты представлены ниже в табличной форме таблица 8.1.

Таким образом, из расчёта смет получим, что сумма капитальных вложений составляет 33100000 тенге.

Таблица 8.1 – Смета затрат на оборудование

Наименование работ или затрат Единицы измерения

Количе- ство

единиц

Сметная стоимость, тенг.
Единица Общее
КонцентратордоступаАТМ (PacketStar Access Concentrator (AC) 10)

комплект

6 2250000 13500000

Коммутатор для АТМ-сети

(System 5000 BH)

комплект 6 3000000 18000000
Статив штук 2 150000 300000
Персональные компьютеры штук 2 150000 300000
Ноутбук с программным обеспечением штук 1 200000 200000
Монтаж и настройка оборудования с учётом накладных расходов 600000

600000

Стоимость неучтённого оборудования 150000
Всего по смете 33100000

8.3 ЭКСПЛУАТАЦИОННЫЕ РАСХОДЫ

Эксплуатационные расходы на содержание коммутационного оборудования АТМ определяются по формуле:

ЭР = ФЗП+ОСНОЭЛМПР , (8.1)

где ФЗП – фонд заработной платы;

ОСН - отчисления на социальный налог;

ЗМ - затраты на материалы, запасные части и текущий ремонт;

Ао - амортизационные отчисления;

ЗЭЛ - затраты на оплату электроэнергии;

ЗПР - прочие затраты.

8.4 ФОНД ЗАРАБОТНОЙ ПЛАТЫ

Затраты на оплату труда определяются по штатному расписанию. Штат персонала по эксплуатации коммутационного оборудования приведен в таблице 8.2.

Таблица 8.2 – Затраты по труду на обслуживающий персонал

Должность Численность работников Оклад, тыс. тг.
Инженер-оператор 2 50
Инженер-техник 2 40
Техническая уборщица 1 15
Всего за год 2340

Отчисления на социальное страхование:

ОСН = НСН *(ФЗП – 0,1*ФЗП), (8.2)

где НСН – норма отчислений на социальный налог, НСН =21%.

ОСН = 0,21 (2340 –0,1*2340)= 442,260 тыс.тг.

8.5 ЗАТРАТЫ НА МАТЕРИАЛЫ, ЗАПАСНЫЕ ЧАСТИ И ТЕКУЩИЙ РЕМОНТ

Эти расходы определяются по установленным денежным нормативам на единицу оборудования, которые приведены в таблице 8.3.


Таблица 8.3 – Расходы на материалы и запасные части

Наименования статьи расходов Денежный норматив, тыс. тг Всего по сети за год, тыс. тг.
Содержание коммутационного оборудования 150 на один комплект аппаратуры 2250
Всего 2250

8.6 АМОРТИЗАЦИОННЫЕ ОТЧИСЛЕНИЯ

Они определяются на основе капитальных вложений и нормы амортизационных отчислений:

АО = НОБОб ¢ , (8.3)

где НОБ – норма амортизации на коммутационное оборудование,

7,8% от суммы капитальных вложений;

KОб ¢ = КОб + КПК =31800000+500000=32300 млн.тг,

АО = 0,078 *32300 = 2520 млн. тг.


СПИСОК ЛИТЕРАТУРЫ

1. Назаров А.Н., Симонов М.В. АТМ: технология высокоскоростных сетей. – М.: Эко-Трендз, 1997.– 12с.

2. Буассо М. Деманж.М. Введение в технологию АТМ.- М.: Радио и связь, 1997.

3. Нейман В.И. Новое поколение систем коммутации // Электросвязь – №1. - 2001.– С.32–34

4. Нейман В.И. Эволюция цифровой техники коммутации // Радио. – №7. – 1997.– С.51-55.

5. Нейман В.И. Эволюция цифровой техники коммутации // Радио. –№8.– 1997. – С.54-56.

6. Кучерявый А.Е. Нестеренко В.Д. Парамонов А.И. Стратегия развития сетей связи на основе новых технологий // Электросвязь.– №1 – 2001.- С25-27.

7. Ефимушкин В. Ледовских Т. Коммутация в сетях АТМ // Сети. – №12. – 1999. – С28-35

8. Ефимушкин В. Ледовских Т. Коммутация в сетях АТМ // Сети. – №1. – 2000. - С26-31.

9. Назаров А.Н. Разживин И.А., Симонов М.В. АТМ: технические решения создания сетей. – М.: Горячая линия – Телеком.-2001.-216 с

10. Васильев А.Б., Николенко В.Н., Крастилевская М.А. Широкополосные сети связи на основе технологии АТМ. – М.: ЦНТИ «Информсвязь»,1996. – 104 с.

11. Achille Pattavina. Switching theory: Architectures and performance in broadband ATM networks– Jhon Willey & Sons- 1998. – 408 c.

12. Захаров Г.П., Симонов М.В, Яновский Г.Г. Службы и ахитектура широкополосных цифровых сетей интегрального обслуживания. – М.: Эко-Трендз, 1993.-102 с.

13. H. Jonathan Chao, Cheuk H.Lam, Eiji Oki. Broadband packet switching technologies: A practical guide to ATM Switches and IP routers – Jhon Willey & Sons- 2001. – 458 c.

14. Разживин И.А, Техника коммутации B-ISDN// Средста связи (НИИ «Экос»), 1991. – Вып.3. – С.36-47.

15. Рудов Ю.К., Яковлев А.В. Лукиников В.Н. Пути создания оборудования для широкополосных цифровых сетей интегрального обслуживания// Системы и средства телекоммуникаций. – М.: Экос, – № 2. –1993. - С 12-18.

16. F.A.Tobagi and T.Kwok, The tandem banyan switching fabric:a simple high-performance fast packet switch. Proc.:IEEE,1991.–157с.

17. T.T.Lee and S.C. Liew. Broadband packet switches based on dilated intercon-nection networks, IEEE Trans.Commun.– vol.42. Feb.1994.

18. S.C.Liew and T.T.Lee, Principles of broadband switching and networking (Draft 3). Chinese Hong Kong University,1995.

19. S.C.Liew and T.T.Lee. N log N dual shuffle-exchange network with error-correcting routing. IEEE Trans.Commun.–vol.42. Apr.1994.

20. Теория телетрафика: Учебник для вузов /Ю.Н. Корнышев, А.П, Пшеничников, А.Д.Харкевич. – М.: Радио и связь, 1996. - 272 с.

21. Беллами Д.Ж. Цифровая телефония: Пер с англ. – М.: Радио и свуязь, 1986. – 5644 с.

22. Ершов В.А., Ершов Д.В. Управление канальными ресурсами ЦСИС на основе его резервирования // Электосвязь. – № 12. –1994. – С.1-8.

23. Ершов В.А., Кузнецов Н.А. Теоритические основы построения цифровой сети с интеграцией служб (ISDN). – М.: Институт проблем передачи информации РАН. – 1995.- 280 с.

24. Рудов Ю.К., Яковлев А.В. Лукиников В.Н. Пути создания оборудования для широкополосных цифровых сетей интегрального обслуживания// Системы и средства телекоммуникаций. – М.: Экос, 1993. - № 2, - С 12-18.

25. Ершов В.А., Ершов Э.Б., Ковалев В.В. Метод расчета пропускной способности звена Ш-ЦСИС с технологией АТМ при мультисервисном обслуживании// Электосвязь – 2000. - № 3. – С.20-21.

26. Ершов В.А Ершова Э.Ю Метод расчета потерь вызовов в АТМ-сети при конечном числе источников нагрузки// Электосвязь. –

№ 9. – 2001. – С.33-36.

27. Назаров А.Н. Модели и методы расчета структурно-сетевых параметров сетей АТМ.- М.: Горячая линия – Телеком.-2002.

28. Тобаги Ф.А. Архитектуры высокоскоростных коммутаторов

пакетов для широкополосных цифровых сетей интегрального

обслуживания // ТИИЭР.– №1.– 1990. - С.105 –142.

29. Шварц М. Сети связи: протоколы, моделирование и анализ. ч.1. М.: Наука,1992.

30. Ким Л.Т. Создание транспортной системы на сети связи России//

Электросвязь. – №11.– 1993. – С.20-23.

31. Ким Л.Т. Синхронная цифровая иерархия// Электросвязь. – №3.–1991.–С.2-5.

32. Дубова М. Введение в TCP/IP// Сети. – №2.– 1997. – С.36-45.

33. Александер. АТМ: Обещание пока не выполнено// Сети. – №6.– 1996. – С.30-31.

34. Белман Б. АТМ. Борьба продолжается // Сети. – №6.–1996.– С.32.

35. Сатовский Б. АТМ: новый взгляд на старые стереотипы.// LAN. – № 8.– 1996.– С.56–62.

36. Нурмухамедов Л.Х. Создание систем передачи цифровой синхронной иерархии со скоростями 155,622 Мбит/с и 2,4 Гбит/с// Системы и средства телекоммуникации. –№4. – 1992. – С.3–8.

37. Дипломное проектирование. Методическое пособие по дипломному проектированию для специальности АЭС. – Алматы.:

АИЭС, 1998.

38. Дюсебаев М.К. Методические указания по «Охране труда» для студентов дипломников. – Алма-Ата.: АЭИ,1984.

39. Охрана труда на предприятиях связи и охрана окружающей среды: Учебник для вузов./ Н.И. Баклашов, Н.Ж. Китаев, Б.Д. Терехов. - М.: Радио и связь, 1989.

40. Охрана труда на предприятиях связи и охрана окружающей среды: Учебник для вузов./ Н.И. Баклашов, Н.Ж. Китаев, Б.Д. Терехов. - М.: Радио и связь, 1989.

41. Кошулько Л.П., Суляева Н.Г., Генбач А.А. Производственное освещение: Методические указания к выполнению раздела «Охрана труда» в дипломном проекте. - А.: АИЭС, 1989

42. Экономика связи: Учебник для вузов./ Под ред. О.С. Срапионова. – М.: Радио и связь,1992.

43. Менеджмент предприятий связи: Учебник для вузов./ Под ред. Е.В. Деминой и Н. П. Резниковой. – М.: Радио и связь,1997.

44. Резникова Н.П. Маркетинг в телекоммуникациях. – М.: Эко – Трендз, 1998.

45. Алибаева С.А. Методические указания по дипломному проектированию. - А: АИЭС, 2001. – 17 с.

ЗАКЛЮЧЕНИЕ

В дипломной работе была исследована актуальная тема – неблокируемые системы в сетях АТМ, на примере Баньян сети. Итогом дипломной работы является изучение существующих в настоящее время неблокируемых систем применяемых в АТМ коммутаторах для увеличение пропускной способ ности и улучшение других характери стик данного оборудования, и сети ATM в целом.

В дипломной работе были рассмотрены: коммутаторы для технологии АТМ; коммутационные элементы различных структур; методы буферизации в коммутаторах; принципы проектирования коммутаторов; свойства Баньян коммутации; алгоритмы разрешения конфликтов на выходе; основные компоненты неблокируемых систем; широкополосная Баньян сеть. обощенный алгоритм самотрассировки; условия неблокирования в широкополосной Баньян сети.

В данной дипломной работе были произведены следующие расчеты:

– расчет эффекта статистического мультиплексирования в

коммутационной системе;

Были затронуты вопросы безопасности жизнедеятельности. Где привели анализ условий труда оператора в автозале, произвели расчет системы кондиционирования и расчет защитного заземления.

В технико-экономическом обосновании произвели оценку затрат на размещение аппаратуры АТМ и срок окупаемости.

Оценить/Добавить комментарий
Имя
Оценка
Комментарии:
Хватит париться. На сайте FAST-REFERAT.RU вам сделают любой реферат, курсовую или дипломную. Сам пользуюсь, и вам советую!
Никита09:42:06 02 ноября 2021
.
.09:42:05 02 ноября 2021
.
.09:42:04 02 ноября 2021
.
.09:42:04 02 ноября 2021
.
.09:42:04 02 ноября 2021

Смотреть все комментарии (20)
Работы, похожие на Дипломная работа: Коммутация в сетях с использованием асинхронного метода переноса и доставки

Назад
Меню
Главная
Рефераты
Благодарности
Опрос
Станете ли вы заказывать работу за деньги, если не найдете ее в Интернете?

Да, в любом случае.
Да, но только в случае крайней необходимости.
Возможно, в зависимости от цены.
Нет, напишу его сам.
Нет, забью.



Результаты(287041)
Комментарии (4154)
Copyright © 2005-2021 HEKIMA.RU [email protected] реклама на сайте