Вводная глава
Минеральные удобрения — это соединения, способные при внесении в почву растворяться и диссоциировать на ионы в почвенном растворе, чрезвычайно необходимые для жизни растений, поскольку содержат азот, фосфор, калий и прочие нужные элементы в легкоусвояемой форме. С точки зрения химической номенклатуры, подавляющее большинство минеральных удобрений — это соли. Им принадлежит важная роль в повышении урожайности сельскохозяйственных культур — за счет их применения можно получить не менее половины прироста урожая. Минеральные удобрения часто называют туками, а промышленность, производящую их, туковой. В России создана мощная туковая промышленность, которая сейчас выпускает более 40 видов минеральных удобрений, употребимых, как правило, для всех культур.
Минеральные удобрения получают химической или механической обработкой неорганического сырья, но полученные химической являются более питательными.
Методы классификации удобрений
Чтобы классифицировать минеральные удобрения по агрохимическому воздействию, разработана следующая иерархия:
Прямые удобрения
1. Простые (односторонние) удобрения
а) Азотные
б) Фосфорные
в) Калийные
г) Микроудобрения
2. Комплексные (многосторонние) удобрения
а) По составу:
—Двойные
—Тройные (полные)
—Четвертичные (полные с добавкой)
б) По способу получения:
—Сложные
—Сложно-смешанные
—Смешанные
Косвенные (мелиоративные) удобрения или материалы (а также иногда выделяют:
косвенно-прямые)
а) Известковые
б) Сульфатные
Кроме этого, минеральные удобрения, поступающие в продажу, по агрегатному состоянию делятся на порошкообразные, гранулированные, крупнокристаллические, жидкие, суспензированные.Гранулированное и крупнокристаллическое удобрение имеет ряд преимуществ по сравнению с порошковым: его легче хранить (не слеживается), удобнее вносить в почву с помощью туковых сеялок, но главное — на большинстве почв оно дает более высокий прирост урожая.
Также различают физиологически-кислые, физиологически-щелочные и физиологически-нейтральные удобрения. К физиологически-кислым относятся такие удобрения, из которых растение энергично поглощает катион, а анион подкисляет почвенный раствор: сульфат и нитрат аммония, хлорид и сульфат калия, а также карбамид. Они подкисляют почву вследствие способности нитрифицирующих бактерий окислять аммиак до азотной кислоты. К физиологически-щелочным относятся такие удобрения, из которых анион ассимилируется растением, а катион, постепенно накапливаясь, подщелачивает почвенную среду, например нитраты натрия, калия и кальция.
Oсобенности хранения и обращения с минеральными удобрениями
Условия хранения минеральных удобрений в значительной мере зависят от физико-химических свойств удобрений и видов поставки. Различают склады общего назначения и специализированные. На складах общего назначения одновременно хранят несколько видов удобрений, а в специализированных — определенный вид удобрений, например аммиачную селитру, аммиачную воду, и др. На складах общего назначения каждому виду удобрений отводят определенное место. Для более рациональной организации переработки удобрений склады, не имеющие секций, условно делят на две части, в одной из которых хранят только затаренные удобрения, в другой — удобрения, складированные в кучах. Если склады разделены на секции, то в малых секциях целесообразно хранить затаренные, а в большие загружать сыпучие удобрения. Затаренные удобрения хранят на поддонах, установленных в штабеля в 3—4 яруса, и без поддонов.
Поврежденные мешки с удобрениями хранят отдельно от основной партии. Если удобрения затарены в полиэтиленовые мешки, их можно хранить под навесом, предохраняя от воздействия солнечных лучей.
Мешки с минеральными удобрениями укладывают на плоские поддоны тройником (вперевязку), при этом следят, чтобы каждый из них не выступал за край поддона более чем на 5 см. На поддон укладывают только исправные мешки. Поверхность пакета, сформированного из мешков, должна быть ровной. Мешки зашивкой укладывают внутрь штабеля, чтобы в случае расшивки мешка и высыпания удобрений не нарушилась связь ряда и штабель не развалился. Рваные мешки заменяют, а удобрения пересыпают в другие мешки, используя средства индивидуальной защиты.
Твердые минеральные удобрения нельзя располагать в проходах, проездах, около рубильников и токопроводящей арматуры, дверей и оконных проемов. Расстояние от стены склада до штабеля должно быть 0,6—1,0 м, от минеральных удобрений до электропроводов, рубильников, приборов — 1 м.
Требования к качеству минеральных удобрений
В настоящее время сельское хозяйство ориентируется на использование концентрированных и комплексных удобрений: из азотных удобрений — на аммиачную селитру и карбамид, из фосфорных— на двойной суперфосфат, из калийных — на хлористый калий, из комплексных главным образом на сложные и смешанные на фосфатах аммония. Основные требования сельского хозяйства к ассортименту удобрений и их качеству:
- ассортимент минеральных удобрений должен быть по возможности шире представлен комплексными удобрениями со следующим соотношением действующих веществ: 1:1:1, 1:1:1,5 1:1:0,5 1:1:0 0:1:1,5 1:1,5:1 1 : 1,5 : 1,5, 1,5 : 1 : 1 , 1:4:0 1 : 2,5 : 0.
- Поставка всех твердых удобрений (за исключением фосфоритной муки и фосфатшлака) должна производиться только в гранулированном или крупнокристаллическом виде с размером гранул или кристаллов: гранул с диаметром (d), равным 2-4 мм—не менее 80%, в том числе с d=2-3 мм – не менее 50%. Содержание пылевой фракции (d<1.0 мм)– не более 1%; продукт должен проходить через штампованное сито с отверстиями диаметром 5 мм.
- После транспортирования и хранения удобрений на складах в насыпях высотой до 5 м (и до 10 м на перспективу) в течение не менее 6-ти месяцев со дня отгрузки поставщикам удобрения должны сохранять свои свойства и гранулометрический состав (до 97%).
- Содержание влаги в минеральных удобрениях не должно превышать следующих значений (в %):
Азотные удобрения ................ 0,15—0,3%
Суперфосфаты..........................3,0—4,0%
Остальные удобрения . . . 1,0—2,0%
- Статистическая прочность гранул – не ниже 50-30 кгс (1 гс = 9,8 мН), динамическая прочность — не менее 85-90%.
- Производить отправку roтовoro продукта следует после охлаждения до температуры 40-45 °С.
- Удобрения должны быть сыпучими и однородными в течение всего гарантийного срока после транспортирования и хранения. В помещении с повышенной влажностью удобрения увлажняются, вследствие чего увеличивается их слеживаемость (особенно у водорастворимых, с малой прочностью гранул), ухудшается качество, поэтому упаковка, в которой их держат, должна быть не поврежденной. Для уменьшения гигроскопичности и слеживаемости удобрения применяют:
производство удобрений в гранулированном виде с минимальным содержанием влаги;
получение возможно более прочных гранул;
охлаждение удобрений перед складированием или затариванием;
защита удобрений от возможности поглощения влаги из воздуха (герметичность тары, складов и транспортных средств, защитное покрытие гранул щелочными добавками).
- Удобрения не должны содержать (или содержать в допустимых пределах) агрессивных примесей: активного хлора, соединений фтора, биурета, свободной кислоты (содержание свободной кислоты в суперфосфатах не должно превышать 1%).
- С 1980 г. основная часть хлористого калия должна поставляться в гранулированном и крупнокристаллическом виде; негранулированная часть будет использована в производстве комплексных удобрений.
- Микроудобрепия следует производить в основном в составе комплексных, а для непосредственного применения их желательно поставлять в сульфатной форме.
Обязательная маркировка минеральных удобрений
На каждом пакете указывают: наименование предприятия-изготовителя, название минерального удобрения, количество (массу, вместимость), цену, дату выпуска, химический состав, инструкцию о способе применения, которую необходимо строго соблюдать.
Техника внесения удобрений
Удобрения можно вносить до посева, во время посева и в период вегетации растений. В любом случае необходимо руководствоваться тем, что в удобрении нуждаются растения, а не почва, почему и вносить удобрения надо так, чтобы они максимально полно использовались растениями, а следовательно, они должны быть как можно ближе к корневой системе растений.
Различают 2 способа внесения удобрений: сплошное внесение и местное (локальное) внесение. При использовании сплошного метода удобрение рассеивают по всей засеваемой площади, а затем заделывают в почву плугом, бороной или культиватором.
Местное удобрение вносят в рядки, лунки, борозды. Конечно, такое «адресное» внесение более эффективно, чем разбросное. Однако в нашей стране более распространенным является именно разбросное внесение. Это обусловлено традициями, а также тем, что такой способ внесения обеспечен материально-технической базой: имеются разбросные туковые сеялки, разбрасыватели минеральных удобрений и т. д. На приусадебных участках превалирует местное внесение.
По срокам внесения различают удобрение допосевное (основное), припосевное (рядковое) и послепосевное (подкормка).
Основное удобрение. Минеральные удобрения вносят в почву ранней весной или осенью, во время подготовки почвы. Такое внесение удобрений называют основным.Впочву обычно вносят полную норму навоза и около 2
/3
нормы минеральных удобрений, предназначенных для данной культуры. Это удобрение запахивают плугами с предплужниками. Если его заделать в почву мелко, растение слабее использует из него питательные вещества, так как верхний слой почвы летом часто пересыхает, и мельчайшие корни с корневыми волосками, через которые происходит поступление воды и солей в растение, высыхают и отмирают. Вносить основное удобрение хорошо, равномерно разбрасывая сухое удобрение на определенной площади с тем, чтобы потом заделать его в почву.
Припосевное удобрение. Рядковое удобрение используют в небольшом количестве при посеве семян или посадке клубней, корней, рассады. Цель припосевного удобрения — обеспечить молодые растения хорошо усваиваемым минеральным питанием в начале их роста. Для припосевного удобрения пригодны только быстродействующие вещества. Их заделывают в почву мелко, на 2,5—5 см глубже посева семян или посадки корней, рассады. В некоторых случаях возможно даже внесение удобрений с семенами высеваемой культуры. Припосевное удобрение способствует ускорению роста растений и лучшей их устойчивости к неблагоприятным условиям погоды, болезням и вредителям.
Послепосевное удобрение. В летнее время, в период роста и плодоношения растений несколько раз в почву вносят удобрения дополнительно. В этом случае говорят о подкормке, т.е. о внесении легкоусвояемых растениями форм удобрений во время их роста. В подкормке можно дать те вещества, в которых растения больше всего нуждаются в определенные периоды их жизни. Например, ранней весной озимые испытывают недостаток в азоте, поэтому подкормка их в этот период оказывает положительное влияние на урожай. Весной с началом роста побегов, листьев, корней растениям необходимы подкормки азотными удобрениями, и как можно раньше. За лето целесообразно делать две подкормки—в июле и августе. Плодовые культуры подкармливают главным образом азотными удобрениями, но при обильном плодоношении при второй подкормке (в августе) вносят также калийные и фосфорные удобрения. Чрезмерная подкормка азотными удобрениями приводит к буйному росту листьев, что уменьшает сопротивление растений болезням. Кроме того, листья долго не опадают и деревья не успевают подготовиться к зиме. Поэтому плодовым растениям следует давать азотные подкормки лишь до конца июля, чтобы древесина успела как следует вызреть. Лучше всего делать подкормку, поливая землю водным раствором удобрения.
Так, для озимых зерновых культур наилучший урожай получают при внесении удобрений всеми тремя способами.
Подсчёт доз минеральных удобрений по действующему веществу
Вследствие того, что питательные элементы в удобрениях содержатся в разном процентном отношении, и очень часто приходится пересчитывать рекомендуемую дозу на тот вид удобрений, который имеется, в зависимости от вида удобрения, в агрохимии и сельскохозяйственном производстве употребляют термин «действующее вещество». По концентрации действующего вещества (д.в.) удобрения подразделяются на:
Низкоконцентрированные — до 25% д.в.
Концентрированные — до 60% д.в.
Высококонцентрированные — более 60% д.в.
Ультраконцентрированные — 100% д.в. и более.
Действующее вещество, или действующее начало — та часть удобрений, которая усваивается растениями. Выражают его в процентах. Его обычно указывают на упаковках удобрений и обозначают химическими формулами: азот N, фосфор Р2
О5
, калий — К2
О, магний — MgO и т. д. Если говорят о внесении в почву 10 кг калия, то на самом деле имеют в виду 10 кг К2
О и т.п. с остальными.
Другим термином, часто употребляемым в сельскохозяйственной практике, является «физический вес» (масса) удобрения — это действительная масса удобрения, включая действующее вещество и сопутствующие вещества. Это находит использование в характеристиках косвенных удобрений.
Для удобства расчетов дозы удобрений указывают в действующем веществе (в кг/га).
Масса в пересчете на действующее вещество исчисляется: азотные — в пересчете на азот N; фосфорные—в пересчете на пятиокись фосфора Р2
О5
; калийные— в пересчете на окись калия К2
О. Исчисление в действующих веществах необходимо при установлении доз внесения удобрения в почву. Для пересчета минеральных удобрений на 100%-ное содержание действующих веществ, физическую массу данного удобрения умножают на процентное содержание действующих веществ и делят на 100.
Для выражения дозы минеральных удобрений в массе туков (ц) необходимо дозу в действующем веществе разделить на процентное содержание азота в удобрении. Например, аммиачная селитра содержит 34% азота, значит, каждый центнер—100 кг— аммиачной селитры содержит 34 кг действующего вещества. На гектар посевов пшеницы нужно внести 60 кг азота (в действующем веществе). Это значит, что на 1 га поля нужно внести (60 ∙ 100) / 34 = 1,8 ц аммиачной селитры. Под озимую пшеницу необходимо внести 90 кг азота в действующем веществе. Если для этой цели будет использован водный аммиак, содержащий 20% азота, то доза его составит:
90/20 = 4,5 ц/га
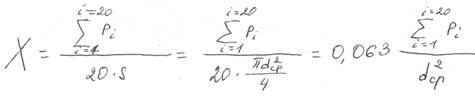
При определении необходимой дозы минеральных удобрений на делянку исходят из содержания действующего вещества в удобрениях и площади делянки, а расчет ведут по формуле:
m= m2
S / 100m1
где т — количество удобрений на одну делянку; т1
— содержание питательного вещества в удобрении в %; m2
— доза питательного вещества в кг/ га; S— площадь делянки в м2
.
Рассчитанное количество удобрений для каждой делянки отвешивают с точностью до 20 г, помещают в бумажный пакет или мешочек из плотной материи, туда же закладывают этикетку с обозначением номера делянки, названия и массы удобрения.
Ещё в 80-х гг в некоторых странах (США, Канада, Англия и др.) ставится вопрос о переходе исчисления содержания действующих веществ в удобрениях с оксидов (Р2
О5
, К2
О и т. д.) на элементы (N, Р, К и т, д.). В СССР, как и в других странах, намечали постепенно переходить на новую форму выражения действующих веществ. Коэффициенты пересчета из окислов в элементы действующих веществ и из элементов в окислы приведены ниже:
1 Р2
О5
= 0,4361 Р 1P=2,2911 Р2
О5
1 К2
О = 0,8301 К 1K = 1,2046 К2
О
1СаО = 0,7147 Са 1Ca = 1,3992 CaO
1 СаСО3
= 0,4004 Са 1Ca =2,4972 CaCO3
1 МgО = 0,63031 Мg 1Mg= 1,6579 MgO
Глава I. Прямые удобрения
Прямые удобрения предназначаются для непосредственного питания растений. На построение органов и формирование урожая растения расходуют минеральные вещества, поступающие в основном из почвы. Азот, фосфор, калий потребляются растениями в наибольших количествах, поэтому их называют основными питательными элементами. Остальные необходимы растению в меньших количествах.
1.1 Простые удобрения
Простые удобрения содержат один питательный элемент.
Азотные удобрения
Описание. Азотные удобрения подразделяются на аммиачные (сульфат аммония), нитратные (натриевая селитра) и амидные (карбамид, цианамид кальция). Промышленность производит твердые и жидкие на основе жидкого и водного аммиака. Все азотные удобрения хорошо растворимы в воде и используются как в виде растворов, так и в твердом состоянии.
Все соли аммония относятся к физиологически кислым удобрениям. Кальциевая, натриевая селитры и цианамид кальция являются физиологически щелочными удобрениями. Селитры хранят в бумажных битумированных или полиэтиленовых мешках вместимостью до 50 кг. Склонны к химическому самовозгоранию при контакте с горючими материалами и порошками некоторых металлов и их окислов (алюминий, медь, цинк, железо и др.). При возгорании выделяют кислород, горят без доступа воздуха и выделяют ядовитые газы. Следует сказать особо о нитрате аммония.Для негоизвестно несколько кристаллических форм, в которых он существует при различных температурах — кубическая, тригональная, моноклинальная, ромбическая, тетрагональная. Превращение одних комбинаций молекул в другие сопровождается изменениями структуры и плотности кристаллов и происходит с выделением теплоты: все это и может служить причиной взрыва аммиачной селитры. Если аммиачная селитра хранится в уплотненном состоянии в замкнутом пространстве, то при повышении температуры до 230° С может разлагаться:
2NH4
NO3
= 2NO + N2
+ 4Н2
О + 57.6 кдж
Вследствие выделения теплоты, приводящей к дополнительному разогреванию удобрения, скорость этой реакции быстро возрастает, и она может закончиться взрывом, самовозгоранием. По той же причине нужно предохранять его от смешивания с торфом, опилками, соломой и другими органическими материалами, нагревания.Скорость разложения также увеличивается в присутствии кислот (азотной, соляной, серной), и порошкообразных металлов (цинка, никеля, меди, свинца и др.). Замедляет разложение ингибитор карбамид (0,1—0,2% от массы NH4
NO3
). Применяемые в производстве для уменьшения слеживаемости аммиачной селитры добавки так называемого азотнокислого раствора апатитового концентрата несколько локализует процесс термического разложения; растворы доломита не влияют на скорость разложения. Потери азота от разложение NH4
NO3
в производственных условиях составляют 0,15—0,5%.
Характерные представители.Аммиачная селитра NH4
NO3
(ГОСТ 5.2176-84). По масштабам производства аммиачная селитра занимает в России первое место среди азотных удобрений. Нитрат аммония — кристаллическое вещество белого цвета. Выпускается в виде белых гранул, чешуй. Содержание азота в марке А не менее 34,2% (17,5% аммонийной и 17,5% нитратной) N, влаги не более 0,3%. Марка Б содержит не менее 34% N, влаги не более 0,3%. Технические условия на аммиачную селитру марки Б приведены ниже:
Содержание добавок (в сухом веществе)
фосфатов в пересчете на Р2
О5
, % не менее........0,5
нитратов кальция и магния в пересчете на СаО, %......Не менее 0,3
Реакция.........Нейтральная, слабощелочная (в пересчете на NH3
— не более 0,05%) или слабокислая (в пересчете на HNO3
—не более 0,02%)
Рассыпчатость, %......Не менее 100
Гранулометрический состав
гранул 1—3 мм, %, не менее . . 90
гранул мельче 1 мм, % . . . . Не более 6
Температура селитры при упаковке, °С….. Не более 30
Некоторые высококачественные содержат 34,6% N при той же влажности. Чистая аммиачная селитра обладает высокой гигроскопичностью, активно поглощает влагу из воздуха, способностью слеживаться, и некоторой взрывоопасностью. В связи с этим технологический процесс получения аммиачной селитры включает специальные операции, улучшающие ее свойства — введение добавок, гранулирование. При соблюдении установленных правил обращения нитрат аммония практически безопасен.
Влажная же соль, содержащая более 3% воды, не взрывается даже под действием детонатора. Для уменьшения гигроскопичности этой соли ее сплавляют с менее гигроскопичными веществами, например с сульфатом аммония (при этом образуется сульфат-нитрат аммония — содержит 16-17% N). Запрещено вносить под огурцы, кабачки, патиссоны и тыкву, поскольку данные культуры активно накапливают нитраты.
Кальциевая (норвежская) селитра Са(NО3
)2
(ТУ 6-03-367-79). Существенные недостатки норвежской селитры — высокая гигроскопичность, низкое содержание азота — 14,5-15,5%, высокая влажность — не более 14%. Дальние перевозки ее экономически невыгодны, так как вместе с азотом транспортируется 85,5% балластных веществ. Нитрат кальция может кристаллизоваться с различным количеством кристаллизационной воды в зависимости от температуры, например, при 0—56° С образуется кристаллогидрат с четырьмя молекулами воды. Кальциевую селитру можно получить разложением кускового известняка 50—60%-ным раствором азотной кислоты, вводимой в избытке:
СаСО3
+ 2НNO3
= Са (NO3
)2
+ СО2
+ H2
O
Избыток кислоты нейтрализуют газообразным аммиаком, благодаря чему готовый продукт содержит около 5% нитрата аммония. Образующиеся чешуйки кальциевой селитры дробят и охлаждают до 30° С перед упаковкой. Стоимость единицы азота в кальциевой селитре, получаемой таким способом, выше, чем в аммиачной селитре. Нитрат кальция рационально получать путем поглощения известковым молоком, отходящих нитрозных газов при производстве азотной кислоты. При этом образуется раствор нитрита и нитрата кальция:
4NO2
+ 2Са (ОН)2
= Са (NO3
)2
+ Са (NO2
)2
+ 2Н2
О
Для превращения нитрита кальция в нитрат раствор двух солей обрабатывают азотной кислотой (протекает в аппарате — инверторе и носит название инверсии):
ЗСа (NO2
)2
+ 4HNO3
= 3Са (NO3
)2
+ 2Н2
О + 4NO
Инвертированный раствор содержит некоторый избыток азотной кислоты, который нейтрализуют газообразным аммиаком. При этом образуется небольшое количество аммиачной селитры. Нейтрализованный раствор отделяют от твердых примесей, упаривают, кристаллизуют при 90° С, охлаждают до 30° С и упаковывают. Доза 30—50 г на 1 м2
.
Натриевая (чилийская) селитра NaNO3
(ГОСТ 828-77). Это белое, серое, желтоватое мелкокристаллическое вещество (серый цвет придают примеси). В России нитрат натрия вырабатывают из отходящих газов при производстве азотной кислоты. Натриевая селитра содержит в 1 сорте не менее 16,4% N, влаги не более 1%. Во 2 сорте— не менее 16,1% N, влаги не более 1,8%. Обладает сравнительно небольшой гигроскопичностью, не слеживается.
Получение натриевой селитры во многом сходно с получением кальциевой селитры. Процесс нейтрализации оксидов азота растворами едкого натра или соды протекает в две стадии:
NO2
+NO+ Na2
CO3
= 2NaNO2
+ CO2
Na2
CO3
+ 2NO2
= NaNO3
+ NaNO2
+ CO2
Чаще всего нейтрализацию ведут раствором соды. Нитрит инвертируют 50%-ным раствором азотной кислоты:
3NaNO2
+ 2HNO3
= 3NaNO3
+ 2NO + Н2
О
Полученный 40—50%-ный раствор нитрата натрия упаривают в вакуум-выпарной установке до содержания 75% нитрата натрия. Суспензию охлаждают, при этом происходит кристаллизация. Кристаллы отделяют от маточного раствора центрифугированием, сушат их горячим воздухом, доводя до определенной влажности (1,5—2%).
Сульфат аммония (NH4
)2
SO4
(ГОСТ 9097-74) кристаллизуется в ромбической системе. Это крупные бесцветные кристаллы часто серого цвета, негорючие. Бывает высшего, 1 (кристаллический) и 2 (кристаллический или аморфный) сорта. Высший сорт содержит не менее 21% N, влаги не более 0,2%. 1 сорт содержит не менее 20,8% N, влаги не более 0,3%. 2 сорт содержит не менее 20,8% N, влаги не более 0,3%. Гранулированный— не менее 20,8% N, влаги не более 0,6%. Содержит также свободную серную кислоту (0,05%), не слеживается, наименее гигроскопична из всех азотных удобрений. Техническиеусловия на сульфат аммония:
Показатели Высший 1-й сорт 2-й сорт
сорт
Содержание свободной H2
SO4
, %, не
более............................. 0,025 0,050 0,050
Гранулометрический состав:
для гранулированного продукта—
содержание фракции 1—4 мм, %, не менее .... 90 —
для кристаллического продукта,
содержание частиц более
0,25 мм, %, не менее ... 90 70 —
Остаток на сите 6 мм . . . Отсутствие
Температура продукта перед затариванием в бумажные мешки не должна быть выше 40 °С, в полиэтиленовые, бумажные со слоями из бумаги, ламинированной полиэтиленом, и прорезиненные — не выше 50 °С.
В большом количестве сульфат аммония получают преимущественно из аммиака коксового газа. При этом аммиак нейтрализуется серной кислотой:
2NH3
+ Н2
SO4
= (NH4
)2
SO4
+ 280,3 кДж
Выделяющаяся теплота реакции используется для испарения большей части воды, вводимой с раствором серной кислоты. Соль отделяют от маточного раствора центрифугированием и сушат горячим воздухом, доводя до влажности 0,1—0,25%. Хранят в бумажных битумированных и полиэтиленовых мешках вместимостью до 50 кг и россыпью. Ядовит, вызывает ожоги кожи, раздражает верхние дыхательные пути.
Хлористый аммоний NH4
CIсодержит до 25% азота. В большом количестве хлористый аммоний получают преимущественно из аммиака коксового газа. При этом аммиак нейтрализуется соляной кислотой:
NH3
+ НС1 = NH4
СI + 260 кДж
Это белое кристаллическое вещество, хорошо растворимое в воде, малогигроскопичное, не слеживается при хранении. Специфичность хлористого аммония обусловлена высоким содержанием в этом удобрении хлора.
Сульфат аммония-натрия NH4
NaSO4
(ТУ 6-01-284-75). Кристаллический порошок с примесью окрашенных солей; содержание сульфата аммония 75% и сульфата натрия 25%. Содержит не менее 17% N, влаги не более 2%.
Карбамид (NH2
)2
CO (ГОСТ 2081-75) — диамид угольной кислоты, или амид карбаминовой кислоты (мочевина). Исходными реагентами для его получения служат аммиак и СО2
. Чистый карбамид содержит 46,6% азота, влаги не более 0,3%, и имеет вид бесцветных тетрагональных кристаллов, белых игл, ромбических призм. Выпускается с содержанием не менее 93% гранул размером от 1 до 4 мм, в том числе не менее 50% гранул размером от 2 до 3 мм; содержание гранул менее 1 ммдолжно быть не более 5% при отсутствии остатка на сите 5 мм. Механическая прочность на раздавливание не менее 300 г на 1 гранулу. Он менее гигроскопичен, чем аммиачная селитра, и меньше слеживается. При нагревании или при грануляции карбамид частично разлагается с выделением аммиака и образованием биурета — малорастворимого в воде соединения, которое легко отделить и взвесить:
2
CO(NH2
)2
→ (CONH2
)2
NH + NH3
Высокое содержание биурета в карбамиде токсично для растений.
Карбамид является высококонцентрированным безбалластным азотным удобрением. По величине физиологической кислотности карбамид приближается к аммиачной селитре. Промышленные способы получения карбамида основаны на его синтезе из аммиака и оксида углерода (IV). Процесс синтеза протекает в две стадии. В самом начале образуется карбамат аммония (аммонийная соль карбаминовой кислоты):
2NH3
+ СО2
↔ NH2
— COONH4
+ 163,4 кДж
Карбамат аммония затем превращается в карбамид, отщепляя воду:
NH2
— COONH4
↔ NH2
— CO — NH2
+ Н2
О—28,5 кДж
В почве карбамид под влиянием уробактерий превращается в карбонат аммония.
Хранят в бумажных или полиэтиленовых мешках вместимостью до 50 кг. Имеет температуру вспышки 182°С и температуру самовоспламенения — 640°. Не взрывоопасен. Выделяет аммиак, вызывающий легкое раздражение глаз и слизистой оболочки носа. В помещении для хранения устраивают активную вентиляцию.
Мочевино-формальдегидные удобрения (МФУ; за рубежом называется уреаформ). МФУ содержат 33— 42% азота. Это белая, аморфная смесь, не поглощающая влагу. Процесс ее получения можно изобразить в виде схемы:
30˚C
Формальдегид →Разбавленный раствор СО (NH2
)2
→ МФУ
Н2
SO
Состав их варьирует от водно-растворимых молекул метилен-мочевины с короткими цепями до нерастворимых в воде длинных молекулярных цепей полиметилен-мочевины [ NH2
CONH (CH2
NHCONH2
) CH2
NHCONH2
]. Метилен-мочевина образуется путем следующих реакций:
NH2
CONH2
+ CH2
O → NH2
CONHCH2
OH
NH2
CONHCH2
OH + NH2
CONH2
→ NH2
CONHCH2
NHCONH2
+ Н2
О
Диуреа-метилен [ NH2
CONHCH2
NHCONH2
], соединяясь с новыми молекулами метилен-мочевины, образует еще более длинные молекулярные цепи. МФУ содержат как непрореагировавшую мочевину, так и метилeн-мочевину. Одно вещество растворимо в воде и содержит легко доступный растениям азот, другое нерастворимо в воде и содержит азот, медленно переходящий в доступную для растений форму. Поэтому МФУ называют медленнодействующими. МФУ используют в больших дозах, так как оно не вымывается из почвы. Применение этого удобрения в сельском хозяйстве ограничено в связи с высокой его стоимостью.
Цианамид кальция CaCN2
. Содержит 20—21% азота, получается при взаимодействии азота и карбида кальция при 1100° С. Так как образование кальцийцианамида идет с выделением тепла, то достаточно нагреть смесь в наглухо закрытой печи до 1000˚ С, а далее реакция протекает сама:
N2
+ СаС2
= CaCN2
+ С + 70 ккал
Цианамид кальция представляет собой аморфный порошок темно-серого цвета (от примеси углерода), негорюч, ядовит, разлагается водой, поэтому применяется в качестве удобрения в незначительных количествах. В почве под действием воды и оксида углерода разложение цианамида кальция медленно протекает и при обычных температурах—превращается в кислую соль цианамида кальция Са(НСN2
)2
, цианамид NH2
СN, мочевину. Очень хорошо вносить вместе с томасшлаком. При увлажнении разогревается, выделяет ацетилен. Хранят в стальных барабанах емкостью 50—100 л, в битумированных мешках емкостью до 35 кг. Мешки укладывают на стоечные поддоны, бочки — на плоские, в штабеля в 3 яруса и более. Гарантийный срок хранения — 1 год.
Жидкие азотные удобрения в настоящее время широко применяют на полях нашей страны. На складах их хранят в сварных стальных резервуарах, оснащенных полным комплектом оборудования и арматуры, обеспечивающих герметичность и безопасность работы. Наружную поверхность резервуаров окрашивают в светлый цвет. Для предотвращения потерь аммиака от испарения обеспечивают полную герметизацию, регулируют дыхательную аппаратуру; систематически проверяют сальниковые уплотнения, набивки и прокладки. При хранении аммиачной воды используют герметизирующий самозатекающий пленкообразующий состав (ГСПС), который заливают на поверхность воды слоем не менее 3 см. Бывают следующих видов:
Жидкий аммиак (ГОСТ 6221-81) — бесцветная подвижная жидкость с неприятным запахом. Чистый продукт содержит 82,3% N, но жидкий аммиак добрение должен содержать не менее 82% N и не более 0,4% влаги. Наиболее концентрированное из всех азотных удобрений.
Предельное содержание примесей в жидком аммиаке (в мг/л) показано ниже:
Примесь Высший сорт 1 сорт 2 сорт
Масло 2,0
Железо 2,0 8,0 20,0
Технические свойства жидкого аммиака представлены ниже:
Плотность при — 33,5°С, кг/м3
.... 0,6814
Температура, °С:
сжижения (при атмосферном давлении) —33,5
затвердевания............................ —77,8
критическая.................................. 132,4
Критическое давление, МПа . . . . 11,28
Мольная теплоемкость, кДж/(кмоль-К):
при постоянном объеме (25°С) . . 28,2
при постоянном давлении . . . . 37,3
Получается как конечный продукт его синтеза из смеси азота и водорода на железо-калиевом катализаторе путем последующего его сжижения при высоком давлении:
N2
+ 3H2
↔ 2NH3
Поскольку жидкий аммиак получают при высоком давлении, снижение давления приводит к выделению аммиака из удобрения в атмосферу. Поэтому хранят и перевозят жидкий аммиак так:
Перевозку и хранение жидкого аммиака производят в следующих условиях:
в неизолированных стальных цистернах, рассчитанных на давление 1,77—1,96 МПа (рекомендуются для глубинных складов в колхозах и совхозах);
в цистернах с тепловой изоляцией при давлении 0,29 —0,59 МПа;
при атмосферном давлении в резервуарах с аммиачно-холодильной установкой (могут быть рекомендованы только для заводских и пристанционных хранилищ).
Вносят его специальными машинами.
Аммиачная вода (ГОСТ 647-77) представляет собой водный раствор аммиака с резким запахом—25% NH3
, или 20,5% N. В аммиачной воде марки Б, предназначаемой для сельского хозяйства, не допускается более 8 г/л СО2
и 0,01 г/л меди.
Давление паров аммиака и воды над аммиачной водой значительно ниже, чем над жидким аммиаком и составляет 49∙103
н/м2
. В связи с этим аммиачную воду можно хранить и перевозить в закрытых цистернах или баках. Для приготовления аммиачной воды может быть использован синтетический газообразный аммиак, а также аммиак, содержащийся в коксовом газе, который растворяют в очищенной воде (чтобы предотвратить выпадение солей, а также уменьшить коррозионное действие аммиачной воды):
NH3
+ H2
O ↔ NH4
OH ↔ NH4
+
+ OH—
Аммиачная вода каменноугольная должна отвечать следующим требованиям:
| Показатели |
1 сорт |
2 сорт |
3 сорт |
Содержание NH3
, % не
менее
Содержание примесей, не
более:
H2
S, г/л
СО2
г/л
Нерастворимый остаток, %
|
25
Отсутствие
То же
0,1
–
|
18,5
80
100
Не нормируется
—
|
18
Не нормируется
То же
То же
—
|
Аммиакатами называют растворы в аммиачной воде различных азотсодержащих веществ: аммиачной или кальциевой селитры, карбамида, карбоната аммония. Такие растворы имеют вид бесцветных или желтоватых жидкостей и обладают сильным запахом аммиака. Давление паров аммиака над аммиакатами значительно ниже давления паров над жидким аммиаком.
- Удобрение жидкое азотное «Плав» (ТУ 6-03-277—78) — раствор NH4
NO3
и CO(NH2
)2
(применяется в качестве сезонного удобрения в период с 1 марта по 1 ноября).
Технические требования:
Содержание, %:
CO(NH2
)2..............................................................
35,5-40,0
NH4
NO3
....................................... 36,0-43 0
N, не менее................ 30
Плотность, кг/м3
........ 1260—1330
Щелочность, в пересчете на NH3
, % . . 1,0—1,5
Температура кристаллизации, °С, не выше 3
- Удобрение аммонийное (жидкое) (ТУ 6-03-320—72)
- Технические требования:
Содержание, %:
азота, не менее............................ 20,5
карбамида, не менее .... 20,0
сульфата аммония (в пересчете
на SO4
), не более .... 8,5
хлористого аммония (в пересчете
на хлор-ион), не более . . . 2,0
дихлорэтана, не более . . . 0,1
цинка, не более . . . . . 3,0
- Углеаммиакаты жидкие (ТУ 6-03-374-75)— аммиачно-водный раствор карбоната аммония и CO(NH2
)2
. Технические требования:
Содержание, %:
NH3............................................................................
20—25
CO(NH2
)2.............................................................
19-28
СО2......................................................................
7—12
N, не менее..... 29
Температура кристаллизации, °С . .10
Аммиакаты изготовляют по определенной схеме. Предварительно из газообразного аммиака получают 10—15%-ную аммиачную воду. Затем в реактор вводят горячий 75—82%-ный раствор аммиачной селитры. Смешивание этих веществ сопровождается выделением теплоты, поэтому смесь охлаждают.
Фосфорные удобрения
Описание. Фосфорные удобрения — это кальциевые и аммонийные соли фосфорной кислоты. Они составляют половину всех производимых минеральных удобрений. Фосфорнокислые соли прочно удерживаются в почве и почти не вымываются водой.
В основу классификации положена их растворимость в воде и органических кислотах, они делятся на:
1) водорастворимые удобрения, в которых большая часть фосфорных соединений растворима в воде и, следовательно, наиболее легко усваивается растениями (суперфосфат, двойной суперфосфат, а также фосфорсодержащие сложные удобрения — аммофос, нитроаммофоска, нитрофоска, карбоаммофоска);
2) цитратнорастворимые удобрения, в которых содержатся соединения фосфора, растворимые в аммиачном растворе лимоннокислого аммония (цитрата аммония). Фосфорная кислота из таких соединений обычно легко усваивается с растениями в результате работы корневой системы. К цитратнорастворимым удобрениям относится преципитат (дикальцийфосфат);
3) лимоннорастворимые удобрения, нерастворимые в воде и аммиачном растворе цитрата аммония, но растворимые в 2%-ном растворе лимонной кислоты. К ним относятся обесфторенные фосфаты, томасшлак, частично фосфоритная мука. Несмотря на малую растворимость, эти вещества являются для кислых почв хорошими удобрениями. Фосфорные соединения этих удобрений медленно переходят в почвенный раствор, и действие их длится ряд лет.
Водорастворимые производятся в виде порошков и гранул. Труднорастворимые — в виде высокодисперсных порошков. Лучше не применять в чернозёмах, поскольку они связываются находящимися там окислами железа и алюминия.
Характерные представители. Фосфоритная (фосфорная) мука (ГОСТ 5716-74), получаемая при тонком размоле фосфоритов — труднорастворимый порошок темно-серый или бурый разных оттенков. Самое дешевое из фосфорных удобрений, занимает второе место по производству и применению после суперфосфата. Фосфоритная мука готовится 3 сортов. Сильно пылит, d (90% частиц) =0,18 мм. Для устранения пылимости ее промышленным путем смешивают с хлоридом аммония в соотношении N:P2
O5
= 1:1. Одновременно этот прием повышает содержание растворимого фосфора в удобрении. Или обрабатывают фосфоритную муку при высокой температуре дисульфатом калия, получают сложное удобрение, содержащее около 16% Р2
О5
и до 17% К2
О. 1 сорт содержит 28-30% Р2
О5
. 2 сорт — 22-24% Р2
О5
. 19-21% Р2
О5
—это 3 сорт. Самой лучшей считается фосфоритная мука из желваковых фосфоритов, хуже – из мелкозернистых фосфоритов. Усвоению благоприятствует тонкость помола, при влажности выше 3% теряет сыпучесть. Действует на растения медленно, в течение двух-трех лет.Фосфоритная мука тонкого помола при оседании на влажную кожу вызывает раздражение. В помещении для хранения устраивают активную вентиляцию.
Простой суперфосфат Са (Н2
РО4
)2
∙ 2Н2
О { и до 50% балластaСаSO4
∙ 2Н2
О, силикагеля SiO2
∙ nН2
О, неразложившиеся остатки} (ТУ 6-08-277-83)—cерый мелкозернистый порошок, получаемый обработкой апатитов и фосфоритов серной кислотой. Цель обработки — получить растворимую в воде соль, хорошо усвояемую растениями в любой почве:
Са3
(РО4
)2
+ 2H2
SO4
= Са(Н2
РО4
)2
+ 2CaSO
После тщательного перемешивания влажная масса некоторое время «вызревает» (заканчивается разложение остатков апатитового или фосфоритового концентрата). При этом по вышеприведенной схеме образуется смесь сульфата и первичного фосфата кальция CaSO4
и Са(Н2
РО4
)2
, которая после измельчения и применяется в качестве удобрения. Кислотность почвы суперфосфат не повышает, так как содержит сернокислый кальций (гипс). Его производят в больших количествах и в гранулированном виде (в виде светло-серых гранул). Горячий суперфосфат необходимо охлаждать до температуры 40 °С и ниже. В присутствии фосфорной кислоты суперфосфат гигроскопичен (гигроскопическая точка 60—65%). Нейтрализация свободной кислотности известняком или аммиаком уменьшает его гигроскопичность (гигроскопическая точка увеличивается до 75— 87%). В одинаковых условиях гигроскопичность суперфосфата из фосфоритов Каратау, содержащего гигроскопичный мономагнийфосфат, выше, чем апатитового суперфосфата.
Обогащенный (гранулированный) суперфосфат (ГОСТ 5956-78).Выпускают в виде порошка и гранул, содержит около 24 % P2
O5
. Механическая прочность гранул для стандартного гранулированного суперфосфата из апатитового концентрата составляет не менее 1 МПа (10 кгс/см2
), а для гранулированного аммонизированного суперфосфата из фосфоритов Каратау — не менее 1,5 МПа (15 кгс/см2
). Гранулометрический состав этих видов суперфосфата характеризуется следующим содержанием фракций (в %): 1—4 мм — не менее 90%; 4—6 мм — не более 5%; менее 1 мм — не более 5%. Аммонизированный сушеный суперфосфат из фосфоритов Каратау должен полностью проходить через сита с отверстиями 6 мм. Для других видов суперфосфата указанные параметры не лимитируются.
Двойной суперфосфат (ГОСТ 16306-80)— концентрированное фосфорное удобрение состава Са(Н2
РО4
)2
∙ Н2
О. По сравнению с простым суперфосфатом не содержит балласта. Ниже приведены технические условия на двойной суперфосфат для обеих марок:
Гранулометрический состав, %:
гранулы 1—4 мм, не менее .... 80
гранулы свыше 6 мм.....Отсутствие
гранулы менее 1 мм, не более ... 5
Механическая прочность гранул:
на истирание, %, не менее .... 97
на раздавливание, МПа (кгс/см2
), не
менее.......................................... 1,5
Температура продукта перед затариванием, °С:
в бумажные мешки, не более ... 40
в полиэтиленовые мешки, не более . 55
Гигроскопическая точка двойного суперфосфата находится в пределах 62,5—69%; критическая гигроскопическая точка гранулированного двойного суперфосфата при содержании Р2
О5
своб. 3,4% составляет 74%; гигроскопичность аммонизированного двойного суперфосфата еще ниже — гигроскопическая точка достигает 85%. «Предельная» влагоемкость двойного суперфосфата находится в пределах 1,5—3,4% при относительной влажности воздуха 50%.
Получение двойного суперфосфата состоит из двух стадий. Сначала получают фосфорную кислоту из фосфорита:
Са3
(РО4
)2
+ 3H2
SO4
= 3CaSO4
↓+ 2H3
PO
Или через апатит:
Са5
(РО4
)3
(F, CI) + 5H2
SO4
= 5CaSO4
↓ + H (F, CI) +3H3
PO
Затем,отделив фильтрованием осадок CaSO4
, водным растворомполученной фосфорной кислоты обрабатывают апатит или фосфорит. Количество исходных продуктов берется в соответствии с уравнением:
Са3
(РО4
)2
+ 4Н3
РО4
= 3Ca(H2
PO4
)
Качество суперфосфатов оценивается по содержанию усвояемой Р2
О5
в форме водорастворимых соединений [Н3
РО4
, Са(Н2
РО4
)2
, Mg(H2
PO4
)2
] и веществ, растворимых в цитратном растворе (СаНРО4
, MgHPO4
, частично фосфаты железа и алюминия). Суперфосфаты несгораемы. Хранят их в битумированных бумажных и полиэтиленовых мешках или россыпью. При разгрузке пылят. Содержат свободную фосфорную кислоту и выделяют фтористые газы. Пары фосфорной кислоты раздражают слизистую оболочку носа, вызывают носовые кровотечения, крошение зубов, воспалительные заболевания кожи. Фтористые газы раздражают верхние дыхательные пути, кожу, вызывая гнойничковые заболевания.
Известны следующие марки:
Суперфосфат двойной гранулированный. Содержит в марке А не менее 49% Р2
О5
, свободной кислоты не более 2,5%, влаги не более 4%. В марке Б — не менее 43% Р2
О5
, свободной кислоты не более 5%, влаги не более 5%.
Суперфосфат двойной гранулированный с В и Мо. Содержит 42-43% Р2
О5
, 0,4% В и 0,2% молибдена Мо.
Суперфосфат гранулированный из апатитового концентрата без добавления и с добавлением микроэлементов. Содержит около 20% Р2
О5
, и не более 2,3% свободной кислоты. Микроэлементы в количестве: В-0,2%, Мп—1,5%, Мо –0,13%.
Суперфосфат простой порошковидный из апатитового концентрата. Содержит не менее 19% Р2
О5
, и не более 5% свободной кислоты. Не слеживается.
Суперфосфат простой порошковидный, сушеный, нейтрализованный. Содержит 20% Р2
О5
и не более 2,5% кислоты.
Суперфосфат аммонизированный, гранулированный. Содержит 15% Р2
О5
(сушеный еще и не менее 2-3% N). На основе фосфоритового концентрата.
Томасшлак (ТУ 14-11-47—81). Порошок темного цвета, содержит 14-20 % лимоннорастворимого P2
O5
в виде Са4
Р2
О9
— тетракальцийфосфата или Са4
Р2
О9
∙ CaSiO3
— силикокарнатита, в воде нерастворим. Является побочным продуктом переработки богатых фосфором чугунов на сталь и железо. Получается по схеме:
Р2
О5
+ 4СаО = Са3
(РО4
)2
∙ СаО
В его состав входят также соединения железа, алюминия, магния, марганца, молибдена, ванадия и других элементов. Удобрение это щелочное.
Термофосфаты. Содержат 18-34% Р2
О5
. Получают эти удобрения сплавлением или спеканием бракованных суперфосфата, фосфоритов или апатитов с щелочными солями калия или натрия, силикатами, известью, кварцем, металлургическими шлаками и т.д. При этом труднодоступный фосфор переходит в лимоннорастворимую форму. По составу и свойствам термофосфаты близки к томасшлаку, но обладают лучшей доступностью фосфора растениям, чем томасшлак.
Обесфторенные фосфаты. Содержат от 28 до 32% лимоннорастворимой Р2О5. Обесфторенный фосфат из апатитового концентрата по ГОСТ 10516—75 должен содержать не менее 41% Р2
О5
, растворимой в 0,4%-ной НС1, не менее 48%СаО, не более 0,18% F, 0,0002% As, 0,002% Pb, при отсутствии частиц металлического железа размером более 0,5 мм. Через сито № 063 должно проходить не менее 95% частиц продукта. Получаются методом спекания из фосфоритов, растворимы в 2%-ной лимонной кислоте на 40-60%. Растворимость существенно увеличивается при добавлении Н3
РО4
и соды. Процесс обесфторивания (в отсутствие SiO2
) может быть представлен следующими уравнениями:
при смешении фосфата с кислотой
Ca10
(PO4
)6
F2
+ 14Н3
РО4
+ 10Н2
О = 10Са(Н2
РО4
)2
·Н2
О + 2HF
СаСО3
+ 2Н3
РО4
= Са(Н2
РО4
)2
∙ Н2
О + СО2
при нагревании фосфата до 500—600 °С (суммарно)
Са(Н2
РО4
)2
• Н2
О = Са(РО3
)2
+ ЗН2
О
при нагревании до 600—900°С
Ca10
(PO4
)6
F2
+ 4Са(РО3
)2
+ Н2
О = 7Са2
Р2
О7
+ 2HF
при нагревании выше 900—1000 °С
Ca10
(PO4
)6
F2
+ Са2
Р2
О7
+ Н2
О = 4Са3
(РО4
)2
+ 2HF
При основном внесении на дерново-подзолистых почвах и черноземах это удобрение равноценно суперфосфату.
Преципитат (дикальцийфосфат) (ТУ 6-17-765-76) — концентрированное фосфорное удобрение состава СаНРО4
∙ 2Н2
О
Сероватый порошок, мало растворим в воде, но хорошо растворим в органических кислотах. Получается при нейтрализации фосфорной кислоты раствором гидроксида кальция:
Н3
РО4
+ Са(ОН)2
= СаНРО4
• 2Н2
О
Преципитат должен содержать 47 ± 1% Р2
О5
, растворимой в 0,4%-ной соляной кислоте, не менее 37% СаО и не более 0,2% F, 0,008% As и 0,008% Рь; требуется отсутствие частиц величиной более 5 мм и допускается содержание частиц величиной 0,5—2 мм не более 10%.
Известны следующие марки:
Преципитат удобрительный в виде порошка, содержит не менее 38% Р2
О5
.
Преципитат удобрительный в виде порошка, на основе экстракционной H3
PO4
, содержит не менее 44% Р2
О5
.
Костная мука, получаемая при переработке обезжиренных костей домашних животных, содержит Са3
(РО4
)2
или Са5
(РО4
)2
ОН.Она содержит 30 % Р2
О5
и применяется для приготовления удобрительных смесей. Очень похожа по применению на фосфоритную муку.Часто используется и как кормовая добавка, подобно мочевине.
Вивианит (болотная руда)Fe3
(PO4
)2
. Образуется в болотных почвах. Вивианит легко разрыхляется при высыхании и хорошо рассеивается при внесении.
Магний-аммоний-фосфат (МАФ) NH4
MgPO4
∙ 6H2
O
Концентрированное удобрение, содержащее три элемента питания:
10,9% N; 45,7% Р2
О5
; 25,9% MgО
Фосфор находится в лимоннорастворимой форме, поэтому хорошо доступен растениям, но вносить его надо в виде порошка. Азот в этом удобрении находится в нерастворимой в воде.
Калийные удобрения
Описание. Недостаток калия в почве заметно уменьшает урожай и устойчивость растений к неблагоприятным условиям, поэтому около 90% добываемых солей калия используют в качестве калийных удобрений. Большинство калийных солей легко растворяются в воде.Хлористый калий, калийная соль, сульфат калия —кристаллические продукты от белого до красного цвета. Хранят россыпью. При погрузке и разгрузке пылят, раздражают кожу, вызывают глубокие раны, язвы и гнойничковые заболевания,
Характерные представители. Важнейшими калийными удобрениями являются:
Сырые соли, представляющие собой размолотые природные соли-минералы:
Сильвинит NaCI• КС1 имеет розовые кристаллы, хорошо растворимые в воде. Это удобрение содержит до 18% К2
О и 35-40% Na2
O. Сильвинит гигроскопичен, слеживается при хранении.
Каинит КС1 ∙ MgSO4
∙ ЗН2
О — белые, горькие на вкус, хорошо растворимые в воде. Удобрение содержит 10-12% К2
О. В его составе также имеются Na и Са. Применяют в основном под сахарную свеклу, смешивая с хлористым калием.
Калийная соль. Смесь хлористого калия с молотым сильвинитом, зернистый порошок. По ГОСТу это удобрение должно содержать не менее 40% К2
О. Выпускают и 30% калийную соль — смесь сильвинита с каинитом. Влаги не более 2%.
Имеют высокий процент балласта, удорожающего расходы на транспортировку и внесение.
Концентрированные удобрения, получаемые в результате переработки природных калийных солей — это:
Хлорид калия (сильвин) KCl(ГОСТ 4568-74)— кристаллический мелкий порошок, белый с сероватым оттенком или розоватый. Технические условия на гранулометрический состав (в %) хлористого калия:
| Размер частиц |
Прессованный |
Крупнозернистый |
| 1 сорт |
2 сорт |
—4+1 мм, не мен
—1 мм, не более
|
60
30
|
50
50
|
55
45
|
Хлорид калия кристаллизуется в кубической форме, часто в виде кристаллов с притуплёнными углами. В чистом виде кристаллы бесцветные и водяно-прозрачные, из-за примесей — красновато-желтые, ярко-красные или розовые. Твердость по шкале Мооса равна 2. Способом флотации производится из сильвинитовых руд. Сущность способа состоит в разделении КС1 и NaCl с предварительным выделением глинистого шлама. Способ основан на различной способности их поверхности смачиваться водой. Предварительно измельченную руду взмучивают в воде или водном растворе и через пульпу пропускают воздух, распределяющийся в виде мелких пузырьков. Гидрофобные минералы прилипают к пузырькам воздуха и выносятся на поверхность пульпы в виде пены, которая затем удаляется и фильтруется для выделения твердых частиц. Гидрофильные минералы остаются на дне флотационной машины и выводятся через сливное отверстие. Непрерывный процесс флотации осуществляется при участии следующих видов флотационных реагентов специфического действия: собиратели (коллекторы)—избирательно адсорбируются на поверхности минералов, делая ее несмачивающейся; активаторы—улучшают адсорбцию собирателей; пенообразователи—способствуют образованию устойчивой обильной пены; депрессоры— увеличивают смачиваемость минералов, затрудняя их всплывание; регуляторы — изменяют состав и рН жидкой фазы пульпы. Флотационное обогащение сильвинитовых руд включает следующие основные операции:
1) дробление и измельчение руды;
2) предварительное удаление глинистого шлама;
3) основная флотация с выделением КС1 в пенный продукт и последующей перечисткой полученного концентрата;
4) перечистка глинистого шлама с целью снижения потерь КС1;
5) обезвоживание хвостов, шлама и концентрата с возвратом в цикл оборотного раствора.
Известны следующие марки:
KClиз нефелинового сырья —мелкокристаллический не слеживающийся порошок. Содержит не менее 60% K2
O и влаги не более 1% в 1 сорте, не менее 57,5% K2
Oи влаги не более 1% во 2 сорте.
KCl крупнозернистый – содержит 55% K2
O, влаги не более 1%.
Хлоркалий — электролит отработанный, кристаллический, содержит в марке А 45,5% K2
O, не более 4% влаги. В марке Б — 31,5% K2
O, не более 4% влаги. Является отходом производства магния из карналлита и состоит из KCl, MgС12
, NaCI.
Сульфат калия K2
SO4
(арканит)(ТУ 48-5-30-78). Концентрированное калийное удобрение. Представляет собой кристаллический сыпучий белый порошок с желтым оттенком, хорошо растворяется в воде. Рекомендуется под культуры, не переносящие избытка хлора. Из всех калийных является самым дорогим.
Известны следующие марки:
K2
SO4
технический кристаллический — содержит не менее 48% K2
O, влаги не более 2%.
K2
SO4
из нефелинового сырья, мелкокристаллический, содержит не менее 50% K2
O.
K2
SO4
удобрительный кристаллический, содержит не менее 50% K2
O и влаги не более 0,3% в 1 сорте и не менее 46% K2
O, влаги не более 0,3% во 2 сорте. Не более 2-3% С1.
K2
SO4
порошок, для сельхоза, содержит не более 3% Clи не менее 46% K2
O, влаги не более 2%.
Сульфат калия-магния (калимагнезия, шенит) К2
SO4
∙ MgSO4
(ТУ 6-13-11-79). Выпускается в виде гранул. Порошковидный продукт, содержит в I сорте окиси калия 30% и окиси магния 10%, во II — соответственно 28 и 8%, также не более 28% С1. Влаги не более 5%.
Калийно-магниевый концентрат (калимаг) (ТУ 46-12-44—78) К2
SO4
∙ 2MgSO4
. Серый кристаллический пылящий порошок. Химический состав этого удобрения примерно такой: K2
SO4
— 39%, MgSO4
— 55%, NaCI — 1%, остальное — нерастворимый остаток.
Сложный процесс получения бесхлорных калийных удобрений из полиминеральных каинито-лангбеинитовых руд, содержащих в основномминералы лангбейнит K2
SO4
-2MgSO4
и каинит KCl∙MgSO4
∙3H2
O, основан на разделении компонентов растворов с получением сульфата калия или калимагнезии. Процесс разделения разработан на основе анализа совместной растворимости в воде соответствующих солей. Одновременно выпускаются побочные продукты: сульфат натрия Na2
SO4
, поваренная соль NaС1 и бишофит MgCl2
∙6H2
O. В процессе образуются галитовые и глинистые отвалы.
Соотношение между выходом сульфата калия и калимагнезии (шенита) определяется составом исходной руды и заданным объемом производства сульфата натрия и бишофита. При максимально возможном получении сульфата натрия и бишофита калимагнезия не производится и в качестве калийного удобрения выпускается только сульфат калия. Доля калимагнезии в выпуске готовой продукции растет при уменьшении выхода сульфата натрия и бишофита.
Конверсия лангбейнйта протекает по уравнению
2(K2
SO4
∙ 2MgSO4
) + 2KC1 + 18Н2
О = 3(K2
SO4
·MgSO4
·6H2
O) + MgCI2
При выщелачивании руды, содержащей каинит, также образуется шенит и хлорид магния:
2(KCl∙MgSO4
∙3H2
O) = K2
SO4
·MgSO4
·6H2
O + MgCI2
Кристаллизация K2
SO4
возможна при инконгруэнтном растворении в воде шенита, при этом MgSO4
переходит в раствор. Протекает также следующий процесс:
KCl ∙ MgSO4
· 3H2
O + КС1 = K2
SO4
+ MgCl2
+ ЗН2
О
Накапливающийся в системе хлорид магния выводится из цикла с маточными щелочами.
Известны следующие марки:
Калимаг — гранулированный и не гранулированный. Содержит в I сорте калия 19 % и магния 9 %, во II — соответственно 17,2 и 8 %. влаги не более 7%. Также не более 20% С1—
в сортах.
Калимаг 40% -ный гранулированный. Содержит не менее 30% K2
O, 10—MgO, не более 5% С1—
, влаги не более 7%.
Микроудобрения (витамины полей)
Традиционно в земледелии нашей страны применяются борные, марганцевые, молибденовые, кобальтовые, медные и цинковые витамины полей. Эти вещества содержат микроэлементы в концентрированном виде, все они хорошо растворимы в воде.
Каждую соль растворяют в отдельной емкости. Соли марганца, меди, цинка и борную кислоту можно растворить вместе и хранить в одной емкости. Соли железа растворяются в отдельной бутылке темного стекла. Качественно их можно различить по цвету раствора (купоросы, молибденовые микроудобрения).
Борсодержащие удобрения. Борная кислота НзВОз (ТУ 48-01-14—80) получается разложением ашаритовых боратов серной кислотой:
2MgO∙B2
O3
· Н2
О+ 2H2
SO4
= 2H3
BO3
+ 2MgSO
После отделения нерастворимого остатка на фильтрах раствор НзВОз и MgSO4
охлаждают в кристаллизаторах. Выпадает кристаллическая борная кислота (14-16% Н3
ВО3
), отделяемая от маточного раствора на центрифугах. После сушки борная кислота является товарным продуктом. Температура кипения 29,27%-ного (насыщенного) раствора НзВОз 103,3 °С. Температура плавления Н3
ВО3
181 °С.
Гранулированный боросуперфосфат — содержит 18,5-19,3% Р2
О5
и 1% Н3
ВО3
. Светло-серые гранулы содержат бор в виде хорошо растворимой в воде борной кислоты. В производстве гранулированного боросуперфосфата борную кислоту смешивают с простым суперфосфатом в процессе его гранулирования. Соотношение В : P2
O5
в гранулированном боросуперфосфате 1 : 100. Самым перспективным видом борсодержащего компонента в удобрениях следует считать борную кислоту, как наиболее концентрированную и легкоусвояемую форму В2
О3
.
Двойной боросуперфосфат — содержит 40-42% Р2
О5
и 1 ,5% Н3
ВО3
.
Бормагниевое удобрение Н3
ВО3
+ MgO(ТУ 6-08-279—80)— содержит до 13% борной кислоты и 15-20% оксида магния. Удобрение представляет собой отход производства борной кислоты — тонкий порошок светло-серого цвета. Бормагниевое удобрение получается из маточных растворов после кристаллизации борной кислоты, содержащих 2—2,5% Н3
ВОз и 21—24% MgSO4
. Маточный раствор является отходом, в нем находится 15—30% борной кислоты от ее содержания в исходном сырье. Производство бормагниевого удобрения заключается в выпаривании и сушке маточного раствора в распылительной сушилке. Продукт содержит 13% Н3
ВО3
и 14% MgO в водорастворимой форме.
Борнодатолитовое удобрение — содержит 12— 13% борной кислоты. Порошок светло-серого цвета, полученный обработкой датолитовой породы серной кислотой.
Борацитовая мука — представляет собой мелко размолотую борную руду, содержит около 10% бора.
В качестве медного удобрения на почвах, богатых органическим веществом, а также тяжелых иловатых разновидностях медь переходит в слабоподвижные формы, и растения проявляют признаки медного голодания. Способы применения медных удобрений зависят от конкретной обстановки, потребностей культуры, вида удобрения.
Купорос медный CuSO4
∙5H2
O (ГОСТ 19347-74)— кристаллическое вещество ярко-синего цвета, слегка выветривающийся. Содержание медного купороса в препарате I сорта 98,5%, а в препарате II сорта — 94%. Содержание меди в соли — 25,4%. Медный купорос производится преимущественно из медного лома и отходов медеобрабатывающей промышленности растворением в серной кислоте башенным способом. Основные стадии производства: очистка меди, гранулирование, растворение в серной кислоте, кристаллизация медного купороса. Среднетоксичен. Не горюч. Хранят в бочках, фанерных ящиках, барабанах емкостью 50 кг, в битумированных мешках вместимостью 25—30 кг. Гарантийный срок хранения — 5 лет. На основе медного купороса будет выпускаться меднокалийное удобрение, получаемое смешением хлористого калия с медным купоросом и гранулированием смеси прессованием . Меднокалийное удобрение содержит 56,8% К2
О и около 1% меди.
Пиритные огарки (ТУ 6-08-239—82) — отход производства серной кислоты. Содержание меди — 0,3-0,7%. Медь в пиритных огарках содержится преимущественно (примерно на 75%) в водонерастворимой форме. Установлено, что растениям доступна водорастворимая — сульфатная и частично сульфидная медь пиритных огарков. Окись и закись меди пиритных огарков растения не усваивают. В состав пиритных огарков входят и некоторые другие микроэлементы: средний состав пиритных огарков уральских медноколчеданных руд: 0,36—0,44% Си, 45—47% Fe, 0,38—0,54% Zn и 115—359 г/т Со. Однако наряду с этими элементами они содержат токсичные для растений мышьяк, свинец и некоторые другие, поэтому при их использовании необходим контроль за уровнем накопления токсикантов.
Шлаки цинкоэлектролитных и медеплавильных заводов — содержат медь в количестве 0,2-0,5%.
Низкопроцентные окисленные медные руды — содержание меди 0,9%.
Молибденовые удобрения. Молибденовокислый аммоний (NH4
)6
Mo7
O24
(ТУ 48-29-1—79)— мелкокристаллическая соль белого цвета, хорошо растворима в воде. Содержание молибдена — 52%.
Молибденовокислый аммоний-натрий (молибдат аммония-натрия)(NH4
)3
Na3
Mo7
O24
(ТУ 48-29-1—79) — соль желтоватого цвета, растворима в воде. Содержание молибдена — 36%.
Производятся из концентрата молибденовых руд, содержащих молибден в виде молибденита (MoS2
) и других минералов.
Молибденизированный гранулированный суперфосфат — содержит 18-20% Р2
О5
и 0,1-0,2% молибдена.
Молибденизированный двойной гранулированный суперфосфат— содержит 43-45% Р2
О5
и 0,2% молибдена. Разработана технология введения бора и молибдена (молибдат аммония) (примерно по 0,2% каждого микроэлемента) в процессе гранулирования двойного суперфосфата. Для уменьшения потерь бора в виде летучих соединений со фтором, попадающих после очистки газовых выхлопов в сточные воды, рекомендовано подавать бор в форме сухой борной кислоты, а молибден с раствором молибдата аммония на увлажнение шихты. Фосфорные удобрения способствуют увеличению доступности почвенного молибдена, так как анион фосфорной кислоты вытесняет анион молибденовой кислоты из поглощенного состояния. При совместном внесении фосфора и молибдена растения эффективнее используют оба элемента.
Местные удобрения (МРТУ 6-08-77—79). Это прежде всего отходы молибденовых обогатительных фабрик (0,002 — 0,05% молибдена), отходы заводов ферросплавов (0,2-0,6%), отходы, получаемые на электроламповых заводах (5-6% молибдена). Выпускаются также порошки, содержащие молибден (9,6-— 11%), которые получаются смешением концентрированного молибдата аммония с техническим тальком.
Марганцевые удобрения. Марганизированный суперфосфат. Гранулированное удобрение светло-серого цвета содержит 18,7-19,2% Р2
О5
и 1—2% марганца. Его изготовляют, добавляя к простому суперфосфату 10—15% марганцевого концентрата, содержащего 35—40% Мп.
Марганизированная нитрофоска. Содержит 11 % азота, 10% Р2
О5
, 11% К2
О и 0,9% марганца.
Марганцевые шламы (МРТУ 6-08-77—78). Отходы мокрого обогащения марганцевых руд и бедные марганцевые руды. Содержат от 1,0 до 1.7% нерастворимого марганца в виде пиролюзита, а также кальций, магний, небольшое количество фосфора.
Сульфат марганца для сельского хозяйства (ТУ 6-09-1781—80) выпускается в форме продукта, содержащего 70% MnSO4
, и в смеси с тальком, содержащей 18—22% MnSO4
. Сульфат марганца получается растворением в серной кислоте карбонатных марганцевых руд или восстановленного до закиси марганца МпО пиролюзита.
Цинковые удобрения. Цинковым удобрением является водорастворимый сернокислый цинк ZnSO4
·7H2
O (ГОСТ 8723—78). Выпускается это удобрение в виде концентрированного продукта (21,8—22,5% Zn) и в смеси с тальком, содержащей 21,8% Zn.
Из отходов производства цинковых белил изготавливается цинковое полимерное удобрение ПМУ-7 (МРТУ 6-08-152—79), тонкий порошок темно-серого цвета следующего примерного состава: 25,0% Zn (19,6% оксида цинка, 17,4% — силиката цинка), 0,4% Мп, 0,4% СиО, 1,0% MgO, 21,0% FeO. Выпускается аммофос состава (N : Р2
О5
: К2
О : Zn) 10:46:0:1,4 (цинк будет вводиться в виде сульфата).
Шлаки медеплавильных заводов. Содержат 2-7% цинка. Используют как предпосевное удобрение в дозе 0,5 —1,5 ц/га.
Кобальтовые удобрения. В качестве кобальтовых удобрений используют хорошо растворимые в воде соли кобальта — сернокислый кобальт и хлористый кобальт. Выпускается двойной суперфосфат и нитроаммофоска с добавлением солей кобальта. Проектируемый состав нитроаммофоски (N : Р: К : Со) = 17 : 17 : 17 : 0,1.
Полное минеральное удобрение (ТУ РСТ Латв ССР 366-79) с микроэлементами, порошковидные, белые. Содержит 7,5-8% N, 6,5-8,5% Р2
О5
и 9,5-10% К2
О. Марка А содержит также микроэлементы: цинк, марганец, молибден, кобальт, медь, бор; марка Б— цинк, марганец, молибден, кобальт, бор, магний, железо, медь.
N, не менее .... 7,5—8Со…………. 0.01-0.05
P2
Os, не менее . . . 7,5—8 Zn…………. 0.17-0.12
К2
О, не менее . . . 12—14 Cu……….. .. 0.17-0.04
MgO...... 1,0 Fe……….. .. 0.24
Mo...... 0,01—0,005 Mn………… 0.02-0.18
Удобрения из сточных вод иодо-бромных производств. Разработан процесс извлечения микроудобрений следующего состава: 0,52% Мп, 0,2% В, 0,02% Си, 0,012% I.
Новое направление в использовании микроудобрений, наметившееся в последние годы—применение комплексонатов металлов. Комплексоны—большая группа органических лигандов, содержащих основный центр (атом N) и кислотный (-СООН, фосфоновые группы), котoрых может быть несколько. Эти соединения с важнейшими для растений микроэлементами обладают следующими ценными особенностями: нетоксичны; хорошо растворимы в воде; устойчивы (не адсорбируются и не разрушаются почвой); и легко усваиваются в широких диапазонах рН. Ими обрабатывают семена, опрыскивают посевы. Способны увеличить урожайность на 20-40%. В России выпускают следующие вещества, которые включают в себя
Со2+
, Zn2+
, Mg2+
, Мп2+
, Са2+
:
ДТПА—диэтилентриамин-N, N, N′, N′′,N′′′–пентауксусная кислота
ЭДДЯК—этилендиамин-N,N′—диянтарная кислота
НТФ—нитрилтриметилфосфоновая кислота
ОЭДФ—оксиэтилендифосфоновая кислота
Комплексные удобрения
В последние годы производство комплексных удобрений развивается всё более широко. Они содержат в себе несколько питательных элементов, но иногда необходимо бывает для внесения требуемой дозы азота, фосфора, калия добавлять недостающее количество того или иного компонента. Получают в едином технологическом процессе в основном 2 способами: на основе азотнокислого разложения фосфатного сырья и используя фосфорные кислоты. Комплексные удобрения имеют следующие преимущества перед простыми (односторонними) туками: при промышленном производстве сложных и сложно-смешанных удобрений достигается точное соотношение питательных веществ, продукты имеют хорошие физические свойства. Вместе с тем сложные и сложно-смешанные удобрения имеют ограниченный ассортимент марок с различным соотношением питательных веществ.
По международному соглашению все удобрения (а комплексные особенно!) должны иметь на упаковке три цифры, разделенные дефисом. На первом месте указывают процентное содержание азота, на втором — фосфора, на третьем — калия. Это очень удобный вид маркировки, простой и легко запоминающийся, но не все фирмы-производители удобрений придерживаются этого международного соглашения.
Сложные удобрения на основе фосфорных кислот
Описание. Сложные удобрения в составе одной соли содержат два и более питательных элемента. Такие удобрения совершенно лишены балластных веществ (ненужных растениям) и обладают поэтому высокой концентрацией элементов питания, поэтому необходимо следить за равномерностью рассева их по поверхности почвы, оберегать растения от прямого попадания на них гранул, а если такое случилось, сразу же стряхивать гранулы с растений. Выпуск промышленностью большого числа марок сложных удобрений требует обязательной их упаковки, что связано с дополнительными расходами, т. е. с удорожанием удобрений. Фосфорно-калийные удобрения — гранулированный несгораемый материал. При погрузке и разгрузке пылят.
Характерные представители. К очень ценным сложным удобрениям относится аммофос NH4
H2
PO4
(ГОСТ 18918-79). Аммофос — белый, из-за примесей сероватый кристаллический порошок, растворимый в воде. Часть его используется в качестве полупродукта для получения сложных и смешанных тройных удобрений. Механическая прочность гранул аммофоса на раздавливание должна составлять не менее 2 МПа (20 кгс/см2
), содержащие гранул размером менее 1 мм не должно превышать 5%, гранулы размером 1—3,2 мм должны составлять не менее 90 %, гранулы 3,2—б мм — не более 5%. Тонна аммофоса заменяет три тонны простого суперфосфата и одну тонну (NH4
)2
SO4
. Получается при частичной нейтрализации фосфорной кислоты аммиакомкоксового газа:
NH3
+ Н3
РО4
= NH4
H2
PO4
Каждый центнер аммофоса заменяет 2,5 ц суперфосфата и 0,35 ц аммиачной селитры. Недостатком аммофоса является неодинаковое количество азота и фосфора в удобрении. С ним сходен диаммофос, поэтому они очень часто поступают в продажу в смеси.
Хранят в бумажных битумированных и полиэтиленовых мешках. При погрузке и выгрузке пылит. Раздражает кожу, слизистую оболочку глаз и дыхательные пути.
Известны следующие марки:
Аммофос гранулированный, содержит 50-52% Р2
О5
, 12% N (марка А); 42-44% Р2
О5
, 10-11% N (марка Б).
Аммофос порошковый (ТУ 6-08-293—74) из фосфоритного и апатитового концентратов, Содержит 50% Р2
О5
и не менее 11% N (марка А); 46% Р2
О5
, 11% N (марка Б).
Аммофос удобрительный гранулированный (ТУ 95-255—74). Содержит не менее 39% Р2
О5
и 12% N.
Диаммофос (NH4
)2
HPO4
(ТУ 6-08-191—81) получают также нейтрализацией фосфорной кислоты аммиаком (70%):
2NH3
+ H3
PO4
= (NH4
)2
HPO4
Диаммофос гранулированный удобрительный содержит не менее 18 % N и 46-47 % Р2
О5
. Выпускается с содержанием 90% гранул 1-3,2 мм, до 5% гранул 3,2-5 мм, и до 5% частиц менее 1 мм. Термически менее устойчив аммофоса: при температуре около 70 С начинает терять аммиак.
Сложные удобрения на основе ортофосфатов аммония
Фосфаты аммония ограниченно применимы в качестве непосредственного удобрения вследствие низкого содержания азота по отношению к Р2
О5
и отсутствия в своем составе калия.
Уравновешенные сложные гранулированные азотно-фосфорные и азотно-фосфорно-калийные удобрения различных марок получают на основе ортофосфатов и полифосфатов аммония добавлением азотного компонента в форме полупродуктов — нитрата аммония [нитро-] или карбамида и калийного компонента — кристаллического хлорида или сульфата калия [карбо-]. Название двойных удобрений оканчивается на [-ос], название полных — [-оска].
Нитроаммофоска — сложное тройное (полное) удобрение, получается нейтрализацией аммиаком смеси экстракционной фосфорной и азотной кислот с добавлением хлорида калия на стадии гранулирования. Согласно ГОСТ 19691—74, нитроаммофоска гранулированная содержит по 17-18% N, Р2
О5
, К2
О (марка А); 13-14% Nи по 19-20% Р2
О5
и К2
О (марка Б). Для обеих марок предусмотрено отсутствие гранул размером более 6 мм, содержание гранул от 4 до 6 мм — не более 3%, от 1 до 4 мм—не менее 94% и менее 1 мм не более 3%. Механическая прочность гранул обеих марок на раздавливание не менее 2 МПа (20 кгс/см2
). Температура нитроаммофоски при затаривании должна быть не более 50 С
С. Получается как нейтрализацией фосфорной и азотной кислот аммиаком, так и азотнокислотным разложением апатита (40-60 С):
Са3
(РО4
)2
CaF2
+ 8HNO3
= 4Ca (NO3
)2
+ 2H3
PO4
+ 2HF + 290 кДж/моль
Нитроаммофос (ТУ 6-08-338-75) — гранулированный содержит не менее 23% N и 23% Р2
О5
(марка А). Не менее 16% N и 24% Р2
О5
(марка Б). Не менее 25% N и 20% Р2
О5
(марка В). Концентрированное азотно-фосфорное удобрение, производится нейтрализацией аммиаком смеси фосфорной и азотной кислот без нведения калийного компонента. Выпускается продукт трех марок: 1:1:0; 1 :1,5:0; I :0,8:0. Размер гранул для всех марок: 1—4 мм —не менее 90%, 4—5 мм —не более 5%, меньше 1 мм не более 5%. Продукт не должен слеживаться при хранении в течение 1 мес. Температура нитроаммофоса при затаривании в бумажные мешки — не выше 45°С, в полиэтиленовые — не выше 50°С.
Нитродиаммофос. Содержит азота 23—24% и фосфора 30—31%. Употребим под все культуры, но главная его ценность в водорастворимости, что позволяет вести им подкормку через оросительные установки. Получают их по следующей схеме:
2NH3
+ НNO3
+ H3
PO4
= NH4
NO3
+ NH4
H2
PO4
Аммофосфат гранулированный, содержит 38-39 % Р2
О5
(в том числе водорастворимой формы не менее 26 % ) и 4-5 % N.
Диаммофоска гранулированная. Содержит 10-11 % N, по 26-27 % Р2
О5
и К2
О (марка 10-26-26); 10-11 % N, по 30-31 % Р2
О5
и К2
О (10-30-30).
Карбоаммофос — азотно-фосфорное сложное гранулированное удобрение, получают из растворов фосфата аммония и карбамида.
Карбоаммофоска — тройное удобрение, содержащее также калийный компонент, вносимый в виде хлорида калия. В технических требованиях на карбоаммофос (ТУ 6-08-285—77) и карбоаммофоску (ТУ 6-08-371—77) предусмотрены одинаковые показатели прочности гранул на раздавливание не менее 2,0 МПа (20 кге/см2
) и размера гранул— не менее 90% гранул размером 1—4 мм, не более 5% гранул меньше 1 мм при отсутствии гранул более 6 мм.
Сложные удобрения на основе азотнокислой переработки природных фосфатов
В отличие от удобрений, получаемых на основе фосфорной кислоты, они называются :
«Нитрофос» (ТУ 6-08-338-75) — азотно-фосфорное, порошок белого цвета, содержание азота 14—20%, фосфора 14-20% и «Нитрофоска» (ОСТ 95-11-81, ГОСТ 11365-84)— азотно-фосфорно-калийное, состоящие из преципитата, аммофоса и аммиачной селитры. Это серо-розовые гранулы размером 1—4 мм, содержат до 30—50% аммиачной селитры. При нагревании разлагаются с выделением аммиака и становятся пожароопасными. Раздражают кожу, слизистую оболочку глаз и дыхательные пути. Получаются в едином технологическом процессе сплавлением NH4
NO3
с фосфатом аммония и хлоридом калия, примешивая различные добавки; первая из стадий получения реализуется параллельно с получением нитрофосов:
2Са(NO3
)2
+ H3
PO4
+ 4NH3
+ H2
SO4
+ 2H2
O = 4 NH4
NO3
+ CaSO4
+ CaHPO4
∙ 2H2
O
Однако ГОСТ 19691-74 указавает на то, что данные стандарты распространяются на нитроаммофоску, получаемую как нейтрализацией H3
PO4
и HNO3
аммиаком, так и азотнокислым разложением апатита. Ниже — требования к гранулометрическому составу для нитрофоса и нитрофоски (до косой черты — нитрофос, после нее — нитрофоски):
Размер гранул, мм Нитрофос Нитрофоска марки А Нитрофоска марки Б и В
1—4/2—4, не менее 90 93 80
4—5/4—6, не более 5 2 10
менее 1/менее 2, не более 5 5 10
Известны следующие марки:
Нитрофос гранулированный. Содержит по 22% N и Р2
О5
(уравновешенный продукт); 23% N и 17% Р2
О5
(марка А); 24% Nи 14% Р2
О5
(марка Б).
Нитрофоска гранулированная. Содержит не менее 11% N, 10— Р2
О5
, 14— К2
О.
Важнейшей из данной группы удобрений является смесь аммофоса с солями калия— азофоска или нитроаммофоска (ГОСТ 19691-80), получаемая азотно-сернокислотно-сульфатным способом. Гранулы белого цвета, хорошо растворимые в воде. Близка фазовым составом с нитроаммофоской и нитрофоской. Ценна тем, что заменяет несколько простых удобрений — отпадает сложная операция их смешивания.
Известны следующие марки:
Азофоска гранулированная (марка 1-1-1)—по 16 % N и Р2
О5
, в том числе в водорастворимой форме 12% и К2
О. Марка 1-1-0 содержит 23 % N и 22 % Р2
О5
(в том числе в водорастворимой форме 14%). Марка 2-1-0 содержит 26 % N и 13% Р2
О5
(в том числе в водорастворимой форме 10%).
Фоскамид. Он содержит по 14% азота и фосфора, 17% калия, и поэтому на упаковке даны рекомендации по его использованию и осенью, и весной, и летом в виде подкормок. Однако оно, помимо названных элементов, содержит еще бор, кобальт, цинк, марганец, молибден, медь. В отличие от других сложных удобрений продается в мелкой (по 0,5—1 кг) расфасовке (картонная коробка с полиэтиленовым вкладышем) .
Аммофоскамид по потребительским свойствам близок к нитроаммофоске, поскольку в нем соотношение азота, фосфора и калия по действующему веществу 1:1:1, но общая сумма их равна 55%, что вдвое выше, чем в нитроаммофоске. Это универсальная смесь удобрений.
Калийная (индийская) селитра КNO3
— наиболее ценное удобрение, так как является одновременно и азотным, и калийным. Это темно-серое мелкокристаллическое вещество. Содержит 14% Nи 46% К2
О. Рекомендуется для внесения только весной, т.к. в ней содержится легкорастворимый азот. Получают калийную селитру посредством следующей реакции при 105˚С:
КСI + NaNO3
↔ NaСI + КNO3
Полученные соли хорошо растворимы в воде, но NaСIрастворим менее, чем КNO3
, из-за чего равновесие можно сместить вправо.
Сложно-смешанные удобрения
Описание. В России выпускаются сложно-смешанные гранулированные удобрения, являющиеся продуктом аммонизации смеси простого суперфосфата, азотных солей в виде «плава», аммиаката или в кристаллическом состоянии и кристаллических калийных солей. Для любых видов и марок прочность гранул на раздавливание должна быть не менее 2 МПа (20 кгс/см2
). Гранулометрический состав: гранул размером 1 — 3,2 мм не менее 90%, 3,2—5 мм — не более 5%, меньше 1 мм — не более 5%.
При смешении и аммонизации основных исходных компонентов протекают следующие реакции:
H3
PO4
+ NH3
= NH4
H2
PO4
Са(Н2
РО4
)2
· Н2
О + NH3
= СаНРО4
+ NH4
H2
PO4
+ H2
O
NH4
H2
PO4
+ CaSO4
+ NH3
= CaHPO4
+ (NH4
)2
SO4
,
2CaHPO4
+ CaSO4
+ 2NH3
= Ca3
(PO4
)2
+ (NH4
)2
SO4
Водорастворимая соль Са(Н2
РО4
)2
, содержащаяся в суперфосфате, может превращаться.в менее усвояемые СаНРО4
и Саз(РО4
)2
. Для предотвращения ретроградации вводят серную кислоту, которая связывает кальций с образованием водорастворимого моно-аммонийфосфата:
Са(Н2
РО4
)2
+ H2
SO4
+ 2NH3
= CaSO4
+ 2NH4
H2
PO4
Для повышения концентрации питательных веществ и увеличения относительного содержания водорастворимой P2
O5
(до 85—90%) используют H3
PO4
.
Концентрация действующих (питательных) веществ в сложно-смешанных удобрениях определяется качеством исходного сырья и заданным соотношением в продукте N : Р2
О5
: К2
О.
Сложно-смешанные удобрения с соотношением N : Р2
О5
: К2
О = 1 : 1 : 1 из простого суперфосфата содержат около 33% суммы действующих веществ, из двойного суперфосфата — 42—44%. Применение фосфорной кислоты увеличивает суммарное содержание действующих веществ соответственно до 38 и 48%.
На основе аммофоса и диаммофоса, аммиачной селитры и хлорида калия получаются сложно-смешанные удобрения с различным соотношением N : Р2
О5
: К2
О и суммарным содержанием действующих веществ до 58%, при этом Р2
О5
находится в водорастворимой форме. В производстве сложно-смешанных удобрений применяются аммиакаты с содержанием 41-45% N общ. и до 12% Н2
О.
Характерные представители. Кристаллин (растворин). Быстро растворяющееся минеральное удобрение. Кроме основных элементов питания в его состав входит целый ряд микроэлементов (марганец, цинк, медь, кобальт, йод и др.). Его можно использовать как в открытом, так и в закрытом грунте. Содержат необходимый для растений набор микроэлементов, хорошо растворяются в воде, не содержат балластных и вредных примесей. Хлора в них имеется незначительное количество. Наиболее широко распространены три марки: Марка А — N:P:K:Mg = 10:5:20:6; Марка Б — 18:6:18; Марка В — 18:18:18. Однако следует помнить, что это удобрение вызывает подкисление почвы.
Смешанное полимерное удобрение гранулированное. Содержит по 16 17% N, Р2
О5
, К2
О (марка 16-16-16); 10-11% N и по 20-21 % Р2
О5
и К2
О (марка 10-20-20)
Удобрение азотно-фосфорно-калийное гранулированное. Содержит по 16-17 % N, Р2
О5
, К2
О (марка 16-16-16); 10-11 % Nи по 20-21 % Р2
О5
и К2
О (10-20-20).
Смешанные удобрения
Описание. Смешанные удобрения представляют собой механические смеси разных видов удобрений — простых, сложных или тех и другихбез добавления полупродуктов и реагентов. Их часто называют тукосмесями. Сухое тукосмешение позволяет готовить большой ассортимент комплексных удобрений с разнообразным соотношением действующих веществ в соответствии с потребностями совхозов и колхозов на небольших смесительных установках местного значения,дает возможность более гибко регулировать соотношение действующих веществ в соответствии с требованиями сельского хозяйства. Все они содержат основные питательные элементы. Смешивание удобрений приводит к улучшению их физических свойств — гигроскопичности, сыпучести. Но в некоторых случаях смешивание удобрений приводит к резкому ухудшению их свойств — в одном случае теряется их питательная ценность, а в другом получается мажущаяся масса, не поддающаяся внесению.
В России установлены технические условия на два типа тукосмесей: МРТУ 6-08-141—89 — на смесь порошкообразного суперфосфата с фосфоритной мукой в соотношении 1 : 1 (фосфатная смесь) и ТУ 6-08-336—85 — на двойное фосфорно-калийное удобрение, получаемое смешение простого суперфосфата и кристаллического хлористого калия с гранулированием методом прессования: фосфорно-калиевое удобрение прессованное (дробят на гранулы только перед внесением). Содержит не менее чем по 14 % Р2
О5
и К2
О, а также не более 2% кислоты. Размер гранул (промышленных) этого удобрения:1—4 мм — не менее 90%, 4—6 мм—не более 5% и меньше 1 мм—не более 5%. Механическая прочность гранул 3,5—4,0 МПа (35—40 кгс/см2
). Гарантийный срок хранения 6 мес. Свойства некоторых исходных удобрений ограничивают возможности их смешения, что демонстрируется на примере смесей из удобрений двух типов:
| Удобрения |
Сульфат аммония
Аммофос
|
Нитрофоска |
Селитры |
Карбамид |
Суперфосфаты |
фосфоритная
мука
|
Преципитат |
Калийные
удобрения
|
Известь, доломит, мел |
Сульфат аммония
Аммофос
|
+ |
+ |
В |
+ |
+ |
+ |
+ |
+ |
— |
| Нитрофоска |
+ |
+ |
+ |
В |
В |
В |
В |
В |
— |
| Селитры |
В |
+ |
+ |
В |
В |
В |
В |
В |
— |
| Карбамид |
+ |
В |
В |
+ |
+ |
В |
В |
В |
В |
| Суперфосфаты |
В |
В |
В |
+ |
+ |
В |
В |
В |
+ |
| фосфоритная мука |
В |
В |
В |
В |
В |
+ |
В |
В |
+ |
| Преципитат |
В |
В |
В |
В |
В |
В |
+ |
В |
— |
| Калийные удобрения |
+ |
В |
В |
В |
В |
В |
В |
+ |
+ |
| Известь |
— |
— |
В |
В |
— |
— |
— |
В |
+ |
| Цианамид кальция |
— |
+ |
—+* |
В |
— |
В |
В |
В |
+ |
| Томасшлак,фосфатшлак |
— |
В |
—
В*
|
В |
— |
В |
В |
В |
+ |
У с л о в н ы е з н а к и: [ + ]— удобрения смешивать можно; [—] —cмешивать нельзя; [В] — можно смешивать только непосредственно перед внесением.
*Имеется в виду смешение данного удобрения с аммиачной селитрой, а затем с КNO3
, NaNO3
cоответственно.
Например, при смешивании суперфосфата с аммиачной селитрой могут выделяться пары азотной кислоты или окислы азота:
NH4
NO3
+ H3
PO4
= NH4
H2
PO4
+HNO3
Образование нитрата кальция приводит к увеличению гигроскопичности смеси:
2NH4
NO3
+ Са(Н2
РО4
)2
= 2NH4
H2
PO4
+ Ca(NO3
)
При смешивании стандартного простого суперфосфата с карбамидом и аммиачной селитрой смесь при хранении во влажной атмосфере увлажняется и слеживается. Томасшлак, фосфатшлак, содержащие свободную окись кальция, нельзя смешивать с аммиачной селитрой или сульфатом аммония вследствие потерь аммиака:
СаО + (NH4
)2
SO4
= 2NH3
+ CaSO4
+ Н2
О
Улучшение физико-химических свойств и использование нескольких исходных компонентов позволят получать комплексные смешанные удобрения, пригодные для длительного хранения. Например, введением нейтрализующих добавок (известняк, доломит, костяная или фосфоритная мука и др.) или применением аммонизированного суперфосфата предотвращается образование азотной кислоты, превращение монокальцийфосфата в дикальций-фосфат, улучшаются физические свойства удобрения. Полная нейтрализация суперфосфата или снижение содержания в нем свободной Р2
О5
до 1 % и влажности (до 4 % — в простом и до 3%—в двойном) позволяет получать в смеси с карбамидом удобрения марки 1:1:1. Смесь стандартного гранулированного аммофоса с хлористым калием, суперфосфатами и сульфатом аммония обладает хорошими физическими свойствами — небольшая гигроскопичность и возможность длительного хранения. Установлено, что качество удобрений в значительной мере зависит от наличия свободной кислоты. Удобрения, не содержащие свободной Н3
РО4
(аммонизированный суперфосфат, аммофос) в смесях не портятся. Ниже приведена номограмма, позволяющая ориентировочно рассчитывать расход исходных компонентов для приготовления смешанных удобрений заданного состава (пунктир—пример расхода аммиачной селитры с 34,8 % д.в. для приготовления смеси состава 14:14:14):

В связи с гигроскопичностью некоторых удобрений их рекомендуется открывать перед внесением в почву и добавлять к ним щелочной наполнитель. Однако при производстве сухих смесей их использовать нежелательно, т.к. он создает трудности при изготовлении, удорожает цену, снижает концентрацию в удобрении питательных веществ. Например, в смеси аммиачной селитры, суперфосфата и КС1 содержит по 31,5% N,
Р2
О5
и К2
О, а при добавлении наполнителя доломита (10% по массе) — только по 28%. Выше концентрация наполнителя—сильнее снижение д.в. (особенно водорастворимой Р2
О5
), потому и важно, чтобы выпускаемые марки удобрений были пригодны для изготовления смешанных удобрений с меньшей дозой щелочного наполнителя и могли храниться без него.
В России сейчас выпускается ЖКУ — жидкие комплексные удобрения с использованием в качестве источника фосфора полифосфорные кислоты состава Нn
+2
Рn
О3
n
+1
с n=2—9. Их производные — стекловидные бесцветные вещества. Кислоты эти образуются при нагревании фосфорной кислоты Н3
РО4
в вакууме. В частности, пирофосфорная кислота Н4
Р2
О7
образуется по уравнению:
2Н3
РО4
→ Н4
Р2
О7
+ Н2
О
В почве очень постепенно протекает обратное превращение. Распространенные марки— 13-60-0, 15-60-0, 13-65-0. В связи с высокой растворимостью полифосфатов NH4
+
в воде, можно получить основные растворы и уравновешенные азотно-фосфорные удобрения очень высокой концентрации (60-65% Р2
О5
). На сероземах они улучшают снабжение растений Zn2+
. В ЖКУ на полифосфорных кислотах можно вводить значительные количества микроэлементов, в то время как большинство из них (кроме В) в присутствии анионов фосфорных кислот иммобилизуются. ЖКУ—кислые удобрения с рН=6,5. Их эффективность такая же, что и у обыкновенных. ЖКУ не слишком устойчивы; для устойчивости вводят добавки: каолин, кремниевые кислоты, поскольку из пересыщенного раствора может выпадать твердая фаза. ЖКУ, обладая полимерной структурой аниона, способны к ионному обмену, комплексообразованию, хелатированию, что важно для минерального питания растений. На сероземах они осаждаются из-за явления хелатирования, так что полифосфаты могут быть защитными добавками для обычных фосфорных удобрений. Долго остаются в почве в усвояемом виде.
Удобрительные смеси (ОСТ 6-08-457-75 и ОСТ 6-08-3-76). Являются смесью суперфосфата, сульфата аммония и хлористого калия, взятых в определенных соотношениях.
| Название удобрительной смеси |
Торговые марки |
Назначение и применение |
Удобрительные смеси
(огородные — 6:9:9
цветочные — 6,4:9,6:6,4
плодово-ягодные — 6,0:9,6:7,5)
Удобрения-тукосмеси для плодово- ягодных,огородных и цветочных культур
|
1
2,3,4
5
6,7
8,9
|
под овощи
под цветы
под огородные и плодово-ягодные культуры
под плодово-ягодные культуры
Для теплиц, для жидких подкормок и выращивания растений на гидропонике под все культуры
|
В последнее время список торговых марок комплексных минеральных удобрений расширился за счет следующих видов: карбоаммофос — 25-30-0; полифосфат мочевины — 31-31-0; карбоаммофоска — 19,8-19,8-19,8; МАФ N-P2
O5
-MgО = 10-40-15; ПМФ — Р 2
О5
-MgО = 20-12. Приведен наиболее часто встречающийся состав. В реальности содержание элементов питания может несколько варьировать—можно встретить в торговых точках карбоаммофос следующих марок: 25-З0-0; 34-17-0; 33-20-0 и т. д. Данные виды удобрений выпускаются Буйским химическим заводом с 1999 года.
Косвенные (мелиоративные) удобрения
Каждый вид наземных растений для своего наиболее успешного развития требует наличия в почве еще и определенной концентрации водородных ионов. Значения рН большинства почв лежат в пределах 5—7, значит, почвы имеют слегка кислый характер.
Чтобы максимально приблизить состояние данной почвы к нуждам растения, наряду с удобрением проводят мелиорацию почв.Это химическое, физическое, микробиологическое воздействие на почву с целью улучшения условий использования удобрений. Химическую мелиорацию проводят для улучшения качества подзолистых почв с повышенной кислотностью или щелочностью. В первом случае осуществляют известкование, во втором — гипсование. Химические мелиоранты оказывают прижигающее или раздражающее действие на открытые участки кожи, слизистые оболочки глаз и носоглотки. В помещении для хранения устраивают активную вентиляцию.
Известкование
Известкование способствует переходу в доступную для растений форму питательных веществ, компенсирует потери Са2+
и Мg2+
и снижает потери К+
, кислотность, токсичность микроэлементов (например А1), улучшает физико-химические свойства почвы, активизирует деятельность полезных микробов, повышает усвояемость и подвижность молибдена, а потому на 30—40% повышает эффективность минеральных удобрений. Значение известкования сейчас особенно возросло в связи с появлением в продаже все большего количества физиологически кислых минеральных удобрений. Нерастворимые в воде карбонаты под действием углекислого газа и воды превращается в растворимые гидрокарбонаты, которые гидролизуются, а получающийся анион ОН—
и нейтрализует избыток Н+
в кислых почвах. Известкование легких почв приводит к значительным потерям серы (на 20-30%), почему ее и добавляют в известковые удобрения. Для известкования кислых почв используют:
—Природные карбонатные твердые породы, требующие размола. Их качество (быстродействие) зависит от толщины помола (ТУ 21-31-1-69).
—Природные карбонатные рыхлые породы (ТУ 14-1-852-74).
—Отходы промышленности, содержащие известь.
Известково-серное удобрение—содержит 75% СаСО3
, не более 6% серы и примеси оксида магния.
Мука известняковая (ГОСТ 14050—78)1 и 2 сорт. 1 сорт содержит не менее 88%, а 2 сорт — не менее 85% СаСО3
Местные удобрения: туф (ТУ 46-5—73)—не менее 80% 1 сорт и 70% СаСО3
2 сорт, в 3 сорте 60% при содержании влаги не более 30%, озерная известь, мел рыхлый– содержит не менее 80% СаСО3
. Мергель содержит 50% СаСО3
.
Шлаки феррохромовые самораспадающиеся. Содержит не менее 46% СаСО3
с примесью железа.
Мел СаСО3
(ТУ 12085-73): продукт пылящий содержит не менее 90% СаСО3
; слабопылящий— не менее 90% (1 сорт) и не менее 84% СаСО3
(2 сорт).
Борогипс в гранулах — содержит не менее 1% В2
О3
, не менее 32% SO3
, не менее 75% СаСО3
.
Пыль из вращающихся печей цементных заводов (ТУ 21-20-1—70), содержит не менее 60% СаСО3
+ MgО. Влаги в пересчете на абсолютное сухое вещество 2%.
Материалы известковые из флюсов, содержат не менее 82% СаСО3
+ MgО.
Доломитовая мука СаСО3
∙ MgСО3
содержит около 20 % магния и 28 % кальция. Ее используют в качестве магниевого удобрения и для известкования кислых почв.
Карбонат магния (магнезит) MgСО3
. Размолотый природный минерал содержит 45% MgО, а обожженный магнезит (жженая магнезия) MgО — до 89%. Это щелочные удобрения, превосходящие известь по своей нейтрализующей почвенную кислотность способности.
Гипсование
В южных районах европейской части страны, в Западной Сибири и некоторых других регионах в течение нескольких геологических эпох сформировался особый тип почв — солонцы и солончаки. Наиболее часто такие почвы встречаются в условиях засушливого климата в прибалочных и приовражных понижениях, по склонам и террасам речных долин, в поймах степных рек.Они содержат в себе много катионов натрия и имеют щелочную реакцию среды. Для улучшения таких бесструктурных почв, заплывающих во влажном состоянии и глыбистых в сухом, требуется мелиоративный прием, по химическому действию противоположный известкованию, — гипсование.
Гипс сыромолотый (ТУ 6 — 75)— класс А содержит не менее 85% СаО, класс Б содержит не менее 70% СаО, влаги в пересчете на абсолютное сухое вещество по 5%. Растворимость гипса, и соответственно его мелиорирующее действие, сильно зависит от влажности.
Основной мелиорант – фосфогипс (ТУ 6-08-207—71), представленный 2 сортами: 1 сорт содержит 95% основного вещества, а 2 сорт—80-91%. Обладает весьма полезными свойствами: кислая рекция (насыщенный раствор имеет рН 3-4), много гипса и свободной ортофосфорной кислоты с водорастворимым Р2
О5
0,4-2,5%, влаги (гигроскопической не менее 8% и не более 15%), гигроскопичность (более, чем у гипса), мелкодисперсность, что означает хорошую усвояемость, а также более дешев, нежели гипс.
На наш, российский, рынок поступают удобрения некоторых зарубежных фирм. «Кемира Агро» (Финляндия), «Норск-Гидро» (Норвегия) «Хайфа Кемикалз» (Израиль). Среди удобрений фирмы «Кемира Агро» следует отметить следующие:
Кемира универсал (люкс) — бесхлорное минеральное удобрение, содержит все основные макро- и микроэлементы (азот — 10%, фосфор — 10%, калий — 20%, сера — 11 %, а также магний, кальций, железо, бор, марганец, медь, цинк, молибден, селен). Кемира супер: 11-24-24. Кемира комби: 14-10-25.
Все эти удобрения не имеют вредных примесей, легко и быстро растворяются в воде, содержат необходимый набор микроэлементов, хорошо смешиваются.
Кемиру универсал можно применять как основное удобрение, а кемиру супер и кемиру комби для внекорневых подкормок.
Среди удобрений фирмы «Норск-Гидро» распространены разные торговые марки «Кристалона» с содержанием N : P2
O5
: K2
O = 18:18:18; 13:40:13; 19:6:20 и др. Это полные комплексные удобрения, содержащие магний и микроэлементы в хелатной форме. Другое удобрение этой фирмы «Альбатрос». Высококонцентрированное, содержит азот в виде мочевины, в больших количествах основные питательные вещества и микроэлементы. Используется для внекорневой подкормки.
«Тенсо-коктель» — удобрение, в котором представлен весь комплекс микроэлементов. Используется оно также для внекорневой подкормки. Применение его три раза в год позволяет сбалансировать содержание микроэлементов в почве.
Среди удобрений фирмы «Хайфа Кемикалз» представляет наибольший интерес «Мульти-NPK». Его состав: 12-2-44. Выпускается в кристаллическом и гранулированном виде. Оно не содержит хлор, хорошо растворяется в воде.
«Апион» — удобрение, содержащее питательные вещества, которые действуют в сиеде корнеобитания (удобрение закладывается под корни или рядом с ними) и обеспечивает выделение в почву сбалансированного комплекса макро- и микроэлементов и даже биорегуляторов роста в соответствии со скоростью потребления их растениями. Существует целая серия марок этого удобрения (Апион-3, Апион-6, Апион-30, Апион-50 и др.), которые применяют под различные культуры в открытом грунте и для горшечной культуры.
Контроль и экспертиза качества минеральных удобрений
Отбор и подготовка проб для испытаний
Отбор и подготовка проб для для анализов производится по ГОСТ 21560,0-02 и распроостраняется на гранулированные, кристаллические, зернистые минеральные удобрения.
Отбор проб от неупакованного продукта, находящегося в движении Отбирают непрерывно или через равные промежутки времени механическим пробоотборником, обеспечивающим набор точечных проб с т=0,5 кг от каждых 3-5 т при погрузке, выгрузке, перегрузке удобрений, поставляемых насыпью или перед упаковкой. Отобранные пробы обьединяют, перемешивают, сокращают до получения средней пробы.
Отбор проб от неупакованного продукта из насыпей. Точечные пробы отбирают совковым или ручным пробоотборником в 2 приёма: первый—после выгрузки у дверей, второй—после выгрузки половины удобрения. Всего берется 36 точечных проб (сверху, снизу, посередине). M точечной пробы должна быть не менее 200г.
Отбор проб от упакованного в мешки продукта. Ведут щелевидным пробоотборником или любым аналогичным средством. Отбирают при горизонтальном положении мешка, погружая инструмент на ¾ длины мешка по 2 диагоналям. M (точечной пробы) должна быть не менее 200г. После чего обьединяют, перемешивают, сокращают.
Отбор проб для определения рассыпчатости. Точечные пробы от неупакованного продукта отбирают равномерно от всей массы продукта и помещают в мешки, которые завязывают и испытывают по ГОСТ 21560.5-02. M каждого мешка должна быть 35-50 кг, а m (обьединенной пробы)—210-300 кг от каждой насыпи. Точечные пробы от упакованного удобрения отбирают в виде отдельных мешков из разных мест штабеля в равном количестве по горизонтали (верхний, средний, низший), после чего составляют обьединенную пробу из не менее 6 мешков, и испытывают.
Подготовка средней пробы. Готовят сокращением на делителе Джонса. Делят общую пробу на средние пробы с т= 1,0-2,5 кг каждая. Если масса средней пробы больше требуемой, то обьединяют полностью содержимое такого количества приемных емкостей, которое при повторном делении обеспечит получение требуемой по массе средней пробы. Если масса средней пробы менее требуемой, то среднюю пробу получают обьединением любых 2 приемных секторов, содержащих минеральное удобрение. Искусственное увеличение либо уменьшение средней пробы в емкостях не допускается, но допустимо сокращение обьединенной пробы методом квартования вручную на гладкой поверхности. Среднюю пробу плотно упаковывают в чистую сухую банку с крышкой или двойной полиэтиленовый мешок, завязывают, маркируют (наименование предприятия – изготовителя и продавца, номер партии, сорт, марку, обозначения стандарта или ТУ, дату и ФИО лаборанта).
Подготовка аналитической пробы. Среднюю пробу с массой 1,0-2,5 кг делят на аналитические по 100-250 г каждая. Если при сокращении средней пробы на делителе получаются пробы с массой более или менее требуемой, то обьединяют полностью содержимое такого количества приемных секторов, которое при повторном делении обеспечило бы получения аналитической пробы требуемой массы. Искусственное увеличение либо уменьшение аналитической пробы в емкостях не допускается, а последовательное квартование допустимо только для кристаллических и зернистых удобрений.
Методы физико-механического контроля. Методы определения гранулометрического состава
Метод основан на содержании фракций, полученных путем рассева проб на ситах и выполняется согласно ГОСТ 21560.1-02.
Ход работы : пробу массой около 200 г взвешивают с погрешностью не более 0,1 г, помещают в верхнее сито прибора и ведут рассев 3 минуты. Часто время рассева и массу навески указывают в сопроводительном документе на конкретный вид удобрения. После рассева отбирают остатки с каждого сита и взвешивают с погрешностью не более 0,1 г. Допустимо обьединить остатки на ситах в пределах фракции. Частицы, которые застряли, обьединяют с надситовой фракцией, но их разрушение не допускается. Потери при рассеве не должны быть больше 1%. Содержание фракции Х в % вычисляется:
Х%= 100 m1
/ m Где m – масса пробы, m1
– масса фракции
За результат принимают целое число —среднее арифметическое 2 параллельных определений с расхождением не более 1%.
Методы определения статистической прочности гранул
Основан на определении предельной силы, необходимой для разрушения гранул испытательной фракции при сжатии между 2 параллельными плоскостями с площадью каждой 1 см2
. На приборе для рассева выделяют фракцию гранул с d = 2-3 мм или фракцию, размер которой задан в стандарте на конкретное удобрение. Погрешность определений размера гранул +- 0,1 мм. Производится по ГОСТ 21560.2 -02 и распространяется на гранулированные минеральные удобрения.
Ход работы: Отбирают пинцетом 20 гранул, примерно сферической формы, и помещают в плотнозакрытый бюкс, чтобы не было изменений влажности. Все гранулы последовательно разрушают на приборе и по шкале замеряется сила (в кПа). Вычисляют статистическую прочность Х:

Где Р!
—сила, для разрушения 1 гранулы. S—поперечное сечениегранулы. dср
—средний диаметр гранулы
В практических условиях находит применение следующая условная градация слеживаемости удобрений:
IСлегка слеживается До 98,1
IIСлабо слеживается 98,1—196,2
IIIНесколько слеживается 196,2—392,4
IVСлеживается в средней степени 392,4—686,7
VЗначительно слеживается 686,7—981
VIСильно слеживается 981—1471,5
VIIОчень сильно слеживается >1471,5
Для результата в кгс/см2
результат по формуле умножается на 10,2 и округляют до целых.
Методы определения динамической прочности и истираемости
Метод основан на определении доли неразрушенных гранул после воздействия на них ударных нагрузок и сил трения во вращающемся барабане с шариками. Производится по ГОСТу 21560.3-02 и распространяется на гранулированные, кристаллические, зернистые минеральные удобрения .
Ход работы: Пробу с массой 200-250 кг помещают в прибор для определения гранулометрического состава и отсеивают фракцию с частицами d<1 мм. Пробу, оставшуюся после отсева, взвешивают с погрешностью не более 0,1 г и помещают в барабан прибора вместе со стальными шариками c d=5 мм и массой, равной массе пробы, затем испытывают 10 мин. Извлекают шарики из барабана магнитом, повторно отсеивают пылевидную фракцию и взвешивают пробу, оставшуюся на ситах с погрешностью не более 0,1 г. Динамическую прочность и истираемость Х в % вычисляют:
Х%= 100 m1
/ m
где м—масса пробы после первого отсева, м1
—масса пробы после повторного отсева
За результат принимают среднее арифметическое 2 параллельных измерений, округляя до целых чисел. Расхождение не должно превышать 5 %.
Методы определения рассыпчатости
Этот метод распространяется на гранулированные, кристаллические, зернистые минеральные удобрения и производится по ГОСТ 21560.5—02. Метод основан на определении массы удобрения, оставшегося на сите после предварительного однократного сбрасывания его в мешке с высоты в 1 м на плоскую твёрдую поверхность и последующего рассева. По рассыпчатости минеральные удобрения различают:
-свободно-сыпучие—не содержат никаких комков, свободно стекают по наклонной плоскости
-незатвердевшие сыпучие удобрения — вследствие влияния давления и (или) влаги не затвердевают и свободно рассыпаются в руке.
-затвердевшие —неудовлетворительное по ГОСТу 21560.5-02 качество.
Ход работы: Удобрение, упакованное в мешок, взвешивают и сбрасыают плашмя в условиях свободного полета с высоты в 1 м на плоскую твердую поверхность. Затем мешок переносят на сито, разрезают и освобождают от тары удобрение и производят рассев, который проводят вручную качанием сита в горизонтальной плоскости без встряхивания с частотой 50+-10 колебаний/мин в течение 1,5 мин (можно делать на соответствующем приборе). Рассыпчатость Х в % вычисляют так:

Где m—масса удобрения в мешке до рассева, кг. m1
—масса остатков удобрения на сите, кг. п—число мешков
За результат принимают среднее арифметическое 2 параллельных измерений и округляют до целых чисел.
Методы определения гигроскопичности
Гигроскопичность характеризует способность веществ поглощать влагу из воздуха. При большой гигроскопичности удобрения сильно слеживаются, ухудшается их сыпучесть и рассеваемость, гранулы теряют свою прочность. Распространенная ее оценка — определение гигроскопической точки, которая выражается в %. Для водорастворимых солей гигроскопические точки (h) определяются отношением парциального давления паров воды над насыщенным раствором соли (Ра
) при данной температуре к давлению паров воды в момент насыщения ими воздуха (Р) при той же температуре:
h = Pa
/ P
Гигроскопическая точка соответствует относительной влажности воздуха (ha
), при которой вещество не поглощает и не теряет влагу (равновесная относительная влажность). Следовательно, вещество поглощает влагу из воздуха, если ha
>hи наоборот, вещество подсыхает, если h>ha
. Скорость поглощения влаги удобрениями
Q = K (ha
— h)
где Q— масса влаги, поглощенной единицей поверхности вещества в единицу времени; К — коэффициент скорости поглощения влаги, выраженный в кг/(м2
·ч) на один процент разности (ha
— h).
Гигроскопическую точку, выражающую отношение давления водяных паров над насыщенным раствором вещества к давлению паров воды в окружающем воздухе находят (по Н. Е. Пестову) статическим эксикаторным методом. Однако определяемая этим методом гигроскопическая точка зависит от влажности продукта и не характеризует скорости поглощения влаги веществом. При пропускании воздуха (азота) с определенной относительной влажностью (φотн
) над сухим образцом наступает момент, когда в результате поглощения влаги на поверхности частиц образца образуется пленка насыщенного раствора. Влажность образца в этот момент названа критической (максимальной) влажностью (Wm
). Влажность воздуха, соответствующая критической влажности названа критической гигроскопической точкой (φкр
), исходя из которых выведена балльная шкала:
| Баллы |
Гигроскопические точки, % |
Качественная оценка гигроскопичности |
10-9
9-8
8-7
7-6
6-5
5-4
4-3
3-2
2-1
1-0
|
40-45 и менее
45-50
50-55
55-60
60-65
65-70
70-75
75-80
80-85
85-90 и более
|
Очень сильно гигроскопичны
«
Сильно гигроскопичны
«
Гигроскопичны
«
Несколько гигроскопичны
Слабо гигроскопичны
Почти не гигроскопичны
Практически не гигроскопичны
|
Методы химического контроля
Схема качественного определения ионного состава минеральных удобрений (по О.С. Безугловой с дополнениями Петербургского).

Порошки и гранулы, плохо растворимые в воде


МФУ проще всего различить, применив аналитическую реакцию с 2,4 инитрофенилгидразином:

В результате ее образуются желто-красные осадки гидразонов, склонные к быстрой кристаллизации. Таким же путем легко обнаружить и биурет в карбамиде.
Количественные определения минеральных удобрений
Все количественные определения минеральных удобрений производятся согласно ГОСТ 21560.4-02. В промышленных минеральных удобрениях принято рассчитывать следующие количественные показатели:
1. Действующее вещество (в %) в навеске прямого удобрения
2. Прочие соединения, которые включают в себя следующие показатели:
а) Свободные кислоты (кислотность)
б) Содержание хлорид-анионов
Определение процента действующего вещества
1. Удобрения, содержащие азот. Удобрения, содержащие NO3
—
. Все соли азотной кислоты растворимы в воде. Между тем многие нитраты нерастворимы в некоторых неводных растворителях. Вследствие этого становится возможным применять для их определения методы осаждения. Предлагаемый метод основан на осаждении Ba(NO3
)2
, который, как известно, хорошо растворим в воде, но малорастворим в среде безводной уксусной кислоты. Нитраты титруют стандартным уксуснокислым раствором ацетата бария в среде безводной уксусной кислоты по току восстановления нитрат-ионов. В качестве индикаторного электрода используют медный вращающийся микроэлектрод, в качестве электрода сравнения — насыщенный каломельный электрод, который соединяют с эле тролизером электролитическим ключом, заполненным насыщенным раствором хлорида калия в агар-агаре.
Нитрат-ионы восстанавливаются на медном вращающемся индикаторном электроде на фоне 0,05 н. уксуснокислого раствора LiCl, образуя хорошо выраженную полярографическую волну с Е% = —0,45 В. Диффузионный ток достигается при Е = —0,8 В; в соответствии с этим амперометрическое титрование проводят при потенциале —1,0 В. Кривые титрования имеют два излома. Первый излом соответствует примерно половине оттитрованного вещества, второй — точке эквивалентности.
Ход работы: Навеску 0,1 г анализируемого вещества, взвешенную на аналитических весах, в стакане емкостью 30 мл растворяют в 1—2 каплях воды и добаляют 20 мл 0,05 н. уксуснокислого раствора хлорида лития. В микробюретку наливают стандартный 0,2 н. уксуснокислый раствор ацетата бария. В стакан опускают медный индикаторный электрод и соединяют электролизер с каломельным электродом при помощи электролитического ключа, затем включают мотор, частота вращения электрода должна быть около 800—900 об/мин. Устанавливают потенциал —1,0 В, включают гальванометр и титруют нитрат-ионы раствором ацетата бария, прибавляя его порциями по 0,2 мл. После прибавления каждой порции стандартного раствора отмечают положение светового зайчика на шкале. На основании полученных данных строят график зависимости показаний гальванометра (мм) от прибавленного объема титранта и графически находят объем титранта (мл), соответствующий точке эквивалентности. Содержание нитратного азота в удобрении в процентах вычисляют по формуле:
ώ% =Энитр
∙N Ba
2+
· V Ba
2+
· 100 / (884,95a)
Удобрения, содержащие NН4
+
. Применяется метод колориметрирования, основанный на связывании определяемого компонента реактивом Несслера. Образовавшееся вещество обнаруживают оптически при помощи ФЭК-2 при длине волны λ=600 нм и определенной высоте раствора пробы в цилиндре.
Ход работы: Взвешивают навеску удобрения 20,0 г и растворяют в 1 л дистиллированной воды и перемешивают. Из полученного раствора пипеткой отбирают 100 мл раствора в колориметрический цилиндр, где готовится раствор сравнения. Во все 3 цилиндра помещают по 3 мл реактива Несслера и по 3 мл сегнетовой соли (калий-натрий виннокислый) и перемешивают. Через 10 мин наблюдается появление окраски. Приступают к колориметрированию. Содержание аммонийного азота рассчитывают по формуле:
ω% = 3,88 ∙ сст
nст
hст
1000 / hисп
V
где сст
– концентрация стандартного раствора, nст
– количество стандартного раствора для приготовления раствора сравнения, hст
– высота стандартного раствора, hисп
– высота раствора пробы
Удобрения, содержащие свободный NН3
. Известно, что от количества растворенного аммиака изменяется плотность раствора. На этой зависимости основан метод определения содержания азота в жидких удобрениях. В стеклянный цилиндр емкостью 500—1000 см3
наливают водный аммиак и опускают ареометр. По глубине его погружения (по шкале) и устанавливают плотность жидкости, вычисляя затем процент азота и аммиака:
| Плотность |
%Аммиака |
%Азота |
Плотность |
%Аммиака |
%Азота |
Плотность |
%Аммиака |
%Азота |
0,970
0,968
0,966
0,964
0,962
0,960
0,958
0,956
|
7,91
7,82
8,33
8,84
9,35
9,91
10,47
11,03
|
6,02
6,43
6,86
7,27
7,70
8,16
8,61
9,08
|
0,954
0,952
0,950
0,948
0,946
0,944
0,942
0,940
|
11,60
12,17
12,74
13,31
13,83
14,46
15,04
15,63
|
9,55
10,01
10,50
10,96
11,41
11,90
12,39
12,77
|
0,938
0,936
0,934
0,932
0,930
0,928
0,926
0,924
|
16,22
16,82
17,42
18,03
18,64
19,25
19,87
20,49
|
13,36
13,86
14,33
14,85
15,88
15,85
16,35
16,90
|
2. Удобрения, содержащие фосфор. Гравиметрический метод основан на вытеснении из удобрения свободной фосфорной кислоты, что делается с помощью концентрата Н2
SО4
. Поскольку очень многие фосфорные удобрения легко образуют с ней осадки, то вытесненную Н3
РО4
легко отделить.
Ход работы: В коническую колбу вносят 20,0000 г удобрения, которое предварительно измельчают в порошок и приливают 25% серную кислоту в соотношении примерно 1:2 и нагревают до 50-70*С в течение 20-30 мин. После этого смесь отстаивают 10 мин, а выделившийся и осевший осадок отделяют фильтрованием смеси в другую колбу. Реакционную колбу ополоснуть 2 раза дистиллированной водой и слить в другую колбу. Затем добавляют в избытке крепкую магнезиальную смесь. Образовавшийся белый кристаллический осадок выдерживают с раствором при повышенной температуре. После того, как раствор над осадком станет совершенно прозрачным, его проверяют на полноту осаждения: в раствор с осадком по стенке стакана приливают несколько капель магнезиальной смеси. Если образуется муть, приливают по 3-5 мл смеси каждый раз после предыдущего обнаружения помутнения. Если не образуется мути, то отделяют и промывают от раствора в несколько декантаций, сливая раствор на фильтр по стеклянной палочке. Прокаливают при 200*
С в течение 40-50 мин до момента, когда осадок перестанет резко пахнуть. После чего взвесить на аналитических весах с точностью до 4 знаков и провести вычисления по формуле:
ώ = 3,189 m
где m—масса выпавшего осадка, г.
Удобрения, содержащие калий. Гравиметрический метод основан на связывании калия в образце удобрения при помощи тетрафенилбората натрия, образующего с ним белый кристаллический осадок, не растворимый в растворах кислот.
Ход работы: В коническую колбу вносят 20,0000 г удобрения, из которого готовят насыщенный раствор (см. выше). Если есть нерастворившиеся частицы, проводят фильтрование. Соли аммония мешают проведению процесса, их маскируют, добавляя к смеси 3%-ный раствор формальдегида. После этого в 2-кратном избытке вносят насыщенный раствор тетрафенилбората натрия. Выпавший осадок выдерживают с раствором при повышенной температуре, проверяют на полноту осаждения (см выше). После этого надосадочную жидкость сливают, а осадок сушат горячим воздухом, после чего взвешивают. Вычисления проводят по формуле:
ώ=0,657 m
4. Удобрения, содержащие магний. Гравиметрический метод основан на связывании растворенного магния насыщенными растворами Na2
НРО4
и NН4
OH (в избытке).
Ход работы: В коническую колбу вносят 20,0000 г измельченного в порошок удобрения и приготовляют насыщенный раствор, после чего добавляют в 1,5 — 2-кратном избытке крепкие растворы Na2
НРО4
и NН4
OH (в избытке). Образовавшийся белый кристаллический осадок выдерживают с раствором при повышенной температуре. После того, как раствор над осадком станет совершенно прозрачным, его проверяют на полноту осаждения. Потом отделяют и промывают от раствора в несколько декантаций, сливая раствор на фильтр по стеклянной палочке. После прокаливают при 200*С в течение 40-50 мин до момента, когда осадок перестанет резко пахнуть. Полученный осадок взвесить на аналитических весах до 4 десятичных знаков и провести вычисления по формуле:
ώ%=1,811 m
5. Микроудобрения. Метод подсчета действующего начала может проводиться на основе реакций вытеснения из микроудобрений их металла при помощи металлического цинка с последующим растворением в растворе кислоты или щелочи или другими методами.
Определение сорта медного купороса (содержание соли в образце). Определение основано на том, что при пропускании раствора с через колонку с катионитом в Н-форме катионы соли обмениваются на ионы водорода, при этом выделяется кислота в количестве, эквивалентном содержанию соли в растворе. Количество выделившейся кислоты определяют титрованием щелочью. В качестве сильнокислотных катеонитов в этем случае можно использовать катиониты марки СДВ-3, КУ-2 и др. в Н-форме.
Ход работы: Отбирают пипеткой 10 мл анализируемого 0,1 н. раствора соли из мерной колбы и помещают в колонку (диаметр 20 мм, высота 300 мм), содержащую 15 г сильнокислотного катионита в Н-форме. Раствор пропускают через катионит со скоростью примерно 2 капли в 1 с. Вытекающий из колонки раствор собирают в коническую колбу емкостью 300 мл. Затем через катионит спускают 60—100 мл дистиллированной воды, наливая ее из промывалки отдельными порциями по 10—15 мл. Новую порцию воды наливают тогда, когда уровень жидкости в колонке достигнет поверхности ионита. Полноту вымывания выделившейся кислоты проверяют по метиловому оранжевому; для этого отбирают на часовое стекло каплю вытекающего из колонки раствора и прибавляют индикатор. Если при этом окраска раствора станет желтой, то кислота полностью вымыта из катионита. Промывные воды тщательно собирают в ту же коническую колбу. Все содержимое конической колбы оттитровывают 0,1 н. раствором NaOH в присутствии метилового оранжевого. Определение проводят 3—5 раз, пропуская раствор соли через ту же колонку. Содержание соли вычисляют в граммах, затем переводят содержание соли в %:
m = Э соли
∙ V (NaOH) · N (NaOH) ∙ (Vk
/1000 Va
)
где Vk
–обьем исследуемого раствора, мл, Vа
–обьем анализируемого раствора, мл.
Кобальтовые. В концентрированный раствор сульфата кобальта помещают в избытке цинк в виде палочек, кусочков или пыли. После обесцвечивания раствора его сливают, отбирают непрореагировавшие кусочки цинка и заливают осадок кобальта с остатками цинка разбавленной NaOH, нагретой до температуры 60—70 °С. Металл переносят на фильтр, промывают разбавленной NaOH, водой, а затем спиртом. Сушат при температуре 40—50 °С. Можно воспользоваться также железом или алюминием в виде порошка или пластинок. Вычисления ведут по формуле:
ώ%=100m1
/ m.
Цинковые. В насыщенный раствор сульфата цинка, приготовленного из 20 г кристаллической соли, вносят концентрированный раствор динатрийфосфата Na2
HPO4
∙ 2H2
O. Выпавший осадок представляет собой бесцветный кристаллический порошок, плохо растворимый в воде (растворимость при нагревании уменьшается), который отфильтровывают, промывают небольшим количеством горячей воды до исчезновения в промывных водах сульфат-иона. Прокаливают выше 250 °С. Вычисления проводятся по формуле:
ώ% = 2,540 m
Борные. 20, 0 г буры и 80 г гидроксида натрия растворяют в минимальном количестве воды и к раствору приливают 10 мл пергидроля в 9,2 мл воды. Выделившийся через некоторое время кристаллический осадок пербората отфильтровывают, промывают холодной водой, спиртом, эфиром и высушивают на воздухе. Затем в стеклянный стакан помещают мелкорастертую соль и заливают ее ацетоном, в который погружают небольшой стаканчик с осушителем (металлический кальций или амальгамированный алюминий в виде крупки, мелкой стружки или тонкой проволоки) в течение нескольких дней. После обезвоживания отфильтровывают в отсутствие влаги воздуха. Вычисления производятся по формуле:
ώ% = 1,131m
Молибденовые. Метод основан на экстрагировании окрашенного роданидного комплекса молибдена (VI) и фотометрировании на ФЭК-2 полученного экстракта.
Ход работы: Приготовляют при небольшом нагревании насыщенный раствор молибдата аммония или натрия. К 10—15 мл анализируемого раствора добавляют 2,0 мл концентрированной НС1, 1 мл раствора соли Мора (1 г в 100 мл 0,2 н. H2
SO4
) и 3,0 мл 10%-ного раствора роданистого калия. После перемешивания добавляют 3 мл раствора SnCI2
(10 г в 100 мл 1 н. раствора НС1), разбавляют водой до объема 25 мл. Добавляют 5 мл изоамилового спирта или изопропилового эфира и энергично встряхивают сосуд в течение 30 с. При большом содержании железа в растворе органический экстракт промывают равным объемом 1%-ного раствора SnCl2
и фильтруют для удаления воды. Экстракт фотометрируют при длине волны λ = 465 нм. Содержание молибдена находят по калибровочному графику.
Марганцевые. Гравиметрический метод основан на взаимодействии катионов марганца с растворами Н2
О2
и NaOH с образованием темно-бурого кристаллического осадка.
Ход работы: К насыщенному раствору марганцевой соли добавляют концентрированный раствор NaOH и 10 мл 3%-ной перекиси водорода. Выпавший осадок настаивают при 50-60*С до появления прозрачности надосадочной жидкости. Затем проверяют на полноту осаждения, сливают жидкость над осадком, центрифугируют и взвешивают на аналитических весах. Вычисления ведутся по формуле:
ώ %= 2, 6175 m.
Определение кислотности минеральных удобрений
Под кислотностью минеральных удобрений понимается наличие свободных кислот в определенной навеске удобрения. При вычислении кислотности следует иметь в виду, что в определенном виде удобрения содержится определенные кислоты, которые вводятся в состав удобрения для увеличения процента водорастворимого действующего начала. Так, например, Н3
РО4
имеется в фосфоросодержащих видах удобрения, Н2
SО4
вводят в азотные (не регламентируется), а Н3
ВО3
имеет место в микроудобрениях. Титриметрический метод основан на титровании кислот 0,1 н NaOH.
Вычисление количества свободной Н3
РО4
. Первая точка эквивалентности отвечает нейтрализации Н3
РО4
до H2
PO4
—
. Вторая точка эквивалентности соответствует нейтрализации Н2
РО4
до НРО4
—
.
Ход работы: Титрование проводят на любом рН-метре. В стакан емкостью 100 мл пипеткой переносят аликвотную часть (25 мл) анализируемого раствора, опускают мешалку и устанавливают стакан на площадке магнитной мешалки. В раствор помещают индикаторный стеклянный электрод и один конец электролитического мостика, заполненного 0,1 н. раствором КС1. Другой конец мостика опускают в сосуд, заполненный 0,1 н. КС1, где находится хлорсеребряный электрод сравнения. Электроды присоединяют к соответствующим клеммам рН-метра. Верхнее отверстие бюретки закрывают хлоркальциевой трубкой, заполненной натронной известью для защиты раствора щелочи от действия Н2
О и СО2
воздуха. После включения магнитной мешалки начинают титрование, прибавляя по 1 мл щелочи и измеряя ЭДС. Вблизи точки эквивалентности титрант прибавляют по 0,05 мл. Содержание фосфорной кислоты вычисляют в граммах по формуле, затем переводят в процент:
m = Э (Н3
РО4
) · N (NaOH) ∙ (V´´ NaOH—V´ NaOH) /100
где V´ NaOH и V´´ NaOH—объемы титранта, пошедшего на титрование соответственно до первой и второй точек эквивалентности.
Вычисление количества свободной Н3
ВО3
. Определение борной кислоты в присутствии маннита или глицерина основано на потенциометрическом алкалиметрическом титровании бороманнитовой кислоты. Борная кислота настолько слаба, что не может быть прямо оттитрована в водном растворе, а в присутствии маннита происходит реакция образования более сильной бороманнитовой кислоты.
Ход работы: В сосуд вносят 50 мл анализируемого раствора удобрения, прибавляют 40 мл дистиллированной воды и 1 г маннита (или 10 мл глицерина), опускают стеклянный и насыщенный каломельный электроды и титруют на любом рН-метре 0,1 н. раствором NaOH на магнитной мешалке. Значение рН в точке эквивалентности 6,9. Эквивалентный объем NaOH определяют дифференциальным методом. Содержание H3
BO3
во взятом для титрования объеме исследуемого раствора вычисляют в граммах по формуле, затем переводят в процент:
m = Э (Н3
ВО3
) ∙ N (NaOH) · V (NaOH) / 1000
Вычисление содержания хлорид-ионов
Определение хлорид-ионов основано на реакции их осаждения нитратом серебра.
Ход работы: Навеску удобрения растворяют в мерной колбе на 100 мл (содержание С1—
должно приблизительно соответствовать 0,1 мг/мл) и тщательно перемешивают. Отбирают микропипеткой 5 мл раствора и помещают в мерную колбу на 50 мл. В нее же прибавляют 10 мл 0,1 н. раствора азотной кислоты, 2 мл 0,5%-ного раствора желатины, дистиллированной воды до общего объема приблизительно 30 мл, 10 мл 0,005 М AgNO3
и доливают водой до метки. Содержимое колбы тщательно перемешивают. Через 5 мин раствор переносят в кювету нефелометра типа ФЭКН-57и измеряют рассеивание света не менее 3 раз. Вычисляют среднее значение и по калибровочной кривой определяют содержание хлорид-ионов.
Калибровочный график строят следующим образом. Из эталонного раствора КС1 (0,1 г КС1 в мерную колбу на 500 мл и доводят водой до метки), отбирают в четыре мерные колбы по 50 мл микропипеткой соответственно 2,0; 4,0; 6,0; 8,0 мл и приготавливают стандартные растворы, добавляя в них все реактивы, указанные выше.
Начинают измерения с пробы, имеющей наибольшую концентрацию. Раствор помещают в кювету. Устанавливают светофильтр, цвет которого близок к окраске исследуемого раствора в рассеянном свете. Если жидкость прозрачна и бесцветна, устанавливают зеленый светофильтр. Оба отсчетные барабана ставят на «0» и подбирают такой рассеиватель, при котором в окуляре левое фотометрическое поле будет несколько светлее правого. Вращением правого барабана уравнивают фотометрические поля по яркости и отсчитывают «кажущуюся» оптическую плотность.
СПИСОК ЛИТЕРАТУРЫ
1. Аналитическая химия. Химические методы анализа / под ред. О.М. Петрухина — М.: Химия, 1992
2. Безуглова О.С. Удобрения и стимуляторы роста. —Ростов-на-Дону: Феникс, 2000
3. Ключников Н.Г. Неорганический синтез: Учеб. пос. для студентов пед. ин-тов по хим. и биол. спец. — М.: Просвещение, 1983
4. Кореньков Д.А. Минеральные удобрения при интенсивных технологиях. М.: Агропромиздат, 1998
4. Литвак Ш.И. Фосфор на службе урожая / Пособие для учащихся.—М.: Просвещение, 1999
6. Орлова А.Н., Литвак Ш.И. От азота до урожая / Пособие для учащихся.— М.: Просвещение, 1999
7. Соколовский А.А., Унанянц Т.П. Краткий справочник по минеральным удобрениям. М., Химия, 1980
8. Удобрения минеральные. Методы испытаний: ГОСТ 21560.0-02, ГОСТ 21560.3-02, ГОСТ 21560.5-02, ГОСТ 21560.4-02. — М.: Издательство стандартов, 2003
9. Уманцев Я.З. Хозяйственные товары и бытовая химия: (Товароведение) : Учебник. — 2-е изд, переработ. — М.: Экономика, 1996
|