КУРСОВА РОБОТА
ЕКОНОМІЧНА ЕФЕКТИВНІСТЬ ПЕРЕРОБКИ МОЛОКА ТА ШЛЯХИ ЇЇ ПІДВИЩЕННЯ НА ПРИКЛАДІ ВАТ „ШИРОКІВСЬКИЙ СИРЗАВОД” ДНІПРОПЕТРОВСЬКОЇ ОБЛАСТІ
ЗМІСТ
ВСТУП
РОЗДІЛ 1. НАРОДНОГОСПОДАРСЬКЕ ЗНАЧЕННЯ ТА РОЗМІЩЕННЯ
ПЕРЕРОБКИ ПРОДУКЦІЇ
1.1 Народногосподарське значення та розміщення переробки молока
1.2 Сучасний рівень виробництва молочноїпродукції
1.3Основні показники економічної ефективності переробки молока
РОЗДІЛ 2. СУЧАСНИЙ РІВЕНЬ ЕКОНОМІЧНОЇ ЕФЕКТИВНОСТІ
ПЕРЕРОБКИ МОЛОКА НА ВАТ „ШИРОКІВСЬКИЙ СИРЗАВОД” ДНІПРОПЕТРОВСЬКОЇ ОБЛАСТІ
2.1Організаційновиробнича характеристика переробного підприємства
ВАТ «Широківський сирзавод»
2.2Забезпеченість ВАТ «Широківський сирзавод» основними виробничими
ресурсами та рівень їх використання
2.3Економічна ефективність переробки молока на ВАТ «Широківський
сирзавод»
2.4Фінансовий аналіз діяльності ВАТ «Широківськи сирзавод»
2.5Схема продовольчого руху продукції на ВАТ «Широківський
сирзавод»
РОЗДІЛ 3. ШЛЯХИ ПІДВИЩЕННЯ ЕКОНОМІЧНОЇ ЕФЕКТИВНОСТІ
ПЕРЕРОБКИ МОЛОКА
3.1Удосконалення технології переробки молока
3.2 Державне регулювання галузі
ВИСНОВКИСПИСОК ВИКОРИСТАНИХ ДЖЕРЕЛЛІТЕРАТУРИ
ДОДАТКИ
ВСТУП
Агропромисловий комплекс України дає 95% продовольчих ресурсів, а в загальноєвропейському поділі праці, займаючи 19,4% площі сільського сподарських угідь, в тому числі 27,3% ріллі,вона виробляє 11,6% – молока. Отже, потенціал сільського господарства ще не вичерпаний, оскільки питома вага ріллі значно вища від питомої ваги основних видів продукції.
Актуальність теми курсової роботи
полягає в необхідності оцінки причин, чому споживання молока та молокопродуктів з розрахунку на одного жителя України впало з рівня 373 кг/рік у 1990 році до рівня 246 кг/рік у 2000 році (при медичному нормативі 353 кг/рік).
Об’єкт дослідження курсової роботи
– «Щироківський сирзавод» Дніпропетровської області.
Предмет дослідження курсової роботи – е
кономічна ефективність переробки молока
Мети дослідження курсової роботи:
проаналізувати стан та динаміку розвитку сектору перероблення молока та виробництва молокопродуктів та його основних сегментів (виробництво, реалізація, імпорт, експорт, інвестиції тощо);
описати структуру виробництва у секторі, забезпечення сировиною та ресурсами; оцінити ефективність їх використання;
представити основних операторів ринку, визначити особливості конкурентного середовища та середню прибутковість виробництва за сегментами;
описати регуляторне середовище діяльності та стан запровадження стандартів якості сектору перероблення молока.
Інформаційні джерела –
фінансово звітність «Широківського сирзавода» Дніпропетровської області за 2004 2005 роки, матеріали статистичних досліджень по Україні.
РОЗДІЛ 1 НАРОДНОГОСПОДАРСЬКЕ ЗНАЧЕННЯ ТА РОЗМІЩЕННЯ ПЕРЕРОБКИ ПРОДУКЦІЇ
1.1 Народногосподарське значення та розміщення переробки молока
Сільськогосподарське виробництво є традиційною потужною галуззю української економіки. Родючі ґрунти, багаті традиції землеробства, сприятливий клімат, освідченні та працьовиті люди – все це є підґрунтям для того, щоб аграрний комплекс займав пріоритетне місце в економіці України, гарантував потреби населення в якісних і доступних продуктах харчування, забезпечував достойний рівень життя селянам та експортний потенціал держави.
Особливістю аграрного сектору країни є те, що він нині знаходиться в процесі трансформації від планової до ринкової економіки. Протягом 7–10 років в Україні було здійснено реформування відносин власності на землю та засоби виробництва. Внаслідок реалізації аграрної і земельної реформи за станом на 1 січня 2004 р. селянам та інших громадянам передано у власність і користування 36,2 млн. га сільськогосподарських угідь, у т.ч. 12,7 млн. га господарствам населення, з них 11 млн. га особистим селянським господарствам. Майже 4,9 млн. громадян одержали Державні акти на земельну власність. У складі сільськогосподарських підприємств тепер домінують недержавні підприємства (понад 98% їх загальної кількості). Створені та працюють ефективні сільськогосподарські підприємства та фермерські господарства, велика кількість продукції виробляється господарствами населення
Таблиця 1.1
Структура продукції сільського господарства, (%) [19]
| 1995
|
2001
|
2002
|
2003
|
2004
|
2005
|
| Продукція сільського господарства
|
100,0
|
100,0
|
100,0
|
100,0
|
100,0
|
100,0
|
| Продукція рослинництва
|
56,7
|
60,4
|
61,6
|
59,9
|
56,7
|
64,6
|
| Зернові культури |
20,9 |
19,5 |
28,3 |
27,3 |
15,8 |
28,5 |
| Технічні культури |
7,7 |
6,7 |
5,5 |
6,0 |
7,4 |
5,9 |
| Картопля, овочі та баштанні культури |
16,6 |
25,5 |
21,3 |
20,4 |
25,3 |
23,5 |
| Плодовоягідні культури та виноград |
3,7 |
4,2 |
3,0 |
3,1 |
4,9 |
3,7 |
| Кормові культури |
5,9 |
3,6 |
3,3 |
2,9 |
3,2 |
2,7 |
| Інша продукція та зміни обсягів незавершеного виробництва |
1,9 |
0,9 |
0,2 |
0,2 |
0,1 |
0,3 |
| Продукція тваринництва
|
43,3
|
39,6
|
38,4
|
40,1
|
43,3
|
35,4
|
| Худоба та птиця |
21,3 |
19,2 |
18,6 |
19,3 |
20,4 |
16,0 |
| Молоко |
16,9 |
15,0 |
14,5 |
15,0 |
16,2 |
13,9 |
| Яйця |
3,3 |
3,8 |
3,8 |
4,4 |
4,9 |
4,3 |
| Вовна |
0,1 |
0,0 |
0,0 |
0,0 |
0,0 |
0,0 |
| Інша продукція |
1,7 |
1,6 |
1,5 |
1,4 |
1,8 |
1,2 |
Господарства населення виробили 72,7% продукції тваринництва і 61,5% рослинництва у 2004 р., та відповідно 70,7% та 54,5% продукції у 2005. При цьому зростання ролі господарств населення досягнуто на фоні падіння виробництва у сільськогосподарських підприємствах.
Таблиця 1.2
Частка господарств населення у виробництві продукції сільського господарства, (%) [19]
| 1995
|
2001
|
2002
|
2003
|
2004
|
2005
|
| Продукція сільського господарства
|
44,9
|
62,0
|
58,7
|
59,8
|
66,0
|
60,3
|
| Продукція рослинництва
|
39,8
|
54,4
|
50,1
|
52,4
|
61,5
|
54,5
|
| Зернові культури |
8,1 |
18,4 |
20,3 |
24,0 |
27,9 |
24,2 |
| Цукрові буряки (фабричні) |
2,6 |
12,2 |
20,3 |
26,2 |
22,6 |
23,1 |
| Соняшник |
4,4 |
12,5 |
18,1 |
16,6 |
15,9 |
21,1 |
| Картопля |
95,8 |
98,6 |
98,4 |
98,6 |
98,6 |
98,7 |
| Овочі |
72,7 |
83,1 |
86,9 |
87,9 |
87,3 |
89,0 |
| Плоди та ягоди |
83,6 |
81,8 |
85,7 |
85,5 |
76,0 |
88,6 |
| Виноград |
26,5 |
30,0 |
33,0 |
37,8 |
35,8 |
43,2 |
| Продукція тваринництва
|
51,5
|
73,6
|
72,6
|
70,9
|
72,2
|
70,7
|
| М’ясо (у забійній вазі) |
51,7 |
73,7 |
76,8 |
72,9 |
69,3 |
68,5 |
| Молоко |
45,3 |
71,0 |
73,0 |
75,5 |
80,4 |
81,6 |
| Яйця |
55,6 |
66,2 |
61,9 |
55,9 |
56,1 |
53,7 |
| Вовна |
30,1 |
61,4 |
63,7 |
69,6 |
72,9 |
75,7 |
Виробництвом молочних продуктів в Україні займається 791 підприємство, з яких 100 є виробниками морозива. Розвиток виробництва супроводжується розширенням асортименту та розробкою інноваційних молочних продуктів.
Сектор перероблення молока та виробництва молокопродуктів включає декілька великих сегментів, а саме продукцію з незбираного молока, сири, масло тваринне, сухі молокопродукти, молочні консерви, казеїн та морозиво.
Різні сегменти сектору мають різну динаміку розвитку. Найбільші обсяги виробництва протягом досліджуваного періоду спостерігаються у сегменті продукції з незбираного молока (молоко рідке та кисломолочна продукція) та сегменті сиру.
Наразі приблизно 50% ринку займають дрібні виробники, а частина, що залишилась, розподілена між декількома основними гравцями, такими як: «Юнімілк Україна», «ВіммБілльДанн», «ЛакталісУкраїна», ТОВ «Молочний Дім», «Придніпровський молочний комбінат», «Рейнфорд».
Динаміка основних сегментів молочної продукції минулого (2005) року була такою.
а)
Оброблене рідке молоко
Найбільші обсяги у структурі виробництва молочних продуктів займає, рідкеоброблене молоко (стерилізоване, пастеризоване, пряжене тощо). У 2005 р. основнімолокопереробники (без урахування підприємств малого бізнесу) виробили близько 576тис. тонн стерилізованого й пастеризованого молока, що на 24% перевищило показники2004 р. (464,8 тис. т).
Близько 58% рідкого обробленого молока в 2005 р. було вироблено у Вінницькій, Київській (включаючи м. Київ), Дніпропетровській, Харківській і Полтавській областях.
За оцінками операторів ринку, найдинамічніше у 2005 р. у секторі рідкого обробленого молока працювали такі компанії як ВАТ «Галактон» (частка ринку рідкого молока 6%), ТОВ «Люстдорф» (5%), ВАТ «Літинський мол завод» (45%), ВАТ «Київський міськмолзавод №3», ВАТ «Горохівський сирзавод» (3%).
б)Кисломолочні продукти
Другим за значенням для українського ринку молокопродуктів є сегмент кисломолочних продуктів, на якому представлена така продукція як кефір, ряжанка,йогурти, сметана тощо. У 2005 р. українські виробники випустили близько 464,3 тис. Тоннкисломолочних продуктів, що на 9% перевищило показники 2004 року (2004 р. – 426,7тис. тонн).
У першому півріччі 2006 р. в галузі зберігається позитивна тенденція ростусегмента. Протягом січнятравня 2006 р. вітчизняні переробники вже виготовили близько201,2 тис. тонн кисломолочних продуктів, що на 7% перевищує показники аналогічногоперіоду 2005 р. (188,2 тис. тонн).
На загальному тлі виробництва кисломолочних продуктів зберігається стабільна тенденція росту обсягів випуску йогурту – в січнітравні 2006 року основними молокопереробними підприємствами вироблено 30,3 тис. тонн ароматизованого йогурту, що на 6% більше, ніж за аналогічний період 2005 р. (для порівняння, січеньтравень 2005 р. – 28,5 тис. тонн, січеньтравень 2004 р. – 25,5 тис. тонн).
Найбільшу питому вагу в структурі виробництва кисломолочних продуктів займаєкефір – близько 40%. У цьому сегменті також спостерігається стабільна тенденція донарощування обсягів випуску, причому виробники все більше приділяють увагу групібіокефіру. В 2005 р. вітчизняні молокопереробні підприємства виробили 185,5 тис. тоннкефіру, перевищивши показники попереднього періоду на 6% (175,8 тис. тонн).
Другим за значенням кисломолочним продуктом можна назвати сметану, питомавага якої в структурі виробництва склала 22% (або 103,1 тисяч тонн). В менших обсягахвиробляється ряжанка, питома вага цього чисто слов'янського молочного продукту взагальному обсязі кисломолочних продуктів оцінюється на рівні 11%, або 51,5 тис. тонн.
Для кисломолочних продуктів властива значна концентрація виробництва – в 2005 р. майже 58% потужностей було зосереджено в Харківській, Дніпропетровській, Донецькійі Полтавській областях, а також у столиці (2004 р. – 63%).
За оцінками операторів ринку, найдинамічніше в 2005 р. у сегменті кисломолочної продукції працювали такі підприємства як ВАТ «Галактон», ВАТ «Харківський молкомбинат», Молочна фабрика «Рейнфорд», ЗАТ «Донецький міськмолзавод №2», ЗАТ «ЛакталісУкраїна», питома вага яких у сумарному обсязі вироблених кисломолочних продуктів оцінюється на рівні 30%. Досить активно продовжують працювати над асортиментами й обсягами продукції, ВАТ «Кременчуцький гормолзавод», ЗАТ «Білосвіт Умань», ЗАТ «Перший Київський молокозавод», ТОВ «Молочний Дім», «Комбінат «Придніпровський», ВАТ «Київський міськмолзавод №3» та інші.
Кефір. Близько 40% у виробництві кисломолочних продуктів займає кефір. Для цієїпродукції характерне стабільне зростання попиту з боку населення, і в 2005 р. темпизростання виробництва склали близько 6% (в 2004 р. 4%), а обсяги виробництвазбільшилися до 185,5 тис. тонн (ароматизованого й неароматизованого) на суму близько$56 мільйонів.
Лідирують у цьому секторі столичні підприємства, на які торік припадало близько14% усього обсягу випущеного в Україні кефіру. Це пояснюється зосередженнямнайбільших молокопереробних підприємств у Києві – ВАТ «Галактон», ВАТ «Київськийміськмолзавод №3» («ВіммБілльДанн»), ЗАТ «Перший Київський молокозавод».
До переліку провідних регіонів за виробництвом кефіру в 2005 р. входять також Донецька (12%), Дніпропетровська (12%), Харківська (10%), Полтавська (9%) області, які в сукупності зі столицею виробили близько 57% кефіру (2004 р. – 61%), або 105 тис. тонн цієї продукції на суму $32,4 мільйона.
Триває скорочення підприємств, що роблять кефір. Якщо в 2004 р. налічувалосяпонад 215 підприємств, що випускають цей продукт, то в 2005 р. їхня кількістьскоротилася на 4050 компаній. Причому з ринку йдуть малопотужні підприємства, а такожзаводи, основний напрямок яких – виробництво сиру, масла. Треба відзначити, що з 180підприємств, що беруть участь у виробництві кефіру в 2005 р., тільки 45 виробляють від 10 до 22 тис. тонн у рік, ще близько 3035 заводів – від 1 до 10 тис. тонн.
Загалом, на думку операторів ринку, серед вітчизняних виробників кефіру лідируєВАТ «Галактон». Його питома вага у виробництві цієї продукції у 2005 р. оцінюється нарівні 11%, а разом із продукцією ВАТ «Кременчуцький міськмолзавод» становитьприблизно 18%. На друге місце в переліку виробників кефіру вийшла продукція Донецького ГМЗ №2 (7%), потіснивши ЗАТ «ЛакталісУкраїна», питома вага якого в сумарному обсязі склала близько 6%. Частка Молочної фабрики «Рейнфорд» і «Харківського молкомбіната» («Вімм БілльДанн») оцінюється по 5% відповідно.
Ряжанка. Близько 62% ряжанки виробляється на потужностях підприємств Донецької, Харківської, Дніпропетровської, Київської областей і м. Києва, а питома вага ряжанки в сумарному обсязі кисломолочних напоїв склала 11%, або 51,5 тис. тонн на суму $19 мільйонів (для порівняння, в 2004 р. – близько 47,4 тис. тонн). Питома вага цихрегіонів у вартості виробленої ряжанки загалом по Україні склала 63%, або близько $12мільйонів в оптововідпускних цінах.Темпи приросту виробництва ряжанки в 2004 р. склали 9%, перевищивши темпивиробництва кефіру. Тенденція росту, за прогнозами, буде втримуватися й в 20062007 роках, з огляду на стабільний попит на цей молочний продукт, у тому числі й на зростаючіобсяги виробництва біоряжанки.
Слід зазначити, що незважаючи на збільшення випускуряжанки в 2005 р., її питома вага в групі кисломолочної продукції втримувалась на рівні2004 р. – 11%. При цьому, як і в 2004 р., близько 3536% ряжанки виробляється на потужностях «Донецького ММЗ №2», «Харківського МКК», ВАТ «Галактон», ЗАТ «ЛакталісУкраїна» і ТОВ «Продукти України» (Донецька обл.), які очолюють п’ятірку провідних виробників ряжанки. За оцінками операторів, питома вага цих підприємств у сумарному обсязівиробленої ряжанки в 2004 р. склала 10%, 9%, 7%, 5%, 5% відповідно. Трохи зменшивсвої показники порівняно з 2004 р. великий виробник кисломолочної продукції – Молочна фабрика «Рейнфорд», збільшивши при цьому асортиментну лінійку інших молочнихпродуктів.
Йогурт. Одним з найпривабливіших молочних продуктів для виробників залишається йогурт, обсяги виробництва якого з року в рік зростають. Цей продукт, як ніякий інший із сегмента кисломолочних виробів, дає можливість задовольняти потреби ринку в розширенні асортиментів за рахунок використання різноманітних наповнювачів. В асортименті йогуртів переважає ароматизований йогурт або йогурт із фруктовими, горіховими, злаковими й іншими наповнювачами. Одночасно з ростом ароматизованого йогурту на ринку відзначається незначний спад виробництва натурального йогурту (безнаповнювачів). Відповідно до офіційної статистики, в 2005 р. українські молокопереробніпідприємства виробили 70,2 тис. тонн йогурту на суму близько $49 мільйонів,перевищивши показники попереднього року на 18% (2004 р. – 60 тис. тонн). При цьому іззагальної кількості виробленого йогурту близько 69,3 тис. тонн – ароматизований. Близько 76% виробництва ароматизованого йогурту в 2005 р. (приблизно 52 тис. тонн) було сконцентровано на підприємствах Харківської (21%), Дніпропетровської (20%), м. Києва (15%), Донецької (9%), Миколаївської (6%) і Полтавської (5%) областей.
Сметана. Сметана займає істотну частку в загальному обсязі виробництва кисломолочних продуктів. При цьому відзначається щорічний ріст обсягів її виробництва.За темпами зростання виробництво сметани посідає друге місце після йогурту. В 2005 р.українськими молокозаводами було випущено близько 103,1 тис. тонн сметани на суму$87 мільйонів в оптововідпускних цінах, що на 15% перевищило показники 2004 р. (89,8тис. тонн). Оскільки асортимент сметани складно розширити за рахунок якихнебудьнаповнювачів, то основні технологічні процеси стосуються переважно збільшення випускубіосметани, а також розширення різновидів пакування й брендування товару.
У переліку основних виробників сметани перші п’ять місць займають такі області:Дніпропетровська – 17%; Харківська – 9%; Донецька – 9%; Миколаївська – 8% і м. Київ –8%, питома вага яких у загальному обсязі виробництва сметани, за даними 2005 р.,склала близько 51% (близько 53,0 тис. тонн).
Переважно лідируючі позиції займають підприємства, що роблять сметану/біосметанутривалого зберігання. Лідерство утримують такі компанії як «Рейнфорд», холдинг«Юнімілк Україна» і «ЛакталісУкраїна», питома вага яких у сумарному виробництвісметани в 2005 р. відповідно склала 9%, 8,8% і 7%. Трохи нижчими є показникикомбінату «Придніпровський» 5%. Відносно рівномірно позиціонуються в рейтингупровідних виробників сметани такі підприємства як Харківський молкомбінат,Кременчуцький місьмолзавод і Перший Київський молокозавод – дані підприємства, заоцінками, сумарно виробили 12% української сметани в 2005 р. (по 4%).
Д)
Група кисломолочних сирів.
Однією з найпопулярніших у споживача груп молочнихпродуктів є сирна група. Ця група є також привабливою для виробників завдяки своїйвисокій рентабельності. Рентабельність сирної групи має високу залежність від якостісировини. Деякі великі компанії випускають сирки й сирні десерти із сепараторного сиру,на виробництво 1 тонни якого потрібно 56 тонн молока, тоді як на виробництвозвичайного сиру необхідно 78 тонн молока.
Група фасованих сирних мас містить у собі: традиційні 100грамові дитячі сирки, сирні десерти в стаканчиках з різноманітними добавками й інші фасовані сирні вироби. Найбільші потужності з випуску сирних мас розташовані в Миколаївській області, що пояснюється наявністю основної виробничої ділянки компанії «ЛакталісУкраїна», у виробничій програмі якої значне місце займають сирні десерти ТМ «Президент». Слід відзначити також Харківську область, де ключовими виробниками є «Харківський міськмолкомбінат» (власник компанія «ВіямБілльДанн», частка в обласному виробництві оцінюється в 6870%) і «Куп'янський МКК» (близько 30%).
Останнім часом в Україні спостерігається тенденція з розвитку виробництва
аерованих сирних десертів. Ця технологія дозволяє істотно збільшити терміни придатності,а це досить велика проблема під час реалізації сирної групи.
У сирну групу входять також сирні торти, сири зернисті, сири з фруктовими добавками.
е)Вершкове масло
У 2005 році спостерігалася активізація попиту на масло та сухі молочні продуктиукраїнського виробництва на зовнішніх ринках (експорт вершкового масла у 2005 р.збільшився майже у 2,5 рази порівняно з 2004 р.).
У 2005 р. основні виробники вершкового масла (без підприємств малого бізнесу)випустили 152,4 тис. тонн вершкового масла, перевищивши минулорічні показники на13%. Областілідери виробництва вершкового масла в Україні: Вінницька, Житомирська,Хмельницька, Сумська і Чернігівська, які разом випустили до 47% українськоговершкового масла.
Найбільші виробники – ВАТ «Тульчинський маслосирзавод» (ТМ «Тульчинка», лідер останніх 2 років, у 2004 році питома вага його продукції у загальному виробництві масла склала 9%); ВАТ «Роменський молкомбінат» (3%); ТОВ «Андрушівський маслосирзавод» (3%), ДП «Староконстянтинівський молочний завод» (2%), ВАТ «Решетилівський маслозавод» (2%).
1.2 Сучасний рівень виробництва молочної продукції
Сектор перероблення молока і виробництва молокопродуктів в України – це динамічний, швидко зростаючий ринок, відкритий для виробництва нових продуктів. Протягом З 2000 по 2005 рік – виробництво сектору характеризувавлось високими темпами росту; загальний приріст виробництва з 2000 по 2005 рік становив 130,1%.
Сири – один з найбільших за обсягом виробництва сегмент сектору. Виробництво сирів зорієнтоване як на внутрішній, так і на зовнішній ринок. Головний споживач на зовнішньому ринку – Росія (96,4% експорту сирів). Зростання обсягів виробництва сегменту з 2000 по 2004 рік становило 231,7%. У 2005 році обсяги виробництва дорівнювали 223,9 тис. т.
Найголовнішою проблемою сектору перероблення молока і виробництва молокопродуктів є низька якість сировини, а, відповідно, і виробленої продукції. Саме якість сировини є бар’єром для подальшого розвитку виробництва сектору та здійснення повноцінного експорту на західні ринки.
Зазвичай в секторі перероблення молока та виробництва молокопродуктів виділяються найбільш наповнені товарні категорії молочної продукції, а саме:
Продукція з незбираного молока
Сири
Тваринне масло та інші жири
Сухі молочні продукти
Молочні консерви
Казеїн, лактоза, сироватка
Морозиво
В табл..1.3 – 1.4 та на графіках рис.1.1 1.3 наведені показники виробництвва молока та молокопродуктів в Україні у 2003 – 2005 роках.
Таблиця 1.3
Характеристика ринку молока та молокопродуктів України

Таблиця 1.4
Виробництво основних груп молочних продуктів в Україні


Рис.1.1 Динаміка виробництва молока в Україні (2003 2005)

Рис.1.2 Динаміка виробництва молокопродуктів в Україні (2003 2005)


Рис.1.3. Показники експорту та імпорту молокопродуктів в Україні
в 2005 році.
1.3 Основні показники економічної ефективності переробки молока
Молоко
має найнижчу рентабельність у секторі лише 15% при виробництві ферментованих продуктів, пастеризованого молока для пиття, сиру свіжого неферментованого. Слід зазначити, що за період, який аналізується, середня рентабельність виробництва молока по Україні дещо зросла: у 2000 році вона мала від’ємний показник: мінус 6%, в 2001 – мінус 1,2%.
Сирки та сиркова маса
рентабельність виробництва глазурованих сирків сьогодні оцінюється на високому рівні від 30% до 40%, в залежності від виробника.
Кефір.
За експертними оцінками, рентабельність виробництва кефіру складає приблизно 12%.
Йогурти.
Найвищу рентабельність серед кисломолочних продуктів має виробництво йогурту 20%. Рентабельність виробництва йогуртів протягом періоду, що аналізується, оцінювалася по різному, наприклад у 2004 році вона складала від 8 до 15%.
Сир.
Товарна група сирів з низькою температурою другого нагріву («Російський», «Голландський», «Костромський») складає основу асортименту сирів в Україні і характеризуються рентабельністю у 10 12% за рахунок високої собівартості та великої пропозиції на ринку.
М’які та напівм’які сири виробляються, головним чином. із масовою часткою жиру 40, 45 и 50 %. Ці сири пропонуються дорожче та мають високу рентабельність. Деякі експерти називають цифри у 3040%, відзначаючи в цьому випадку пряму залежність від виду продукції, що виробляється.
На думку деяких експертів, період високої рентабельності будьяких видів сирів в Україні вже пройшов. Якщо у 2000 р. рентабельність цього бізнесу складала 30%, то сьогодні вона не вища за 10%.
Як показують експертні розрахунки, 80% в структурі собівартості сиру, наприклад, складає вартість сировини та енергоресурсу, заробітна плата – 10%. Для порівняння: в країнах ЄС ці витрати складають відповідно 50% та 3040%.
Існує низка факторів, які впливають на собівартість та рентабельність виробництва сиру:
проблеми з якісною сировиною;
великий попит на сировину з боку переробників, конкуренція на сировинних зонах (1015 заводів може претендувати на сировину в одній і тій самій зоні);
тверді сири мають певний термін дозрівання (від 30 днів і вище). Це означає, що цикл взаєморозрахунків в цьому бізнесі складає не менше двох місяців і потребує великого розміру обігових коштів.
Маргарин . В
середньому рентабельність виробництва м’яких маргаринів складає 1012%, що для висококонкурентного ринку є непоганим показником.
У табл.1.5. наведені розрахунки, які демонструють співвідношення витрат на виробництво різних видів продукції сектору.
За експертною оцінкою на суму витрат у виробництві продукції сектору впливає:
тип сировини, що використовується, Наприклад, для виробництва продукції сирнодесертної групи деякі компанії використовують сепараторний сир, на виробництво однієї тони якого необхідно 56 т молока, в той час як для виробництва звичайного свіжого сиру необхідно 78 т молока;
якість сировини, що використовується для виробництва;
сезонність виробництва сировини: зниження надоїв молока в осінньозимовий період призводить до зростання цін на молоко. Оскільки доходи населення не змінюються відповідно до сезону, ціни на готову продукцію залишаються сталими. В таких умовах невеликі підприємства галузі працюють із збитками, а великі – з мінімальною рентабельністю;
Таблиця 1.5
Співвідношення витрат на виробництво 1 тони деяких видів продукції молочної переробки у 2005 році (%)
| Найменування продукції |
Витрати на 1 т продукції, частка собівартості |
| Сировина |
Упаковка |
Компоненти |
Переробка |
Адміністративні витрати |
Собівартість |
| Сир «Російський» |
63,9 |
3,1 |
3,2 |
17,3 |
12,5 |
100,0 |
Масло тваринне
(жирність 72,5%)
|
53,5 |
6,8 |
___ |
31,6 |
8,1 |
100,0 |
| СОМ |
83,5 |
1,3 |
___ |
14,5 |
0,7 |
100,0 |
Сирна маса
(жирність 15%,
упаковка 0,25л)
|
61,2 |
6,1 |
12,4 |
15,5 |
4,8 |
100,0 |
Молоко пастеризоване
(жирність 2,5%,
1 л упаковкаплівка «Фінпак»)
|
60,0 |
13,1 |
___ |
19,0 |
7,9 |
100,0 |
Сметана
(жирність 15%,
0,5 л упаковкаплівка «Фінпак»)
|
70,3 |
7,3 |
1,7 |
14,4 |
6,3 |
100,0 |
вид продукції, що виробляється підприємством (наприклад, вартість сировини для виробництва сиру, складає 60–80% вартості кінцевого продукту);
використання при виробництві компонентів, які імпортуються;
упаковка (обсяг витрат залежить від виду продукції; наприклад, при виробництві молока довготривалого терміну вживання витрати на упаковку можуть складати до 15% структури витрат);
стан технічного оснащення виробництва застаріле обладнання підвищує собівартість молочної продукції через неефективне використання енергоресурсів;
рівень споживацької популярності/сприйняття торговельної марки: відомість ТМ сприяє збільшенню обсягів продукції, а завдяки цьому й підвищенню рентабельності.
Поголів’я КРС – 6,9 млн. голів
Молочне поголів’я – 3,95 млн. голів
|
|
 |
 |
| Молочні консерви і дитяче харчування |
|
|
|
|
|
|

Рис.1.4. Структура виробничого ланцюга молоко переробки (2005 рік)
РОЗДІЛ 2
СУЧАСНИЙ РІВЕНЬ ЕКОНОМІЧНОЇ ЕФЕКТИВНОСТІ
ПЕРЕРОБКИ МОЛОКА НА ВАТ „ШИРОКІВСЬКИЙ СИРЗАВОД” ДНІПРОПЕТРОВСЬКОЇ ОБЛАСТІ
2.1 Організаційновиробнича характеристика переробного підприємства
ВАТ «Широк
і
вський сирзавод»
Відкрите акціонерне товариство „Широківський сирзавод” (код за ЄДРПОУ 00445096) розташоване в смт. Миколаївка Широківського района Дніпропетровської обл., вул. Кооперативна, 2а.
Голова правління
Роєнко Вадим Валерійович, , з 03.09.04р. по теперішній час , (протокол спостережної ради ВАТ “Широківський сирзавод” № 30/8 від 30.08.04р) ідентифікаційний код 2788500233.;
Головний бухгалтер
Швидка Ірина Юріївна з 03.10.2005 року ( наказ про призначення №95К від 03.10.2005 року) по теперішній час , ідентифікаційний номер 2404621784.
Відкрите акціонерне товариство „ Широківський сирзавод „ (скорочено ВАТ „ Широківський сирзавод”) здійснює свою діяльність згідно зі Статутом , який зареєстровано 23.11.1995 р Широківською районною державною адміністрацією Дніпропетровської області Свідоцтво про державну реєстрацію від 22.11. 1995р, № 00445096, код форми власності 10 , підприємство працює без підпорядкованності.Підприємство взяте на податковій облік в Широківському відділенні Криворізької МДПІ 23.11.1995 року за № 14 .Підприємство зареєстроване платником ПДВ , має свідоцтво платника податку на додану вартість № 03863153, яке отримане 31липня 1997 року. Індивідуальний податковий номер платника ПДВ 004450904347.Статутний фонд на момент створення підприємства відповідно до установчих документів складає 75,25 тис.грн.В табл. 2.1 наведені дані про засновників ВАТ „ Широківський сирзавод” відповідно до установчих документів та виписок з реєстру станом на 01.01.2006 року.Таблиця 2.1
Засновники ВАТ „Широківський сирзавод”
| № з/п |
Код за ЄДРПОУ/
ідентифікаційний номер
|
Назва/П.І.Б. |
Частина в статутному фонді тис.грн. |
Частина в статутному фонді % |
| 1 |
31913147 |
ТОВ “Укрсирінвест” |
51,500 |
68,5 |
| 2 |
2678105011 |
Афанасьєв В’ячеслав Віталійович |
2,500 |
3,3 |
| 3 |
Інші фізичні особи |
21,250 |
28,2 |
| ВСЬОГО |
75,250 |
100 |
Таблиця 2.2
Види господарської діяльності ВАТ „Широківський сирозавод”
| Види діяльності |
Чинним законодавством не передбачено отримання ліцензії |
Ліцензії на право здійснення господарських операцій |
Назва органу, що видав ліцензію
(дата видання, номери, термін дії)
|
15.51.0 Виробництво молочних продуктів;
51.33.0 Оптова торгівля молочними продуктами.
|
Чинним законодавством не передбачено отримання ліцензії |
На підприємстві ведеться робота по удосконаленню організації праці та підвищенню стимулюючої ролі заробітної плати. Так, середньомісячна заробітна плата за 2005 склала 324 грн, що на 42% більше ніж за 2004 рік. У структурі фонду спожівання 84,1% становила основна заробітна плата ( оплата по тарифам, окладам, відрядним розцінкам); 15,1% додаткова заробітна плата ; 0,8 % інші заохочувальні виплати (табл.2.3).
Для виконання робіт по випуску продукції у перевіряємому періоді було задіяно 100% штатної кількості працівників.
Таблиця 2.3
Чисельність працівників та рівень заробітної плати в ВАТ „Широківський сирзавод” у 2004 2005 роках
| Посада по штатному розкладу |
Чисельність в чол.
|
Середньомісячна з/плата за 2005 рік |
Середньомісячна з/плата за 2004 рік |
Заборгованість по з/платі |
| 2004 |
2005 |
| 1.АУП |
9 |
9 |
341 |
285 |
0 |
| 2.сиророби |
9 |
9 |
295 |
217 |
0 |
| 3.формувальник |
2 |
2 |
274 |
199 |
0 |
| 4.робочі |
4 |
2 |
334 |
269 |
0 |
| 5.маслороб |
2 |
2 |
292 |
198 |
0 |
| 6.майстер |
1 |
1 |
300 |
249 |
0 |
| 7.лаборант |
3 |
3 |
357 |
219 |
0 |
| 8.охоронець |
3 |
3 |
380 |
220 |
0 |
| 9.машиніст компресорних установок |
2 |
2 |
315 |
152 |
0 |
| 10.машиніст холодильних установок |
1 |
2 |
373 |
234 |
0 |
| 11.кочегар |
1 |
2 |
263 |
243 |
0 |
| 12.водій |
3 |
3 |
339 |
267 |
0 |
| 13.слюсар |
4 |
3 |
353 |
203 |
0 |
| Всього |
43 |
40 |
324 |
227 |
0 |
З наведених данних табл.2.3 видно, що в 2005р. заробітна плата збільшилась у всіх категорій робітників, але вона не відповідає прожитковому рівню працездатної особи, встановленому на 2005 рік в законодавчому порядку, а САме 453грн. на місяць
2.
2
Економічна ефективність переробки молока на
ВАТ «Широк
і
вський сирзавод»
За 2005 рік ВАТ “ Широківський сирзавод” наростив виробництво сиру жирного на 2,3 тони проти обсягів 2004 року, або на 102,3 % , проте за видами продукції (табл.2.4):
виробництво сиру „Голандський” скорочено на 17,1 тони, або на 14,4 %;
виробництво сиру „Львівський” скорочено на 16,3 тон, або на 69,4%;
виробництво сиру „Костромський” скорочено на 3,7 тон, або на 24,2 %;
виробництво сиру „Буковинський” збільшено проти рівня минулого року в 5,8 разів, це пояснюється підвищеним попитом покупців на сир „Буковинський” .
Таблиця 2.4
Порівняльна таблиця виробництва та реалізації сиру та вершкового масла в ВАТ „Широківський сирзавод” у 2004 2005 роках
| №пп |
Назва продукції |
Кстьтонн |
2004 рік |
2005 р ік |
Ріст обсягів виробництва |
| Вироблено |
Реалізовано |
Вироблено |
Реалізовано |
| Абсолютне (гр.6 – гр. 4 ) |
Відносне в % (гр.6/: гр.4 ) |
| 1. |
СИР ТВЕРДИЙ –всього
( жирний), в т.ч.
|
Тонн |
127,2 |
126,4 |
129,5 |
108,5 |
+2,3 |
102,3 |
| 2. |
Голандський
|
Тонн |
81,3 |
74,4 |
69,6 |
56,9 |
11,7 |
85,6 |
| 3. |
Львівський
|
Тонн |
23,5 |
23,5 |
7,2 |
7,6 |
16,3 |
30,6 |
| 4. |
Костромський |
Тонн |
15,3 |
18,4 |
11,6 |
14,6 |
3,7 |
75,8 |
| 5. |
Буковинський |
Тонн |
7,1 |
11,1 |
41,1 |
29,4 |
+34,0 |
578, 8 |
| 6. |
МАСЛО |
Тонн |
13,1 |
13,1 |
12,4 |
10,5 |
0,7 |
94,6 |
| 7. |
Сир ( нежирний) |
Тонн |
9,4 |
9,4 |
6,0 |
3,8 |
3,4 |
63,8 |
Таблиця 2.5

Існуючий попит на продукцію , що випускає підприємство дозволяє на протязі року забеспечити завантаженість виробничих потужностей та забезпечити населення смт. Миколаївка роботою.
Закупівля молока здійснювалась безпосередньо у фізичних осіб. Доставка молока здійснюється власними силами та власним автотранспортом приватного підприємця Ковтун Л.В. (іден.код2065807783, с.Володимірівка, Казанківського району Миколаївській області). Молоко закуповувалось у физичних осіб Миколаївській та Дніпропетровській областей. Підприємством з метою найменших втрат якості молока розроблялись найбільш раціональні та ефективні маршрути, дотримувались вимоги температурного режиму.
Закупівля молочної сировини здійснюється з оформленням розрахункової книжки на молочну сировину, яка закуплена в населення. Для проведення розрахунків з населенням складаються приймально розрахункові відомості на видачу грошей за закуплене молоко в населення за договірною ціною та відомості на видачу дотаційних коштів згідно розрахунку.
Стан якості виготовленої продукції
контролюється відповідністю стандартам України для наступних видів твердих сирів:
1. Сир твердий Буковинський (45% жирності ) ДОСТ РСТ УССР 179983
2. Сир твердий Голандський (45% жирності ) ДОСТ761685
3. Сир твердий Львівський ( 40% жирності) ДОСТ761685
4. Сир твердий Костромський ( 45% жирності) ДОСТ761685
Таблиця 2.6

2.
3
Забезпеченість
ВАТ «Широк
і
вський сирзавод»
основними виробничими ресурсами та рівень їх використання
В табл.2.7 – 2.8 наведена динаміка та структура показників забезпеченості
ВАТ «Широківський сирзавод" основними виробничими ресурсами.
Таблиця 2.7

Таблиця 2.8

2.4 Фінансовий аналіз діяльності
ВАТ «Широк
і
вський сирзавод»
Фінансовий стан підприємства характеризується розміщенням і використанням засобів (активів) і джерелами їхнього формування (власного капіталу і зобов'язань, тобто пасивів) [8]. Ці дані представлені в балансі підприємства (табл. 2.9).
Основними факторами, що визначають фінансовий стан, є, поперше, виконання фінансового плану і поповнення в міру виникнення потреби власного оборотного капіталу за рахунок прибутку і, подруге, швидкість оборотності оборотних коштів (активів). Сигнальним показником, у якому виявляється фінансовий стан, виступає платоспроможність підприємства, під якою мають на увазі його здатність вчасно задовольняти платіжні вимоги постачальників техніки і матеріалів відповідно до господарських договорів, повертати кредити, робити оплату праці персоналу, вносити платежі в бюджет. Оскільки виконання фінансового плану в основному залежить від результатів виробничої і господарської діяльності в цілому, то можна сказати, що фінансове положення визначається всією сукупністю господарських факторів, є найбільш узагальнюючим показником. Отже, Звіт про фінансові результати і їхнє використання також залучається для аналізу фінансового стану [10].
В табл.2.9 – 2.10 наведені результати індексного “горизонтального” аналіза показників динаміки змін характерних статей агрегатів балансу підприємства у 2004 – 2005 роках та результати структурного („вертикального”) аналізу відносних часток структури балансу.
Таблиця 2.9
Аналіз динаміки активів та пасивів ВАТ „Широківський сирзавод” балансу за 2004 2005 роки ( тис. грн.)
| Найменування статей |
Код рядка балансу |
На 31.12.2004р. |
На 31.12.05р. |
Приріст статті |
| Абсолютна величина, тис.грн. |
Відн. Величина, % |
Абсолютна величина, тис.грн. |
Відн. Величина, % |
Абсолютна величина, тис.грн. |
Відн. Величина, % |
| АКТИВИ БАЛАНСУ
|
| Основні засоби та немат.активи |
010+030 |
92,7 |
37,0 |
125,3 |
24,6 |
32,6 |
+35,2 |
| Всього розділ 1 |
080 |
92,7 |
37,0 |
125,3 |
24,6 |
32,6 |
+35,2 |
| Запаси та готова продукція |
100+110+120+130+140 |
68,8 |
27,5 |
300,3 |
58,9 |
231.5 |
+336,5 |
| Дебіт.заборгованість |
150+160+170+180+190+200+210 |
81,1 |
32,4 |
60,9 |
11,9 |
20,2 |
24.9 |
| Грошові кошти та їх еквівал. |
230+240 |
5,1 |
2.0 |
11,3 |
2,2 |
6,2 |
+121,6 |
| Інші оборотні активи |
250 |
0 |
0 |
12,0 |
2,4 |
12.0 |
+100,0 |
| Всього по розділу 2 |
260 |
155,0 |
61,9 |
384,5 |
75,4 |
229,5 |
+148,1 |
| Всього по розділу 3 |
270 |
2,5 |
1,0 |
0 |
0 |
2,5 |
100,0 |
| Баланс (активи) |
280 |
250,2 |
100 |
509,8 |
100 |
259,6 |
+103,8 |
| ПАСИВИ БАЛАНСУ
|
| Власний капітал
|
| Статутний капітал |
300 |
75,7 |
30,3 |
75,7 |
14,8 |
0 |
0 |
| Пайовий капітал |
310 |
| Інший додатковий капітал |
330 |
86,2 |
34,4 |
86,2 |
16,9 |
0 |
0 |
Непокритий збиток
Або прибуток
|
350 |
13,3 |
5,3 |
109,4 |
21,4 |
96,1 |
722,5 |
| Всього по розділу 1 |
380 |
148,6 |
59,4 |
52,5 |
10,3 |
96,1 |
64,7 |
| Залучений поточний капітал в розрахунках
|
| Поточні зобов’язання за розрахунками з одержання авансу |
530 |
32,6 |
13,0 |
177,1 |
34,7 |
135.4 |
+ |
| З бюджетом |
550 |
7,6 |
3,7 |
6,0 |
1,2 |
1.6 |
1.9 |
| Зі страхування |
570 |
0,5 |
0,2 |
8,9 |
1,7 |
8.4 |
+1.5 |
| Оплати праці |
580 |
15,5 |
6,2 |
15,0 |
2,9 |
05 |
3.3. |
| Інші поточні зобов”язання |
610 |
45,4 |
18,1 |
250,3 |
49,1 |
204.9 |
+30.59 |
| Всього по розділу 4 |
620 |
101,6 |
40,6 |
457,3 |
89,7 |
355.6 |
+49.09 |
| Баланс(пасиви) |
640 |
20,2 |
100 |
509,8 |
100 |
259.6 |
0 |
Таблиця 2.10
„Горизонтальновертикальний” статистичний аналіз динаміки статей балансу ВАТ „Широківський сирзавод”

Продовження табл.2.10


Рис. 2.1 Динаміка структурних часток джерел пасивів балансу ВАТ „Широківський сирзавод”

Рис. 2.2 Динаміка структурних часток агрегатів активів балансу ВАТ „Широківський сирзавод”
Фінансовомайновий стан ВАТ “Широківський сирзавод” характеризується такими показниками:
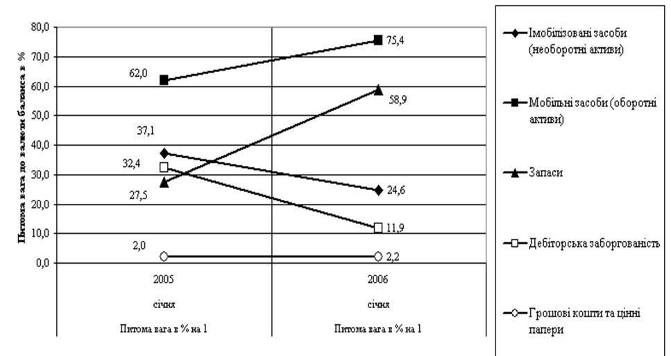
загальна вартість майна підприємства, яка дорівнює підсумку активу балансу (рядок 280) становить 250,2 тис. грн. на 31.12.2004 року та 509,8 тис. грн. на 31.12.2005р., збільшилась на 259,6 тис. грн. або в2,04 рази;
вартість необоротних коштів (активів), яка дорівнює підсумку першого розділу активу балансу (рядок 080) становить 97,2 тис. грн. на 31.12.2004 року та 125,3 тис. грн. на 31.12.2005р., збільшилась на 28,1 тис. грн. або в 1,29 раза, при цьому структурна частка необоротних активів в валюті балансу зменшилась з рівня 37,1%(2004) до рівня 24,6%(2005);
вартість мобільних (оборотних) активів – сума підсумків другого і третього розділів активу балансу (рядок 260 + рядок 270) становить 155,0 тис. грн. на початок року та 384,5 тис. грн. на 31.12.2005 року, збільшилась на 229,5 тис. грн., або в 2,48 раза, при цьому структурна частка оборотних активів в валюті балансу збільшилась з рівня 62,0%(2004) до рівня 75,4%(200%).
Аналіз вищевказаних показників свідчить про збільшення підприємством господарського обороту, що в цілому є позитивним явищем.
Загальна кількість обладнання, яке використовується у виробництві сиру та вершкового масла складає 22 одиниці на суму 98,6 тис.грн., віковий склад яких від 5 до 10 років. У квітні 2005 року придбана одна вакуумупакувальна машина .Коефіцієнт зносу основних фондів
характеризує стан та ступінь зносу основних засобів, який становить 0,836, або 83,6 % вартості основних засобів. Коефіцієнт придатності основних засобів складає 0,164
, щосвідчить про фізичний та моральний знос основних засобів. Це не дозволяє підприємству впроваджувати випуск нових видів продукції, підвищити ефективність виробництва.В табл.2.11 – 2.12 наведені результати індексного “горизонтальноговертикального” аналіза показників динаміки змін характерних статей звіту про фінансові результати підприємства у 2004 – 2005 роках.
Таблиця 2.11Аналіз фінансових показників ВАТ „Широківський сирзавод” за 2004 2005 роки| Показники |
2004 рік, тис.грн |
2005 рік, тис.грн |
Темпи росту % |
| Чистівалові доходи |
958,8 |
1461,2 |
152,4 |
| Собівартістьреалізованої продукції |
912,4 |
1424,0 |
156,1 |
| Питома вага витрат у виручці, % |
95,2 |
97,4 |
102,3 |
| Валовий прибуток |
46,4 |
37,2 |
80,2 |
| Інші операційні доходи |
0 |
0 |
0 |
| Адміністративні витрати |
33,0 |
97,1 |
294,2 |
| Витрати на збут |
6,2 |
31,7 |
511,3 |
| Інші операційні витрати |
4,4 |
11,4 |
259,1 |
| Прибуток від опер. Діяльності |
2,8 |
103,0 |
3678,0 |
| Прибуток від звичайної діяльності |
2,8 |
109,4 |
3907,1 |
| Чистий прибуток |
1,5 |
109.4 |
7293,3 |
| Витрати
|
| Операційних витрат всього |
956,0 |
1642,3 |
171,8 |
В тому числі
Матеріальні витрати
|
834,7 |
1416,1 |
169,6 |
| Витрати на оплату праці |
76,1 |
114,1 |
149,9 |
| Відрахування на соц заходи |
28,9 |
42,6 |
147,4 |
| Амортизація |
6,5 |
13,3 |
200,4 |
| Платежі до бюджету
|
| ПДВ |
7,3 |
2,7 |
4,6 |
| Податок на прибуток |
4,3 |
5,8 |
+1,5 |
| Всього до державного бюджету |
11,6 |
8,5 |
3,1 |
| Плата за землю |
3,0 |
3,0 |
0 |
| Місцеві податки та збори |
0,7 |
0,8 |
0,1 |
| Податки з власників транспортних засобів |
0,8 |
1,0 |
0,2 |
| Збір за забруднення навколишнього середовища |
0,6 |
0,6 |
0 |
| Всього до місцевого бюджету |
5,1 |
5,4 |
0,3 |
| Всього податків та зборів |
16,7 |
13,9 |
2,8 |
За 2005 рік отримано чистого доходу (виручки) від реалізації продукції в сумі 1461,2 тис.грн., що на 502,4 тис.грн., або на 52,4% більше рівня 2004 року. Собівартість реалізованої продукції за 2005 рік склала 1424,0 тис.грн. що на 511,6 тис.грн. або на 56,1% більше в порівнянні з 2004 роком. При цьому питома вага витрат у виручці у 2005 році на 2,2 % більша рівня минулого року, що пояснюється, в основному, збільшенням витрат на придбання молока, паливномастильних матеріалів, запчастин , збільшенням витрат на транспортні послуги, витрат на збут. Крім того, темп росту собівартості випереджає темп росту чистого доходу на 3,7 %, що свідчить про неефективність ( збитковість) ведення господарчої діяльності підприємством. Так, за даними бухгалтерського обліку за 2005 рік отримано збитків 103,0 тис.грн.
Проведеним аналізом елементів операційних витрат за 2005 рік встановлено, що загальна сума витрат складає 1642,3 тис.грн., з них :- матеріальні затрати складають 1416,1тис.грн., або 86,2%, в тому числі з матеріальних витрат витрати на придбання молока 1240,4 тис грн , або 87,6% обсягу матеріальних витрат; витрати на заробітну плату та соціальні заходи – 156,7 тис.грн., або 9,5 %; амортизація 13,3 тис.грн , або 0,8%; інші операційні витрати (витрати на відрядження, транспортні послуги та послуги банку) – 56,2 тис.грн., або 3,5%.За 2005 рік питома вага витрат в порівнянні з 2004 року змінилась , так в основному збільшились матеріальні витрати на 69,6 %( це пояснюється підвищенням закупівельної ціни на молоко), збільшились витрати на транспортні послуги , в зв”язку з розширенням зони закупки молока у населення та подорожчанням паливномастильних матеріалів, збільшились витрати на оплату праці та соціальні відрахування на 49,0 %.
Таблиця 2.12
„Горизонтальновертикальний” статистичний аналіз динаміки статей звіту про фінансові результати ВАТ „Широківський сирзавод”

Рис.2.3. Динаміка змін доходів та собівартості продукції в ВАТ ”Широківський сирзавод” у 2004 – 2005 роках
У додатку А наведені алгоритми розрахунку показників діяльності підприємства [12] – рентабельності, фінансової стійкості, ліквідності підприємства з використанням балансових звітів [9] та звітів про фінансові результати діяльності підприємства [10]. Результати програмних розрахунків вказаних коефіцієнтних показників в середовищі „електронних таблиць” EXCEL2000 наведені в табл. Б.1 Б.7 Додатку Б. Одночасно в табл. Б.1 Б.7 наведені результати індексного „горизонтального” аналізу динаміки змін показників у 2005 році відносно базового рівня 2004 року.
Для проведення підсумкового аналізу економічної діагностики стану ВАТ „Широківський сирзавод” результати розрахунків представлені у вигляді графіків на рис. 2.4 – 2.7.

Рис. 2.4. Динаміка показників ліквідності в ВАТ „Широківський сирзавод” у 2004 2005 роках

Рис.2.5. Динаміка показників рентабельності в ВАТ „Широківський сирзавод” у 2004 2005 роках

Рис.2.6. Динаміка показників ділової активності – оборотності основних оборотних агрегатів активів та пасивів балансу в ВАТ „Широківський сирзавод” у 2004 2005 роках

Рис.2.7. Динаміка показників фінансової стійкості по покриттю запасів в ВАТ „Широківський сирзавод” у 2004 2005 роках
Як показав спільний аналіз результатів розрахунків показників діяльності та фінансового стану ВАТ „Широківський сирзавод”, наведених в табл.Б.1 Б.6 Додатку Б та на графіках рис. 2.4 – 2.7:
1.Підприємство у 2005 році є неліквідним за всіма показниками загальної ліквідності, строкової ліквідності та абсолютної ліквідності. При цьому стан з ліквідністю у 2005 році значно погіршився відносно базового 2005 року, в якому показники загальної ліквідності та строкової ліквідності знаходилися в нормативному діапазоні;
2.При великих збитках 2005 року на підприємстві склався кризовий стан з фінансовою стійкістю по покриттю запасів, оскільки весь власний капітал підприємства вкладений в основні засоби та фонд покриття збитків діяльності, а джерелом покриття запасів є тільки поточні кошти в розрахунках.
3.Рівень ділової активності, характеризуємий оборотністю оборотних активів, у 2005 році знизився на 25 – 45%, тобто при нарощуванні обсягі виробництва у підприємства виникли проблеми з реалізацією продукції та потужністю обладнання, про що свідчить нарощення обсягів незавершенного виробництва та готової продукції на складах
2.5 Схема продовольчого руху продукції на
ВАТ «Широк
і
вський сирзавод»
В табл.2.13 – 2.14 представлені основні покупці замовники продукції та підприємства – постачальники сировини та матеріалів для виробництва сирів на ВАТ „Широківський сирзавод”. В табл.2.15 представлені основні конкуренти – виробники сиромолочної продукції по Дніпропетровській області. Таблиця 2.13Основні покупці – замовники продукції ВАТ „Широківський сирзавод”| №пп |
Назва підприємства |
КОД |
Назва продукції |
| 1. |
ВАТ „ Північний ГЗК”м.Кривий Ріг |
00191023 |
Сир, вершкове масло |
| 2 |
ВАТ „ Криворіжсталь”м.Кривий Ріг |
24432974 |
Сир, вершкове масло |
| 3 |
ТОВ “ Атекс” м. Харків |
32135041 |
Сир |
| 4 |
ЗАТ “ Сосницький сирзавод” м.Сосниця Чернігівської області |
30041580 |
Сир |
| 5 |
ТОВ “ Екологічні продукти” м.Київ |
30727087 |
Сир |
Таблиця 2.14Основні постачальники сировини для ВАТ „Широківський сирзавод”| №пп |
Назва підприємства |
КОД |
Назва ТМЦ |
| 1. |
Фізичні особи |
Молоко |
| 2 |
ТОВ „ Трейд –ПАК” м.Київ |
32384857 |
Паковочний матеріал ( пакети) |
| 3 |
ТОВ “ Пріма –Вера ПАК”м.Київ |
32848962 |
Паковочний матеріал ( пакети) |
| 4 |
ЗАТ “ Жовтоводськ АРАКС” м. Жовті Води. |
33286701 |
Сіль,сода |
| 5 |
ПП ОктанПринт” м.Дніпропетровськ |
24601069 |
Етикетки |
Таблиця 2.15Перелік конкурентів – виробників сиромолочної продукції дляВАТ «Широківський сирзавод” у Дніпропетровській області В табл.2.16 проведений аналіз ціноутворення в ВАТ „Широківський сирзавод”, яке спеціалізувалось на виробництві і реалізації твердих сирів та вершкового масла.Ціни на сир та вершкове масло не регулюються державою, тобто є вільними. Рівень вільних цін регулюються лише механізмом попиту та пропонування продукції. Ціни на сир та вершкове масло складаються на договірних умовах в залежності від вимог замовника стосовно кількості та виду продукції . При укладенні договорів замовником обумовлюєтьсяякість відвантаженої продукції, номенклатура, форма та термін розрахунку (табл.2.16).
Таблиця 2.16
Порівняльна таблиця середньої собівартості 1 тони твердого сиру за вересень місяць 2004 року та 2005 року
| №пп |
Статі витрат |
Вересень 2004 р. |
Вересень
2005 р.
|
Ріст показника
(+,)
|
| грн |
% частка |
грн |
% част
ка
|
Абсолютний
грн
|
Відносний % |
| 1 |
Сировина (молоко) |
4057 |
51,4 |
9050 |
66,9 |
+4993 |
+223,0 |
| 2 |
Допоміжні матеріали (ферменти,пакети та інше) |
547 |
6,9 |
706 |
5,2 |
+159 |
+129,1 |
| 3 |
Заробітна плата з нарахуваннями |
1317 |
16,6 |
1096 |
8,1 |
221 |
116,7 |
| 4 |
Паливо, електроенергія |
456 |
5,7 |
400 |
3,1 |
56 |
112,3 |
| 5 |
Загальногосподарські витрати |
1192 |
15,1 |
1682 |
12,4 |
+490 |
+125,5 |
| 6 |
Загальновиробничі витрати |
321 |
4,0 |
601 |
4,4 |
+280 |
+187,2 |
| 7 |
ВСЬОГО (собівартість 1 тони сиру) |
7890 |
100 |
13535 |
100 |
+5645 |
+171,5 |
| Прибуткова націнка в % |
0,78 |
1,1 |
| Середня відпускна ціна з націнкою |
7951 |
13684 |
| Середня відпускна ціна з націнкою та ПДВ(20%) |
9542 |
16421 |
Як показано в табл.2.16 середня собівартість одної тони сиру виросла з 7890 грн. (у 2004 році) до 13535 грн.(у 2005 році), Це пов”язано з підвищенням ціни на молоко з 4050 коп за 1л у вересні 2004 року до 8595 коп за 1л у вересні 2005 року. Збільшилась також вартість транспортних послуг майже в два рази, що пов”язано з ростом цін на паливномастильні матеріали, запчастини.
Договірна відпускна цінаодної тони твердого сиру з ПДВ (20%) в вересні 2004 року становила (9340 грн10000 грн) за 1 тону , а в вересні 2005 року ( 16235 грн 16866 грн.) за 1 тону.
Відпускна ціна (середня) одної тони твердого сиру в вересні 2004 року становила в середньому 9542 грн./тону, тобто прибуткова націнка складала складає 0,78%, в вересні 2005 року ( 16421 грн/тону), тобто прибуткова націнка складає 1,1 %. Підприємство не визначає ціну на види сирів окремо. Ціна визначається в середньому як на твердий сир.
Враховуючи, що рознічні ціни (з ПДВ) на тверді сири ВАТ „Широківський сирзавод” в магазинах м.Дніпропетровська становили у вересні 2005 року 23,0 – 24,5 грн./кг, прибуток посередника між заводом та кінцевим споживачем оцінюється в 24 – 25 % (з врахуванням 50% витрат на транспортировку та підготовку до продажу), тобто як мінімум в 10 разів більше прибутковості завода.

Рис.2.8. Схема товарногрошових потоків при організації діяльності ВАТ „Широківський сирзавод”
РОЗДІЛ 3 ШЛЯХИ ПІДВИЩЕННЯ ЕКОНОМІЧНОЇ ЕФЕКТИВНОСТІ ПЕРЕРОБКИ МОЛОКА
3.1 Удосконалення технології пере
р
обки молока
На даному етапі молочний комплекс України і його фундамент сировинна база знаходиться в складному економічному становищі. Різке скорочення виробництва молока в державному секторі є однією з основних причин сировинних проблем у молокопереробників. Багато підприємств позбавилися сировинної зони або залишилися без необхідного об’єму молочної сировини, простоюють, чи працюють не на повну потужність, що веде до деградації промисловості. Існує проблема збору фермерського і “індивідуального” молока, доставки його на великі переробні підприємства та раціональної переробки з використанням сучасних методів і машинних технологій.
Для рентабельного збору “індивідуального” молока необхідно вивчити і розвинути вітчизняний та закордонний досвід постачання молока на заводи, ознайомити з ним фахівців, підібрати необхідне устаткування, налагодити систему контролю якості, розробити організацію, прийоми роботи і технології збору молока. Якість готової продукції в значній мірі визначається якістю вихідної сировини, однак, вона як і раніше залишається серйозною проблемою. Всі основні показники молока, що включають бактеріальне обсіменіння, ступінь чистоти, кислотність, характеризують у більшому чи меншому ступені низьку його якість і технологічність. Фізичні властивості молока також мають ряд істотних недоліків. Особливе занепокоєння викликають вкрай низькі показники по густині (менш 1027кг/м3) і вміст білка, особливо весною. У результаті підприємства одержують на переробку молоко, з якого складно виробляти тверді сири, продукти дитячого харчування, стерилізовані молочні продукти високої якості. Аналіз тенденцій розвитку сировинної бази показує, що подібне положення справ у найближчі роки збережеться [11].
Вимоги у ДСТУ на молоко дещо відрізняються від вимог Ради Європейської Спільноти. Так, для виробництва продуктів на молочній основі кількість мікроорганізмів повинна бути менш ніж 100 тис./см3. Доведено, що високий вміст соматичних клітин в молоці змінює його фізикохімічні показники та технологічні властивості, негативно впливає на смакові якості, знижує масову частку сухих речовин в молоці до 10% [16]. Радою Європейської Спільноти висуваються жорсткіші вимоги щодо зберігання молока, а саме, при заготівлі молока протягом дня температура охолодження повинна бути 6о
С, при транспортуванні 10о
С.
Термізація – це нагрівання сирого молока при температурі 5768о
С протягом 15 секунд таким чином, щоб після обробки молоко мало позитивну реакцію на фосфатазу (з директив Ради Європейської Спільноти). Підтвердженням позитивного впливу термізації на властивості молока є дослідження, що проведені в Росії й інших країнах, у тому числі в Україні. Термізоване охолоджене молоко можна зберігати до переробки більше двох діб. Термізація в значній мірі пригнічує розвиток психротрофних бактерій і дозволяє зберігати молоко при температурі 5о
С до 3 діб. Але пастеризація сирого молока після зберігання менш впливає на формування згустків кисломолочних продуктів в порівнянні з пастеризацією термізованого молока.
Згідно з галузевим стандартом України «МОЛОКО КОРОВ'ЯЧЕ НЕЗБИРАНЕ. ПЕРВИННЕ ОБРОБЛЕННЯ, ЗБЕРІГАННЯ І ТРАНСПОРТУВАННЯ. ОСНОВНІ ВИМОГИГСТУ 46.0692003» з 2004 року в Україні впроваджені наступні вимоги до технологічних процесів:
1. Первинне оброблення і зберігання молока у молочарнях залежно від прийнятої технології здійснюють за такими схемами:
Схема 1 очищення молока фільтруванням, охолодження і зберігання в молочних флягах у басейнах з проточною водою або льодовосольовою сумішшю;
Схема 2 очищення молока фільтруванням, охолодження і зберігання в резервуарахохолоджувачах;
Схема 3 очищення молока фільтруванням у потоці, попереднє охолодження у молокопроводі доїльної установки або пластинчастому охолоджувачі проточною водою до (16 ± 1)° C, остаточне доохолодження і зберігання молока здійснюється у резервуарахохолоджувачах;
Схема 4 очищення молока фільтруванням, охолодження у пластинчастому охолоджувачі, зберігання в резервуарахохолоджувачах;
Схема 5 очищення молока відцентровим молокоочищувачем, охолодження у пластинчастому охолоджувачі, зберігання в резервуарахохолоджувачах.
2. Очищення молока
2.1 Під час доїння корів у стійлі переносними доїльними апаратами або вручну очищення молока проводять проціджуванням.
2.2 Для фільтрів використовують такі матеріали: тканина фільтрувальна, артикул 4В32КТ.0, неткане синтетичне полотно, вафельна тканина, артикул 4580, лавсанова тканина, артикул 56051 та 56126; тканини фільтрувальні з синтетичних ниток згідно з ГОСТ 15978; марля побутова згідно з ГОСТ 11109.
Під час фільтрування молока через бавовнянопаперові, лавсанові тканини і фільтрувальні тканини з синтетичних ниток їх укладають у цідилку у 2 шари, марлю у 4 6 шарів, а неткане синтетично полотно у 1 шар.
2.3 Фільтри необхідно замінювати після проціджування однієї фляги молока. Перед повторним використанням фільтри з тканини необхідно прополоскати у проточній воді, яка відповідає вимогам ГОСТ 2874, а після закінчення фільтрування молока всього надою їх обробляють у відповідності з вимогами "Санитарных и ветеринарных правил для молочных ферм колхозов, совхозов и подсобных хозяйств" .
Фільтри з нетканого синтетичного полотна після одноразового використання утилізують.
2.4 Після фільтрування молоко за чистотою повинно відповідати вимогам першої групи згідно з ГОСТ 8218.
2.5 Для доїння корів на доїльних установках, обладнаних молокопроводами, очищення молока виконують через спеціальні трубчасті фільтри, які входять до комплекту доїльних установок. Трубчасті фільтри в доїльних установках замінюють у відповідності до заводської інструкції щодо їх експлуатації.
2.6 Під час перекачування молока з молочних фляг або інших ємкостей в автомолцистерни для перевезення молока шланги молочних насосів повинні бути обладнані фільтрами з використанням матеріалів згідно з 5.2.2.
3 Охолодження молока
3.1 Свіжоздоєне молоко після очищення від механічних домішок охолоджують до температури не вище 6° C не пізніше як через 2 год. після закінчення процесу доїння корів.
3.2 При доїнні корів у переносні доїльні відра проміжок часу між видоюванням молока і початком його охолодження не повинен перевищувані 20 хв.
3.3 Під час доїння корів на доїльних установках з молокопроводами молоко охолоджують на пластинчастих охолоджувачах. Молоко, яке охолоджене у пластинчастому охолоджувачі за допомогою проточної води до (16 ± 1)° C, необхідно додатково охолодити з використанням холодоагента або в резервуарахохолоджувачах до температури не вище 6° C.
3.4 Якщо відсутні холодильні установки, молоко в металевих флягах охолоджують у басейнах, накритих чистою марлею, з проточною холодною водою або льодовою сумішшю. Кожну флягу з молоком накривають окремою чистою марлею і залишають з напіввідкритою кришкою.
Рівень охолоджуючої рідини повинен доходити до горловини фляги.
Молоко під час охолодження необхідно періодично, через 20 30 хв. перемішувати колотівкою до повного охолодження.
4. Зберігання молока
4.1 У випадку відсутності охолоджувальних ємкостей очищене і охолоджене молоко до відправлення на молокопереробні підприємства необхідно зберігати у флягах у басейні з проточною холодною водою або льодовосольовою сумішшю.
4.2 В процесі зберігання допускається змішування молока різних надоїв після попереднього очищення і охолодження до температури не вище 6° C.
4.3 Тривалість зберігання молока у виробників до продажу не повинна перевищувати за температури:
не вище 4° C 24 год.,
не вище 6° C 18 год.,
не вище 8° C 12 год.
Умови зберігання повинні відповідати вимогам "Санитарных и ветеринарных правил для молочных ферм колхозов, совхозов и подсобных хозяйств".
5. Транспортування молока
5.1 Транспортування молока здійснюється відповідно до Правил перевезень вантажів автомобільним транспортом в Україні.
5.2 Транспортування молока повинно проводитися в автоцистернах згідно з ГОСТ 9218 або у флягах згідно з ГОСТ 5037. Цистерни та фляги з молоком повинні бути щільно закриті кришками з прокладками з харчової гуми та опломбовані.
5.3 Молоко під час відправлення з господарства повинно мати температуру не вище 6° C, а при прибутті на місце реалізації не вище 8° C.
Термін здаванняприймання молока на переробне підприємство не повинен перевищувати 45 хв.
3.2 Державне регулювання галузі
Державне регулювання галузі спирається на ЗАКОН УКРАЇНИ «Про молоко та молочні продукти» [2], який визначає правові та організаційні основи забезпечення якості та безпеки молока і молочних продуктів для життя та здоров'я населення і довкілля під час їх виробництва, транспортування, переробки, зберігання і реалізації, ввезення на митну територію та вивезення з митної території України.
Основними процедурами державного регулювання є наступні:
атестація процедура оцінки відповідності вимогам нормативних документів санітарноепідеміологічного, ветеринарносанітарного та технічного стану виробництва молока, молочної сировини і молочних продуктів;
квотування встановлення квоти на обсяги виробництва та продажу молока переробним підприємствам та обсяги поставки молочної продукції до державного резерву;
маркування інформація про молоко, молочну сировину та молочні продукти, нанесена на упаковку відповідно до вимог нормативноправових актів і нормативних документів;
фонд сприяння розвитку ринку молока і молочних продуктів фонд, який формується за рахунок внесків виробників молока суб'єктів господарювання з кожного проданого кілограма молока і з кожного кілограма молока, закупленого переробними підприємствами.
Виробництво молока, молочної сировини здійснюється за наявності дозволу державних установ ветеринарної медицини, молочних продуктів за наявності дозволу державної санітарноепідеміологічної служби, виданих у встановленому порядку.
Контроль за якістю і безпекою молока, молочної сировини та молочних продуктів здійснюється їх виробниками відповідно до законодавства шляхом:
додержання умов виробництва, зберігання та реалізації молока, молочної сировини, молочних продуктів і вторинної сировини згідно з нормативними документами;
створення та діяльності лабораторій, обладнаних сучасними приладами і відповідними реактивами для визначення показників якості молока, молочної сировини та молочних продуктів.
Суб'єкти господарювання всіх форм власності (крім особистих селянських господарств, фізичних осіб), які здійснюють виробництво молока, молочної сировини і молочних продуктів, підлягають атестації на відповідність обов'язковим вимогам нормативноправових актів. Об'єктами атестації виробництва молока, молочної сировини і молочних продуктів є нормативна документація на продукцію, а також технологічне обладнання, засоби вимірювальної техніки та контролю, випробувальне обладнання.
Особисте селянське господарство, фізичні особи, які утримують корів, овець, кіз, буйволиць чи кобил для виробництва молока, молочної сировини, повинні мати довідки установи ветеринарної медицини за місцем утримання тварин.
Інформація про атестовані суб'єкти господарювання всіх форм власності, які здійснюють виробництво та переробку молока, молочної сировини і молочних продуктів, заноситься до реєстру, що ведеться центральним органом виконавчої влади з питань аграрної політики, з присвоєнням кожному суб'єкту господарювання реєстраційного номера.
Державний контроль та нагляд у сфері виробництва, переробки, реалізації, експорту та імпорту молока, молочної сировини та молочних продуктів здійснюють:
з питань додержання ветеринарносанітарних вимог у процесі утримання тварин, виробництва молока, молочної сировини, використання обладнання, тари, транспортних засобів, постійного контролю, нагляду з проведенням моніторингових дослідженьза показниками їх безпеки, під час експорту та імпорту молочної продукції державні установи ветеринарної медицини;
з питань додержання санітарних норм і правил у процесі розроблення технічних умов, технічних регламентів на молочну продукцію, визначення показників її безпеки та здійснення періодичного нагляду у процесі виробництва молочної продукції, а також за використанням обладнання, відходів вторинної сировини, тари, транспортних засобів установи та заклади державної санітарноепідеміологічної служби;
з питань додержання виробником вимог нормативних документів, технічних регламентів, пов'язаних з якістю продукції (крім ветеринарносанітарних вимог), вимог періодичного державного метрологічного нагляду та вимог законодавства у сфері захисту прав споживачів органи виконавчої влади з питань технічного регулювання та споживчої політики.
Державна підтримка виробників молока, молочної сировини і молочних продуктів здійснюється виходячи з пріоритетності розвитку молочної галузі агропромислового комплексу, зокрема шляхом фінансування з Державного бюджету України:
програм розвитку селекційноплемінної роботи в молочному скотарстві, протиепізоотичних заходів, що мають загальнодержавне значення;
дотаційних цін на молоко;
підтримки виробництва продукції дитячого харчування;
підтримки експорту молочних продуктів;
надання пільгових короткострокових і довгострокових кредитних ресурсів;
лізингових послуг щодо придбання обладнання вітчизняного та зарубіжного виробництва для технічного переоснащення і запровадження сучасних технологій виробництва та переробки молока і молочних продуктів суб'єктами господарювання, на яких поширюється дія цього Закону;
стимулювання підвищення якості молока, що відповідає вимогам державного стандарту України, через доплати у відсотках до закупівельної ціни:
для молока вищого ґатунку 25 відсотків;
для молока першого ґатунку 20 відсотків.
З метою регулювання ринку молока та молочних продуктів установлюються квоти сільськогосподарським товаровиробникам на обсяги виробництва та продажу молока переробним підприємствам та обсяги поставки молочної продукції до державного матеріального резерву.
Квоти на виробництво молока та поставку молочної продукції до державного резерву в цілому щорічно встановлюються Кабінетом Міністрів України, по областях та підприємствах центральним органом виконавчої влади з питань аграрної політики за участю галузевих формувань та обласних державних адміністрацій.
Фонд сприяння розвитку ринку молока і молочних продуктів (далі Фонд) створює центральний орган виконавчої влади з питань аграрної політики з метою:
поліпшення якості молока і молочних продуктів;
реклами молочних продуктів;
підтримки добровільних професійних організацій, які представляють інтереси сільськогосподарських та переробних підприємств в органах державного управління;
допомоги в організації виставок і участі в торгах.
Внески до Фонду сплачуються:
суб'єктами господарювання, які виробляють молоко, з кожного кілограма проданого на переробку молока у розмірі 0,2 копійки;
молокопереробними підприємствами з кожного кілограма молока, закупленого для промислової переробки, в розмірі 0,2 копійки.
ВИСНОВКИ
Як показали результати проведеного в курсовій роботі дослідження окремих характеристик ВАТ" Широківський сирзавод” Дніпропетровської області за результатами діяльності у 2004 – 2005 роках:
1.За 2005 рік ВАТ “ Широківський сирзавод” наростив виробництво сиру жирного на 2,3 тони проти обсягів 2004 року, або на 102,3 % , проте за видами продукції:
виробництво сиру „Голандський” скорочено на 17,1 тони, або на
14,4 %;
виробництво сиру „Львівський” скорочено на 16,3 тон, або на 69,4%;
виробництво сиру „Костромський” скорочено на 3,7 тон, або на
24,2 %;
виробництво сиру „Буковинський” збільшено проти рівня минулого року в 5,8 разів, це пояснюється підвищеним попитом покупців на сир „Буковинський” .
2. Середньомісячна заробітна плата за 2005 склала 324 грн, що на 42% ільше ніж за 2004 рік, але значно менше рівня прожиткового мінімуму у 2005 році (453 грн./міс);.
3. Аналіз ціноутворення показав, що середня собівартість одної тони сиру виросла з 7890 грн. (у 2004 році) до 13535 грн.(у 2005 році), Це пов”язано з підвищенням ціни на молоко з 4050 коп за 1л у вересні 2004 року до 8595 коп за 1л у вересні 2005 року. Збільшилась також вартість транспортних послуг майже в два рази, що пов”язано з ростом цін на паливномастильні матеріали, запчастини.
Договірна відпускна цінаодної тони твердого сиру з ПДВ (20%) в вересні 2004 року становила (9340 грн10000 грн) за 1 тону , а в вересні 2005 року ( 16235 грн 16866 грн.) за 1 тону
Відпускна ціна (середня) одної тони твердого сиру в вересні 2004 року становила в середньому 9542 грн./тону, тобто прибуткова націнка складала складає 0,78%, в вересні 2005 року ( 16421 грн/тону), тобто прибуткова націнка складає 1,1 %.
Враховуючи, що рознічні ціни (з ПДВ) на тверді сири ВАТ „Широківський сирзавод” в магазинах м.Дніпропетровська становили у вересні 2005 року 23,0 – 24,5 грн./кг, прибуток посередника між заводом та кінцевим споживачем оцінюється в 24 – 25 % (з врахуванням 50% витрат на транспортировку та підготовку до продажу), тобто як мінімум в 10 разів більше рівня прибутковості завода.
Фінансовомайновий стан ВАТ “Широківський сирзавод” характеризується такими показниками:
загальна вартість майна підприємства, яка дорівнює підсумку активу балансу (рядок 280) становить 250,2 тис. грн. на 31.12.2004 року та 509,8 тис. грн. на 31.12.2005р., збільшилась на 259,6 тис. грн. або в2,04 рази;
вартість необоротних коштів (активів), яка дорівнює підсумку першого розділу активу балансу (рядок 080) становить 97,2 тис. грн. на 31.12.2004 року та 125,3 тис. грн. на 31.12.2005р., збільшилась на 28,1 тис. грн. або в 1,29 раза, при цьому структурна частка необоротних активів в валюті балансу зменшилась з рівня 37,1%(2004) до рівня 24,6%(2005);
вартість мобільних (оборотних) активів – сума підсумків другого і третього розділів активу балансу (рядок 260 + рядок 270) становить 155,0 тис. грн. на початок року та 384,5 тис. грн. на 31.12.2005 року, збільшилась на 229,5 тис. грн., або в 2,48 раза, при цьому структурна частка оборотних активів в валюті балансу збільшилась з рівня 62,0%(2004) до рівня 75,4%(200%).
Діяльність ВАТ „Широківський сирзавод” у 2005 році характеризується збитковістю (103 тис.грн.) у порівнянні з мінімумом прибутку у 1,5 тис.грн. за 2004 рік.
Як показав спільний аналіз результатів розрахунків показників діяльності та фінансового стану ВАТ „Широківський сирзавод”:
1. Підприємство у 2005 році є неліквідним за всіма показниками загальної ліквідності, строкової ліквідності та абсолютної ліквідності. При цьому стан з ліквідністю у 2005 році значно погіршився відносно базового 2005 року, в якому показники загальної ліквідності та строкової ліквідності знаходилися в нормативному діапазоні;
2. При великих збитках 2005 року на підприємстві склався кризовий стан з фінансовою стійкістю по покриттю запасів, оскільки весь власний капітал підприємства вкладений в основні засоби та фонд покриття збитків діяльності, а джерелом покриття запасів є тільки поточні кошти в розрахунках.
3. Рівень ділової активності, характеризуємий оборотністю оборотних активів, у 2005 році знизився на 25 – 45%, тобто при нарощуванні обсягі виробництва у підприємства виникли проблеми з реалізацією продукції та потужністю обладнання, про що свідчить нарощення обсягів незавершенного виробництва та готової продукції на складах.
Таким чином, проведений в курсовій роботі статистичний аналіз діяльності ВАТ „Широківський сирзавод” на фоні росту виробництва виявив негативну тенденцію руху підприємства в сторону банкрутства за причинами росту неліквідності, збитковості діяльності, недостачі власного капіталу для покриття запасів.
Основною виявленою причиною є низький рівень прибутку, закладений в цінову надбавку відносно собівартості (1 – 1,1%) при реалізації продукції посередникам, які в рознічній торгівлі отримують на продажу твердих сирів до 25% рентабельності діяльності. Таким чином, ВАТ „Широківський сирзавод” повинен перейти на пряму рознічну реалізацію сирів власного виробництва у фірмових магазинах великих міст області.
Згідно «Заходів щодо розвитку м'ясного та молочного тваринництва в Україні » Протягом 2006 2010 років збільшити чисельність поголів'я великої рогатої худоби у всіх категоріях господарств до 10,2 млн. голів, у тому числі корів до 5 млн. голів, свиней до 15 млн. голів, птиці до 186 млн. голів. Для забезпечення продовольчої безпеки держави довести в 2010 році обсяги виробництва м'яса у забійній вазі до 3,2 млн. тонн, молока до 20 млн. тонн, що дозволить збільшити споживання однією особою м'яса і м'ясопродуктів до 70 кг та молока і молокопродуктів до 340 кг.
Для наближення до рекомендованих фізіологічних норм споживання молочної продукції населенням України доцільно зменшити частку витрат молока на виробництво масла тваринного (від 70 до 50%) та збільшити на виготовлення сиру твердого (від 11 до 14%), незбираної молочної продукції, особливо ряжанки, питного, ацидофільного, топленого молока (від 18 до 27%) при абсолютному збільшенні обсягів виробництва всіх видів молочної продукції. Необхідно також розширити випуск різноманітної продукції із знежиреного молока, поглибити його переробку на промислових підприємствах, ширше використовувати для харчових потреб вторинні ресурси переробки відвійки, сколотини, сироватку тощо.
Підвищення економічної ефективності виробництва молока пов'язане насамперед із зниженням його собівартості на основі підвищення продуктивності праці в галузі, скорочення витрат на корми з розрахунку на одиницю продукції, паливо, електроенергію тощо.
Поліпшення якості кормів й розведення високопродуктивної худоби сприяє зменшенню витрат кормів на одиницю продукції. Зокрема, з підвищенням надоїв молока від 2500 до 4000 кг витрати кормів скорочуються з розрахунку на 1 ц молока від 1,31 до 1,05 ц корм. од. Адже на кожний процент зниження матеріальногрошових витрат на корми, використані для молочної худоби, собівартість виробництва 1 ц молока знижується на 0,20,5%. Найбільш дешеві і поживні корми отримують з культурних пасовищ.
СПИСОК ВИКОРИСТАНОЇ ЛІТЕРАТУРИ
1. Господарський кодекс України // від 16 січня 2003 року N 436IV(діє з 01.01.2004)
2. ЗАКОН УКРАЇНИ «Про молоко та молочні продукти» // від 24 червня 2004 рокуN 1870IV
3. Порядок проведення атестації виробництва молока, молочної сировини і молочних продуктів суб'єктів господарювання // Наказ Міністерства аграрної політики України, Державного комітету України з питань технічного регулювання та споживчої політики від 21 січня 2005 року N 23/17
4. Порядок ведення реєстру атестованих виробників молока, молочної сировини і молочних продуктів // Наказ Міністерства аграрної політики України, Міністерства охорони здоров'я України, Державного комітету України з питань технічного регулювання та споживчої політики від 21 січня 2005 року N 24/28/18
5. Про затвердження та надання чинності ГСТУ 46.0692003 "Молоко коров'яче незбиране. Первинне оброблення, зберігання і транспортування. Основні вимоги" // МІНІСТЕРСТВО АГРАРНОЇ ПОЛІТИКИ УКРАЇНИ , НАКАЗ від 8 січня 2004 року N 1
6. Про затвердження Рекомендацій щодо виробництва і реалізації молока від корів, які утримуються у господарствах населення, відповідно до вимог ДСТУ 366297 // МІНІСТЕРСТВО АГРАРНОЇ ПОЛІТИКИ УКРАЇНИ НАКАЗ від 5 серпня 2003 року N 262
7. Правила ветеринарносанітарної експертизи молока і молочних продуктів та вимог щодо їх реалізації //Наказ Державного департаменту ветеринарної медицини Міністерства аграрної політики України від 20 квітня 2004 року N 49
8. Положення (стандарт) бухгалтерського обліку 1 "Загальні вимоги до фінансової звітності", Наказ Мінфіна України № 87 від 31.03.1999 + № 304 від 30.11.2000.
9. Положення (стандарт) бухгалтерського обліку 2 "Баланс", Наказ Мінфіна України № 87 від 31.03.1999 + № 304 від 30.11.2000.
10. Положення (стандарт) бухгалтерського обліку 3 " Звіт про фінансові результати «, Наказ Мінфіна України № 87 від 31.03.1999 + № 304 від 30.11.2000.
11.ДІАГНОСТИКА СЕКТОРУ«перероблення молока і виробництва молокопродуктів» / Жовтень 2006 р. , Агентства США з міжнародного розвитку (USAID),Київ, 2006 р.
12. Ізмайлова К.В. Фінансовий аналіз: Навч. посібник – К.: МАУП,2000.
13. Ковалев В.В. Финансовый анализ: Управление капиталом. Выбор инвестиций. Анализ отчётности. М.: Финансы и статистика, 1996г.
14. Крейнина М.Н. Финансовое состояние предприятия. Методы оценки. М.: ИКЦ «Дис», 1997.
15. Новое слово в технологии переработки молока. В.Д.Харитонов, А.Д.Федоров, Г.В.Монахов, Г.С. Михалкина.// Молочная промішленность, №34, 2002г., с. 178179.
16. Рынок молока и молочных продуктов Украины (Украгроконсалт) // журнал «Молочное дело» № 2, 2006
17. Ситуація на ринку молока та молокопродуктів. Стан, проблеми, рішення. //„Молочна промисловість ” №1, 2002р., с. 5053
18. Статистика підприємництва / під редакцією П.Г.Вашківа – Київ, ”Слобожанщина”,1999
19. HTTP://WWW.UKRSTAT.GOV.UA –Офіційний сайт Державного комітета статистики України
ДОДАТКИ
Додаток А
Алгоритми розрахунку показників діяльності підприємства [12]
| № п/п |
Показник |
Умовн
позня
|
Формула
для розрахунку
|
Джерела інформації з форм фін звітності |
| ПОКАЗНИКИ РЕНТАБЕЛЬНОСТІ
|
| 1 |
Рентабельність активів за прибутком від
звичайної діяльності
|
Rзв |
Прибуток від звичайної діяльності / Валюта активів |
Форма 2(190) / Форма1 (280) |
| 2 |
Рентабельність капіталу (активів) за чистим прибутком |
Rа |
Чистий Прибуток / Валюта активів |
Форма 2(220) / Форма1 (280) |
| 3 |
Рентабельність власного капіталу |
Rвк |
Чистий Прибуток / Власний капітал |
Форма 2(220) / Форма1 (380) |
| 4 |
Рентабельність виробничих фондів |
Rвф |
Чистий Прибуток / Виробничі фонди |
Форма 2(220) /Форма1 (030+100+120) |
| 5 |
Рентабельність реалізованої продукції за прибутком від реалізації |
Rq |
Прибуток від реалізації / Виручка |
Форма 2(050070080) /Форма 2 (035) |
| 6 |
Рентабельність реалізованої продукції за прибутком від операційної діяльності |
Rqоп |
Прибуток від операційної діяльності / Виручка |
Форма 2(100) /
Форма 2 (035)
|
| 7 |
Рентабельність реал. продукції за прибутком |
Rqч |
Чистий прибуток / Виручка |
Форма 2(220) /
Форма 2 (035)
|
| .8 |
Коефіцієнт стійкості економічного зростання |
Ксез |
Реінвестований прибуток / Власний капітал |
Форма 2(100 335)* Ф.2(220)/100 /Форма 1 (380) |
| 9 |
Коефіцієнт реінвестування |
Кр |
Реінвестований прибуток / Чистий прибуток |
Форма 2(100 335)* Ф.2(220)/100 /Форма 2 (220) |
| 10 |
Період окупності капіталу |
Тк |
Активи/Чистий прибуток |
Форма 1(280) /
Форма 2 (220)
|
| 11 |
Період окупності власного капіталу |
Твк |
Власний капітал / Чистий прибуток |
Форма 1(380) /
Форма 2 (220)
|
№ п/п
|
Показник
|
Умовне
позначення
|
Формула
для розрахунку
|
Джерела інформації з форм фін звітності |
| ПОКАЗНИКИ ДІЛОВОЇ АКТИВНОСТІ
|
| 1 |
Коефіцієнт трансформації |
Кт |
Чиста виручка від реалізації / Валюта активів |
Форма 2(035) /Форма1 (280) |
| 2 |
Фондовіддача |
Фоф |
Чиста виручка від реалізації / Основні виробничі фонди |
Форма 2(035) /Форма1 (030) |
| 3 |
Коефіцієнт оборотності обігових коштів (обороти) |
Ко |
Чиста виручка від реалізації / Обігові кошти |
Форма 2(035) /Форма1 (260+270) |
| 4 |
Період одного обороту обігових коштів (днів) |
Чо |
365/ Ко |
365 / Ко |
| 5 |
Коефіцієнт оборотності запасів ( обороти) |
Коз |
Собівартість реалізації / Середні запаси |
Форма 2(040) /Форма1 (100+120+130+140 +150) |
| 6 |
Період одного обороту запасів(днів) |
Чз |
365 / Коз |
365 / Коз |
| 7 |
Коефіцієнт оборотності дебіторської заборгованості(обороти) |
Кдз |
Чиста виручка від реалізації / Середня дебіторська заборгованість |
Форма 2(035) /Форма1 (050+170+180+190+200+210) |
| 8 |
Період погашення дебіторської заборгованості (днів) |
Чдз |
365 / Кдз |
365 / Кдз |
| 9 |
Коефіцієнт оборотності готової продукції |
Кгп |
Чиста виручка від реалізації / Готова продукція |
Форма 2(035) /Форма1 (130) |
| 10 |
Період погашення кредиторської заборгованості (днів) |
Чкз |
Середня кредиторська заборгованість *360/ Собівартість реалізації |
Форма 1(500+520+530 +550+580) /Форма 2 (040) |
| 11 |
Період фінансового циклу (днів) період обороту коштів |
Чфц |
Чфц= Чоц Чкз |
Чфц= Чоц – Чкз |
| 12 |
Коефіцієнт оборотності власного капіталу(оборотність) |
Квк |
Чиста виручка від реалізації / Власний капітал |
Форма 2(035) /Форма1 (380+430+630) |
| ПОКАЗНИКИ МАЙНОВОГО СТАНУ
|
| 1. |
Частка оборотних виробничих фондів в обігових коштах |
Ч овф |
Оборотні виробничі фонди/ Оборотні активи |
Форма 1 (100+120+270) /Форма1 (260+270) |
| 2 |
Частка основних засобів в активах |
Ч оз |
Залишкова вартість основних засобів / Валюта активів |
Форма 1(030) / Форма1 (280) |
| 3 |
Коефіцієнт зносу основних засобів |
К зн |
Знос основних засобів/ Первісна вартість основних засобів |
Форма 1(032) / Форма1 (031) |
| 4 |
Коефіцієнт оновлення основних засобів |
К он |
Збільшення за звітний період первісної вартості основних засобів/ Первісну вартість основних засобів |
Форма 1((031к)(031п)) / Форма1 (031п) |
| 5 |
Частка довгострокових фінансових інвестицій в активах |
Ч дф |
Довгострокові фінансові інвестиції / валюта активів |
Форма 1(040+045) /Форма1 (280) |
| 6 |
Частка оборотних виробничих активів |
Ч ова |
Оборотні виробничі фонди/ Валюта активів |
Форма 1(100+120+270) /Форма1 (280) |
| 7 |
Коефіцієнт мобільності активів |
К моб |
Мобільні активи / Немобільні активи |
Форма 1(260+270) /Форма1 (080) |
| ПОКАЗНИКИ ФІНАНСОВОЇ СТІЙКОСТІ |
| 1 |
Власні обігові кошти
(робочий, функціонуючий капітал)
|
Рк |
Оборотні активи – короткострокові
зобов ' язання
|
Форма 1(260+270-620-630) |
| 2 |
Коефіцієнт забезпечення оборотних активів власними коштами |
Кзвк |
Власні обігові кошти / оборотні кошти |
Форма 1(380+430080) /Форма1 (260+270) |
| 3 |
Маневреність робочого капіталу |
Мрк |
Запаси / Робочий капітал |
Форма 1(100+120 +130+140+150) /Форма1 (260+270620630) |
| 4 |
Маневреність власних обігових коштів |
Мвок |
Грошові Кошти / Власні обігові кошти |
Форма 1(230+240) /Форма1 (380+430-080) |
| 5 |
Коефіцієнт забезпечення власними обіговими коштами запасів |
Кзап |
Власні обігові кошти / Запаси |
Форма 1(380+430080) /Форма1 (100+120 +130+140+150) |
| 6 |
Коефіцієнт покриття запасів |
Кпз |
"Нормальні" джерела покриття запасів / Запаси |
Форма 1(380+430 +480-080+ 500+520+530+540) /Форма1 (100+120 +130+140+150) |
| 7 |
Коефіцієнт фінансової незалежності (автономії) |
Кавт |
Власний капітал / Валюта Пасивівбалансу |
Форма 1(380+430+630) /Форма1 (640) |
| 8 |
Коефіцієнт маневреності власного капіталу |
Км |
Власні обігові кошти / Власний капітал |
Форма 1(380+430+630080) /Форма1 (380+430+630) |
| 9 |
Коефіцієнт концентрації позикового капіталу |
Кпк |
Позиковий капітал/Валюта пасивів |
Форма 1(480+620) /Форма1 (640) |
| 10 |
Коефіцієнт фінансової стабільності (коефіцієнт фінансування) |
Кфс |
Власні кошти / позикові кошти |
Форма 1(380+430+630) /Форма1 (480+620) |
| 12 |
Коефіцієнт фінансової стійкості |
Кфст |
Власний капітал + довгострокові зобов ' язання / Валюта пасивів |
Форма 1(380+430+480+630) /Форма1 (640) |
Додаток Б
Таблиця Б.1
Показники майного стану та їх динаміка

Таблиця Б.2
Показники ділової активності та їх динаміка

Таблиця Б.3
Показники рентабельності та їх динаміка

Таблиця Б.4
Показники фінансової стійкості та їх динаміка

Таблиця Б.4
Показники лікідності та їх динаміка

Таблиця Б.5
Агрегований за ступенями ліквідності баланс та його динаміка

Таблиця Б.6
Показники фінансової стійкості по покриттю запасів та їх динаміка

|