Банк рефератов содержит более 364 тысяч рефератов, курсовых и дипломных работ, шпаргалок и докладов по различным дисциплинам: истории, психологии, экономике, менеджменту, философии, праву, экологии. А также изложения, сочинения по литературе, отчеты по практике, топики по английскому.
Полнотекстовый поиск
Всего работ:
364139
Теги названий
Разделы
Авиация и космонавтика (304)
Административное право (123)
Арбитражный процесс (23)
Архитектура (113)
Астрология (4)
Астрономия (4814)
Банковское дело (5227)
Безопасность жизнедеятельности (2616)
Биографии (3423)
Биология (4214)
Биология и химия (1518)
Биржевое дело (68)
Ботаника и сельское хоз-во (2836)
Бухгалтерский учет и аудит (8269)
Валютные отношения (50)
Ветеринария (50)
Военная кафедра (762)
ГДЗ (2)
География (5275)
Геодезия (30)
Геология (1222)
Геополитика (43)
Государство и право (20403)
Гражданское право и процесс (465)
Делопроизводство (19)
Деньги и кредит (108)
ЕГЭ (173)
Естествознание (96)
Журналистика (899)
ЗНО (54)
Зоология (34)
Издательское дело и полиграфия (476)
Инвестиции (106)
Иностранный язык (62791)
Информатика (3562)
Информатика, программирование (6444)
Исторические личности (2165)
История (21319)
История техники (766)
Кибернетика (64)
Коммуникации и связь (3145)
Компьютерные науки (60)
Косметология (17)
Краеведение и этнография (588)
Краткое содержание произведений (1000)
Криминалистика (106)
Криминология (48)
Криптология (3)
Кулинария (1167)
Культура и искусство (8485)
Культурология (537)
Литература : зарубежная (2044)
Литература и русский язык (11657)
Логика (532)
Логистика (21)
Маркетинг (7985)
Математика (3721)
Медицина, здоровье (10549)
Медицинские науки (88)
Международное публичное право (58)
Международное частное право (36)
Международные отношения (2257)
Менеджмент (12491)
Металлургия (91)
Москвоведение (797)
Музыка (1338)
Муниципальное право (24)
Налоги, налогообложение (214)
Наука и техника (1141)
Начертательная геометрия (3)
Оккультизм и уфология (8)
Остальные рефераты (21692)
Педагогика (7850)
Политология (3801)
Право (682)
Право, юриспруденция (2881)
Предпринимательство (475)
Прикладные науки (1)
Промышленность, производство (7100)
Психология (8692)
психология, педагогика (4121)
Радиоэлектроника (443)
Реклама (952)
Религия и мифология (2967)
Риторика (23)
Сексология (748)
Социология (4876)
Статистика (95)
Страхование (107)
Строительные науки (7)
Строительство (2004)
Схемотехника (15)
Таможенная система (663)
Теория государства и права (240)
Теория организации (39)
Теплотехника (25)
Технология (624)
Товароведение (16)
Транспорт (2652)
Трудовое право (136)
Туризм (90)
Уголовное право и процесс (406)
Управление (95)
Управленческие науки (24)
Физика (3462)
Физкультура и спорт (4482)
Философия (7216)
Финансовые науки (4592)
Финансы (5386)
Фотография (3)
Химия (2244)
Хозяйственное право (23)
Цифровые устройства (29)
Экологическое право (35)
Экология (4517)
Экономика (20644)
Экономико-математическое моделирование (666)
Экономическая география (119)
Экономическая теория (2573)
Этика (889)
Юриспруденция (288)
Языковедение (148)
Языкознание, филология (1140)

Статья: Димеризация, олигомеризация и полимеризация этилена под действием комплексов никеля, содержащих хелатные лиганды

Название: Димеризация, олигомеризация и полимеризация этилена под действием комплексов никеля, содержащих хелатные лиганды
Раздел: Рефераты по химии
Тип: статья Добавлен 03:14:38 05 марта 2010 Похожие работы
Просмотров: 433 Комментариев: 15 Оценило: 3 человек Средний балл: 5 Оценка: неизвестно     Скачать

Реакции этилена, приводящие к образованию димеров, олигомеров и полимеров этилена представляют существенный интерес для химической промышленности. Эти реакции могут приводить к образованию линейных, разветвленных или циклических соединений. Как показано в табл. 1, линейные продукты имеют много важных областей применения, среди которых наибольший объем использования имеют моющие средства и сомономеры для получения ПЭ.

Комплексы никеля являются самыми распространенными катализаторами олигомеризации олефинов и проявляют наибольшую активность и селективность по отношению к олефинам. Никелевые катализаторы можно разделить на две группы: соединения никеля(П) в сочетании с алкильными или гидридными производными металлов основной группы (катализаторы Циглера-Натта) и металлоорганические комплексы, которые служат предшественниками каталитических комплексов.

Много лет назад мы показали, что хелатные комплексы никеля вызывают образование линейных продуктов из этилена с исключительно высокой хемоселективностью [1]. На схеме I изображены комплексы 1 и 2, которыеможно рассматривать в качестве предшественников активного Ni-Н-катализатора 3.


Рис. 1. Строение комплекса 1 по данным рентгеноструктурного анализа.

Реакция комплекса 3 с этиленом приводит к образованию комплекса 4, который после внедрения следующей молекулы этилена образует Ni-бутильный комплекс 5. Последний может отщеплять бутен-1 в результате реакции р-элиминирования, вновь образуя комплекс 3. Таким образом, каталитический цикл замыкается. Кроме элиминирования бутена-1, комплекс 5 может присоединять еще молекулы этилена, образуя комплексы Ni с высшими м-алкильными группами, которые затем могут по реакции Р-элиминирования отщеплять соответствующие а-олефины или воски, или даже ПЭ. В результате каталитического цикла, изображенного на схеме I, возникает распределение типа Шульца-Флори. Наилучшим образом оно описывается величиной Р-фактора, т.е. отношением скорости элиминирования на стадии обрыва цепи к скорости элиминирования на стадии роста. Когда стадия обрыва ф-элиминирование) протекает быстро, в продуктах реакции преобладают олефины С4 - С8 . Продукты с большой длиной цепи (ПЭ) получаются в том случае, когда преобладает реакция роста.

Механизм, приведенный на схеме I, подтверждается спектроскопическими исследованиями, проведенными insitu. Так, ЯМР исследования, выполненные в этих условиях, показывают, что в растворе присутствует гидрид никеля 3, который был зафиксирован при использованииPh2 PCH2 C(CF3 )2 OH в качестве лиганда [2]. Оказалось, что можно выделить этильный 4 и бутильный 5 комплексы никеля, а также комплексы Ni, содержащие высшие алкильные группы, которые являются продуктами многократного внедрения этилена. При нагревании эти комплексы отщепляют соответственно этилен, бутен-1 или высшие сс-олефины, возвращаясь тем самым к комплексу 3.

Таблица 1. Линейные производные этилена

Продукт Применение
Бутен-1

Полибутилен

Сомономер в производстве ПЭ

Гексен-1 Сомономер в производстве ПЭ
Октен-1 Продукты тонкого органического синтеза (жирные кислоты, меркаптаны), пластификаторы
Децен-1 Смазки
Олефины С12 - С18 Детергенты
Олефины С>20 Присадки
Олефины С>30 Воски
Олефины С ПЭ

Если образующиеся а-олефины не реагируют с Ni-Н-комплексом 3 (что привело бы к образованию соолигомеров), в продуктах реакции присутствуют только линейные производные; иначе говоря, реакция должна быть высоко хемоселективна только по отношению к этилену, а реакция передачи цепи должна отсутствовать.

Чтобы продемонстрировать высокую хемоселективность, проводили реакцию смеси, содержащей 50% этилена и 50% пропилена, с каталитическими количествами комплекса 1. Поглощение этилена наблюдали до тех пор, пока в смеси не достигалось процентное соотношение пропилен : : этилен, равное 90 : 10. Продукты, получающиеся при таком соотношении, содержали нечетное число атомов углерода (С5 , С7 и т.д.) [3].

Высокая хемоселективность объясняется наличием хелатного лиганда. По данным рентгеноструктурного анализа (рис. 1), комплекс 1 имеет плоскоквадратную структуру.

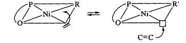
По нашему мнению, ответственным за высокую хемоселективность реакции является плоскоквадратное окружение металла. Ниже показан путь протекания реакции внедрения этилена, включающий стадию появления свободного координационного места в результате акта внедрения этилена.

Рост цепи протекает в трансположении относительно атома кислорода комплекса, в то время как свободные координационные места для входящей молекулы мономера после внедрения этилена возникают в трансположенияпо отношению к атому фосфора. Если этот механизм правилен, можно полагать, что кроме давления и температуры на получающееся распределение продуктов должны влиять стерические и электронные эффекты в хелатном лиганде. При изменении а-донорных и я-акцепторных свойств Р или хелатного кольца будет изменяться прочность связи вновь координирующейся молекулы этилена с металлом. Кроме того, на прочность связи Ni-углерод может также влиять строение лиганда.

Чтобы выяснить влияние этого фактора, в Аахене было синтезировано большое количество разнообразных хелатных комплексов никеля. Можно констатировать, что все комплексы, активные в реакции линейного присоединения по связи С-С, состоят из хелата и органического лиганда. Органическая часть только стабилизируеткомплекс, тогда как хелатный лиганд регулирует каталитическую активность и селективность.


Размер цикла в части также им решающее значение. Ниже изображены комплексы, которые отличаются размером [4].

Комплексы 6-8 содержат пяти – семичленные хелатные циклы. В комплексах 9 и 10 жесткого хелата увеличивается при введении в него соответственно двойной связи или ароматического цикла. Исследование реакции комплексов 6 с этиленом показало, что комплексы 6, 9, и 10 вольно активны в линейной олигомеризации, в то время как активность комплексов 7 и 8, содержащих гибкие шести- и семичленные циклы, невысока.

Ниже будет показано, что конструирование лиганда влияет на протекание реакций димеризации, олигомеризации и полимеризации этилена.


ДИМЕРИЗАЦИЯ

Чтобы получить преимущественно бутен-1, нужно понизить основность атома Р. Интересно отметить, что добавление Ph3 P к комплексу 1 является другим путем изменения величины р-фактора (табл. 2).

ОЛИГОМЕРИЗАЦИЯ

Олигомеризация олефина осуществлена компанией "Шелл" (процесс "Шелл" для получения высших олефинов - SHOP-процесс) [1, 5]. Этот процесс с общим объемом продукции ~1 млн. т является одним из примеров наиболее крупномасштабного применения гомогенного катализа на основе переходных металлов. На схеме II показаны первичные и вторичные продукты, получаемые в указанном процессе (добан, добанол, этоксилаты добанола и этоксисульфаты добанола - торговые названия поверхностно-активных веществ (детергентов))

Первая стадия представляет собой олигомеризацию этилена в а-олефины. Образующиеся а-олефины характеризуются геометрическим распределением, которое можно в некоторой степени регулировать изменением давления и температуры. Получаемый при этом набор а-олефинов трудно сбалансировано реализовать на рынке. По этой причине из смеси отгоняют только те а-олефины, которые можно продать - в основном С8 - С20 - Олефины, не находящие спроса на рынке, <С10 и >С2 о изомеризуют на второй стадии. На третьей стадии смесь олефинов с внутренними двойными связями подвергают реакции метатезиса, в результате которой олефины <С 10 и>С20 превращаются в олефины С10 - С14 (интервал, соответствующий детергентам), также отделяемые дистилляцией. Сочетание изомеризации иметатезиса с дистилляцией и рециклом создаетуникальную технологию для получения продуктов с заданным распределением по числу атомов углерода. Указанная схема процесса дает возможность получать олефины с любым числом атомов углерода. Ключом к решению проблемы явилась достигнутая хемоселективность. Были получены олефины, содержащие >95% ос-изомеров и степенью линейности,>99%. Селективность образования линейных олефинов важна при проведении метатезиса. В условиях метатезиса разветвленные олефины, содержащиеся в продуктах первой стадии, реагируют очень медленно, приводя к образованию малоактивных разветвленных олефинов, имеющих низкую рыночную стоимость.


Высокая селективность получения линейных α-олефинов в SHOP-процессе обеспечивает также оптимальное использование исходного материала, а именно этилена. Практически все произведенные в этом процессе продукты можно реализовать на рынке, побочные продукты фактически отсутствуют.

Для практики было бы важно иметь возможность так изменить распределение продуктов, полученных в соответствии со схемой I, чтобы получить линейные продукты с числом атомов углерода в наиболее желательном интервале С12 – С8 за счет соолигомеризации олигомеров С4 - С10 с этиленом. Мы обнаружили, что комплекс реагируя с ос-олефинами, образует в основном линейные димеры [6].

По нашим сведениям это единственный комплекс, который вызывает димеризацию а-олефинов, приводя к преимущественному образованию линейных продуктов. Для этого нужно, чтобы реакция присоединения катализатора Ni-H к а-олефину протекала против правила Марковникова (уравнение (1)).

Рис. 2. Распределение продуктов олигомеризации этилена при одновременном использовании комплексов 2 и 11. Соотношение комплексов 2:11 равно 1 : 2 (7); 1 : 3 (2) и 1 : 4 (3).

При совместном присутствии комплексов 2 и 11, можно ожидать, что реакция с этиленом будет протекать следующим образом: комплекс 2 вызывает образование смеси линейных а-олефинов С4 - С>20 , а комплекс 11 катализирует их димеризацию. Поскольку скорость реакции увеличивается в ряду С4 > С6 > С8 ..., олефины С4 - С6 должны реагировать с большей скоростью и таким образом будут расходоваться, увеличивая долю олефинов С8 - С12 . В табл. 3 представлены данные, полученные при совместном использовании этих двух комплексов в реакции олигомеризации этилена [7].

Таблица 3. Олигомеризация этилена при использовании комплексов 2 и 11

Опыт Соотношение комплексов 2:11 Продукты олигомеризации, мае. %
С4 Q - с10 С>12
1 1 :0 35.5 51.5 13
2 1 : 1 22.5 56.5 21
3 1 : 5 2 69.8 28
Опыт 1: 0.2 ммоля комп. 'кса 2, 70°С, 2 ч ' р с2 н4 = 30 бар,

При эквимолярном соотношении комплексе 2 и 11 (опыт 2) доля бутена уменьшается, приводя к увеличению доли олефинов С6 - С10 . При соотношении комплексов 2 и 11 = 1: 5 доля бутена становится еще меньше. Таким образом, использование двух предшественников катализатора, комплексов 2 и 11, в одном реакторе позволяет в определенной степени контролировать распределение продуктов реакции.

При обработке смеси комплекса 6 и [А1(СН3 )0]„ этиленом, наблюдалось существенное увеличение активности. Даже при 0°С оборотное число реакции превышало 10 000. К сожалению, хемоселективность образования именно линейных продуктов была потеряна. Две типичные гельхроматограммы продуктов, которые демонстрируют эту потерю хемоселективности, представлены на рис. 3.

Эти результаты привели к мысли выделить ионные комплексы никеля с Т|2л О хелатными лигандами. Был получен комплекс 14 [11]

Рентгеноструктурный анализ подтвердил плоскоквадратную структуру комплекса. Реакция комплекса 14 с этиленом давала смесь линейных и разветвленных олефинов, что указывало на потерю хемоселективности образования линейных продуктов реакции. Очевидно, олефины, возникающие при олигомеризации этилена, вступают затем в реакцию соолигомеризации, что и приводит к появлению разветвленных продуктов.

ПОЛИМЕРИЗАЦИЯ

Распределение α-олефинов определяется соотношением скоростей Р-элиминирования и роста. Очевидно, что при малом значении (3-фактора в уравнении (4) получаются очень пологие кривые распределения

Таким образом, можно провести полимеризацию этилена с образованием линейного продукта с очень высокой ММ. Если протекает реакция передачи цепи, то появляются разветвленные продукты. Как видно из данных табл. 4, передача цепи протекает в случае образования продуктов с более высокой ММ.


Рис. 3. Сравнение селективности комплекса 6 (]) и 6/[А1(СН3 )0]„ (2) в олигомеризации этилена; Ni: Al = 1 : 50,0°С, Рс н = 3 атм, 3 ч, молярное отношение С2 Н4 : Ni = 3 х 104 .

Впервые мы наблюдали образование высоколинейного кристаллического ПЭВП при суспендировании никелевых катализаторов в алканах [1, 12]. По данным ИК-спектроскопии, полученный ПЭ имел кристалличность около 70%. Средневесовая ММ составляла 105 - 106 , температура плавления 130 - 140°С. Позднее мы установили, что ПЭ также образуется при добавлении R3 P и при использовании комплекса, содержащего заместитель в цикле [3]. Как показано в табл. 5, добавление лигандов R3 P к комплексу 1 может вызвать или прекращение реакции из-за блокировки координационных мест (R3 P = PEt3 ) или образование ПЭ [R3 P = (сс-нафтил)3 Р].

В развитие наших работ Остойя-Старжевский получил катализатор полимеризации этилена при реакции комплекса 1 с СН2 = РМе3 [13]. Этому комплексу была приписана структура

Клабунде и сотр. фирмы "DuPont" также сообщили о синтезе линейного ПЭВП под влиянием комплекса 1 [14]. По их данным, в том случае, когда четвертое координационное место в плоскоквадратном комплексе не занято Ph3 P, происходит полимеризация этилена. Для удаления R3 P были использованы различные акцепторы, например, Rh(AcAc)(C2 H4 )2 . Производительность использованного катализатора составляла 20000 г ПЭ/г №. Интересно отметить, что комплекс 1 димеризуется в комплекс, когда четвертое положение свободно, что подтверждается данными рентгеноструктурного анализа

Интересно отметить, что Финк и Нестеров вносили Т|2л О хелатный комплекс 19 на модифицированные оксид кремния или оксид алюмщм в соответствии с реакцией (5) [16].

При введении водорода или добавлении гидр да магния были получены высокоактивные катализаторы олигомеризации этилена.

Мы также сделали попытку нанести комплексы типа 1 на органические или неорганические носители в соответствии со схемой, приведен™ ниже, используя закрепление через положения А и В в комплексе 17 [17]. С этими катализаторами мы получили в основном линейные олефины, время жизни катализаторов было невелико,вероятно, из-за покрытия активных центров образующимся полимером.

ВЛИЯНИЕ РАСТВОРИТЕЛЯ

Как указывалось выше, решающее влияние на процесс может оказывать растворитель. Много лет тому назад мы обнаружили, что комплексы типа 1 и 2 можно использовать в полярных растворителях. Так, нам удалось синтезировать ПЭ в водной среде. Клабунде утверждал, что его работа была начата с целью создания новых каталитических систем, стабильных к кислородсодержащим соединениям, что, по нашему мнению, представляет несомненный интерес.

Для коммерческой реализации SHOP-процесса решающую роль сыграла стабильность Ni-комплексов к полярным растворителям [1, 5, 18]. Олигомеризацию ос-олефинов можно было проводить в полярных растворителях, таких как многоатомные спирты или ацетонитрил, которые практически не смешиваются с а-олефинами, образующимися в ходе каталитической реакции. Находящиеся в другой фазе ос-олефины легко отделяются. Ниже приведена схема потоков этого двухфазного каталитического процесса.


Комплекс 1 растворяется в полярном растворителе, который не смешивается с образующимися а-олефинами. В сепараторе ос-олефины отделяются от катализатора 1, который может быть возвращен в рецикл. Насколько нам известно, указанный каталитический процесс представляет собой первый случай использования двухфазного катализа, нашедшего впоследствии широкое применение [19].

Компании "GulfResearchandDevelopment", "UnionCarbideCorporation", "MobilChemical" достигли больших успехов в применении двухфазных схем с использованием хелатных комплексов, содержащих лиганды Т|2л О.

Бич и Гаррисон из компании "GulfResearchandDevelopment" запатентовали комплексы типа 20, которые ведут процесс в среде метанола [20]:

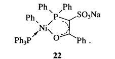
(R, - Rg = одинаковые или разные Н, алкилы С, .2 4, арилы С6 _20 , алкенилы С2 .30 , циклоалкилы С3 _40 , аралкилы и алкарилы С6 .40 , галоген-, ОН-, алкокси группы; Z = Р, As, Sb). Например, илид Ni (R1 - R6 = Ph, R7 = S03 Na, R8 = Ph; Z = E = P; Y = 0).

Мюррей из "UnionCarbide" синтезировал целый набор лигандов типа 21 [21].


После реакции комплекса 21 с (COD)2 Ni эти соединения дают катализаторы олигомеризации этилена в полярных растворителях.

И, наконец, Киссин из компании "Mobil" синтезировал комплекс 22, который также работает в среде полярного растворителя.


СПИСОК ЛИТЕРАТУРЫ

1. Keim W., et al. Shell Dev. Сотр. US Pat. 3635937, 1972; 3647914, 1972; 3647915, 1972; 3686159, 1972; Kowaldt F.H., Keim W., Goddard R., Kruger С. // Angew. Chem. Int. Ed. Engl. 1978. V. 17. № 7. P. 466. Peuckert M., Keim W. // Organomettalics. 1983. V. 2. P. 594; Keim W. //Chem.-Ing. Tech. 1984. V. 56. P. 850; Keim W. // Angew. Chem. Int. Ed. Engl. 1990. V. 29. P. 235.

2. Muller U., Keim W., Kruger C, Betz P. // Angew. Chem. Int. Ed. Engl. 1989. V. 28.P. 1011; Andrews P., Evans J. IУJ. Chem. Soc, Chem. Commun. 1993. P. 1246.

3. Kowaldt F.H., Keim W. // Compendium Dtsch. Ges. Mineralowiss. Kohlechem. 1978. V. 78/79. P. 453.

4. Keim W., Schulz R.P. // J. Molec. Cat. (in print).

5. Keim W. // Chem.-Ing. Tech. 1984. V. 56. P. 850; Freitas E.R., Gum C.R. // Chem. Eng. Prog. 1979. P. 73;

6. Lutz E.F. // J. Chem. Educ. 1986. P. 202.

Оценить/Добавить комментарий
Имя
Оценка
Комментарии:
Срочная помощь учащимся в написании различных работ. Бесплатные корректировки! Круглосуточная поддержка! Узнай стоимость твоей работы на сайте 64362.ru
04:24:45 11 сентября 2021
Привет студентам) если возникают трудности с любой работой (от реферата и контрольных до диплома), можете обратиться на FAST-REFERAT.RU , я там обычно заказываю, все качественно и в срок) в любом случае попробуйте, за спрос денег не берут)
Olya13:50:35 01 сентября 2019
.
.13:50:34 01 сентября 2019
.
.13:50:33 01 сентября 2019
.
.13:50:32 01 сентября 2019

Смотреть все комментарии (15)
Работы, похожие на Статья: Димеризация, олигомеризация и полимеризация этилена под действием комплексов никеля, содержащих хелатные лиганды

Назад
Меню
Главная
Рефераты
Благодарности
Опрос
Станете ли вы заказывать работу за деньги, если не найдете ее в Интернете?

Да, в любом случае.
Да, но только в случае крайней необходимости.
Возможно, в зависимости от цены.
Нет, напишу его сам.
Нет, забью.



Результаты(286110)
Комментарии (4150)
Copyright © 2005-2021 HEKIMA.RU [email protected] реклама на сайте