Задача №1
Даны вершины треугольника АВС.
Найти: 1) длину стороны АВ; 2) уравнения сторон АВ и АС и их угловые коэффициенты; 3) внутренний угол А в радианах с точностью до 0,01; 4) уравнение высоты CD и ее длину; 5) уравнение окружности, для которой высота CD есть диаметр; 6) систему линейных неравенств, определяющих треугольник АВС.
А(-7;5), В(5;-4), С(3;10).
Решение
1. Расстояние d между точками M1
(x1
;у1
) и М2
(х2
;у2
) определяется по формуле:

Подставив в эту формулу координаты точек А и В имеем:

2. Уравнение прямой, проходящей через точки М1
(х1
;у1
) и М2
(х2
;у2
), имеет вид:

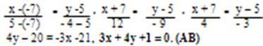
Подставив в формулу (2) координаты точек А и В, получим уравнение прямой АВ:

Для нахождения углового коэффициента kab
прямой АВ разрешим полученное уравнение относительно у:

Отсюда
kab
= - 3/4.
Подставив в формулу (2) координаты точек А и С, найдем уравнение прямой АС.

Для нахождения углового коэффициента kaс
прямой АС разрешим полученное уравнение относительно у:

Отсюда
kaс
= 1/2.
3. Угол α между двумя прямыми, угловые коэффициенты которых равны k1
и k2
, определяется по формуле:
Угол А, образованный прямыми АВ и АС, найдем по формуле (3), подставив в нее
k1
= kab
= -3/4, k2
= kac
= 1/2.

< А = arctg 2 = 1,11 рад.
4. Так как высота CD перпендикулярна стороне АВ, то угловые коэффициенты этих прямых обратны по величине и противоположны по знаку, т.е.

Уравнение прямой, проходящей через данную точку М1
(х1
;у1
) в заданном угловом коэффициенте k имеет вид:
у – у1
= k(х – х1
).(4)
Подставив в формулу (4) координаты точки С и kcd
= 4/3, получим уравнение высоты CD:
у – 10 = 4/3(х – 3) , у – 10 = 4/3х – 4 , 4х – 3у + 18 = 0. (CD)
Для нахождения длины CD определим координаты точки D, решив систему уравнений (АВ) и (СD):

Подставив в формулу (1) координаты точек C и D, находим:
 СD= √(-3 -3)2
+ (2 -10)2
= √36 + 64 = 10 .
5. Уравнение окружности радиуса R с центром в точке E(a;b) имеет вид:
(х – а)2
+ (у – b)2
= R2
(5)
Так как СD является диаметром искомой окружности, то ее центр Е есть середина отрезка CD. Воспользовавшись формулами деления отрезка пополам, получим:

Следовательно E(0;6) и R = CD/2 = 5. Используя формулу (5), получим уравнение искомой окружности:
(х – 0)2
+ (у – 6)2
= 25, х2
+ (у – 6)2
= 25.
6. Множество точек треугольника АВС есть пересечение трех полуплоскостей, первая из которых ограничена прямой АВ и содержит точку С, вторая прямая ВС и содержит точку А, а третья ограничена прямой АС и содержит точку В. Для получения неравенства, определяющего полуплоскость, ограниченную прямой АВ и содержащую точку С, подставим в уравнение прямой АВ координаты точки С:
3* 3+ 4*10 +1 = 50 > 0.
поэтому искомое неравенство имеет вид:
3х + 4у +1 ≥ 0.
Для составления неравенства, определяющего полуплоскость, ограниченную прямой ВС и содержащую точку А, найдем уравнение прямой ВС, подставив в формулу (2) координаты точек В и С:

Подставив в последнее уравнение координаты точки А, имеем:
7* (- 7) + 5 – 31 = - 75 < 0.
Искомое неравенство будет
7х + у – 31 ≤ 0.
Подобным образом составим неравенство, определяющее полуплоскость, ограниченную прямой АС и содержащую точку В:
5 – 2(- 4) + 17 = 30 > 0.
Третье искомое неравенство
х – 2у + 17 ≥ 0.
Итак, множество точек треугольника АВС определяется системой неравенств:

Задача №2
Даны векторы a1
, a2
, a3
, b . Показать, что векторы a1
, a2
, a3
образуют базис трехмерного пространства и найти координаты вектора b в этом базисе.
a1
(5;3;1) , а2
(-2;-1;2) , а3
(-2;1;4) , b(3;0;1)
Решение
1. Система векторов в пространстве Rn
линейно независима тогда и только тогда, когда отличен от нуля определитель, строками (столбцами) которого являются координаты векторов системы:

  Подставив в формулу (1) координаты векторов a1
, a2
, a3
найдем определитель:

Так как определитель не равен нулю, то данные три вектора являются линейно независимыми. Соответственно они образуют базис трехмерного пространства.
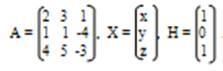
2. Вычислим координаты вектора b в новом базисе. А – матрица перехода.
b = А * bnew
Нам необходимо определить координаты bnew
.
bnew
= A-1
* b(2)
Для нахождения обратной матрицы применяется формула

Необходимо найти все элементы для составления обратной матрицы:
 
Подставляем полученные элементы в формулу (3) и найдем А-1
:

Подставив значения А-1
и вектора b в формулу (2), найдем координаты вектора b в новом базисе:

Задача №3
Систему уравнений записать в матричной форме и решить ее с помощью обратной матрицы:

Решение
Обозначим через матрицу А – матрицу коэффициенты при неизвестных; Х – матрицу-столбец неизвестных Х, У, Z;
H – матрицу-столбец свободных членов:

С учетом этих обозначений данная система уравнений принимает следующую матричную форму:
А*Х = Н(1)
Если матрица А – невырожденная (ее определитель Δ отличен от нуля), то она имеет обратную матрицу А-1
. Умножив обе части уравнения (1) на А-1
, получим:
А-1
* А * Х = А-1
* Н
Но А-1
* А = Е (Е- единичная матрица), а ЕХ = Х, поэтому
Х = А-1
* Н(2)
Равенство (2) называется матричной записью решения системы линейных уравнений. Для нахождения решения системы уравнений необходимо вычислить обратную матрицу А-1
.
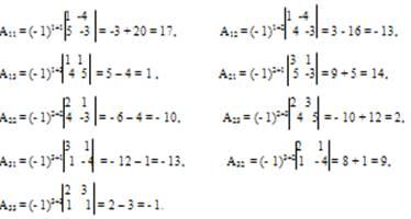
Пусть имеем невырожденную матрицу

где Аij
(i=1,2,3; j=1,2,3) – алгебраическое дополнение элемента аij
в определителе матрицы А, которое является произведением (- 1)ij
на минор (определитель) второго- порядка, полученный вычеркиванием i-строки и j-столбца в определителе матрицы А.
Вычислим определитель Δ и алгебраические дополнения Аij
элементов матрицы А.

Следовательно матрица А имеет обратную матрицу А-1
.

Тогда

По формуле (2) находим решение данной системы уравнений в матричной форме:

Отсюда
х = - 1; у = 1; z = 0.
Задача №4
Вычислить пределы.

Решение
а) Подстановка предельного значения аргумента х = 3 приводит к неопределенному выражению вида .
Для устранения этой неопределенности разложим числитель и знаменатель дроби на множители и сократим на множитель (х – 3). Такое сокращение здесь возможно, так как множитель (х – 3) отличен от нуля при х →3:

б) При х→∞ выражение дает неопределенность вида . Для устранения этой неопределенности применим правило Лопиталя. Для разыскания предела отношения двух функций, бесконечно больших при х→∞, можно рассматривать отношение их производных .Если оно стремится к пределу (конечному или бесконечному), то к тому же пределу стремится и отношение .

в) Обозначим arctg 3х = у. Тогда 3х = tg у и у→0 при х→0. Применяя свойства пределов и формулу первого замечательного предела lim sin α/ α = 1, имеем:
г)При х→∞ выражение является неопределенностью вида 1∞
. Для устранения этой неопределенности представим основание степени в виде суммы 1 и бесконечно малой при х→∞ величины и применим формулу второго замечательного предела:

Тогда имеем:

Пусть 3х – 1 = - у . Тогда 6х + 4 = - 2у + 6 и у→ -∞ при х→∞. Переходя к переменной у, получим:

Задача №5
Найти производные функций:

Решение
а) Последовательно применяя правило дифференцирования сложной функции, правила и формулы дифференцирования, имеем:

в) В данном случае функциональная зависимость задана в неявном виде. Для нахождения производной у′ нужно продифференцировать по переменной х обе части уравнения, считая при этом у функцией от х, а затем полученное уравнение разрешить относительно у′ .
3у2
у′ + еху
(у + ху′) = 0, 3у2
у′ + уеху
+ хеху
у′ = 0,
Из последующего уравнения находим у′:
у′ (3у2
+ хеху
) + уеху
= 0, 
Задача №6
Исследовать функцию методами дифференциального исчисления и построить ее график. Исследование функции рекомендуется проверить по следующей схеме:
1) найти область определения функции;
2) исследовать функцию на непрерывность;
3) определить, является ли данная функция четной, нечетной;
4) найти интервалы возрастания и убывания функции и точки ее экстремума;
5) найти интервалы выпуклости и вогнутости графика функции и точки перегиба;
6) найти асимптоты графика функции.
Решение
1. Функция определена при всех значениях аргумента х.
2. Данная функция является элементарной, поэтому она непрерывна на своей области определения, т.е. на интервале (- ∞; ∞).
3. Для установления четности и нечетности функции проверим выполнимость равенств f(- х) = f( х) (тогда f( х) – четная функция) или f(-x) = - f(х) (для нечетной функции) для любых х и – х из области определения функции:

Следовательно, f(-х) ≠ f(x) и f(-х) ≠ -f(х), то есть данная функция не является ни четной, ни нечетной.
4. Для исследования функции на экстремум найдем ее первую производную:

у′ = 0 при х1
= - 3, х2
= 3. Тем самым имеем две критические точки, обе принадлежать области определения функции.
Разобьем числовую ось на три интервала: (- ∞; - 3), (- 3; 3), (3; ∞).

В первом и третьем интервалах первая производная отрицательна, следовательно, здесь функция убывает, во втором интервале – положительна и данная функция возрастает. При переходе через точку х = -3 первая производная меняет свой знак с минуса на плюс, поэтому в этой точке функция имеет минимум:
уmin
= у(-3) = 0
Значит, А(-3;0) – точка минимума.
При переходе через точку х = 3 первая производная меняет свой знак с плюса на минус, поэтому в этой точке функция имеет максимум:
уmax
= у(3) = 2
Значит, В(3;2) – точка максимума.
На рис. 1 знаками +, - указаны интервалы знакопостоянства производной у′, а стрелками – возрастание и убывание исследуемой функции.
5. Для определения точек перегиба графика и интервалов выпуклости и вогнутости кривой найдем вторую производную:

 у′′ = 0 при х1
= 0, х2
= - 3√3 , х3
= 3√3.
Разобьем числовую ось на четыре интервалы: (-∞;-3√3), (-3√3 ;0), (0;3√3), (3√3 ; ∞).

рис.2
На первом, втором и четвертом интервалах вторая производная у′′ положительна и дуга исследуемой кривой вогнута; на третьем интервале у′′ отрицательна – дуга выпукла.
При переходе через точки х = 0 у′′ меняет свой знак, поэтому х= 0 – абсцисса точки перегиба.
Следовательно С(0;1) – точка перегиба графика функции.
При переходе через точку х = 3√3 у′′ меняет свой знак, поэтому х= 3√3 - абсцисса точки перегиба.
Следовательно – точка перегиба графика функции.
6. Так как точек разрыва у данной функции нет, соответственно вертикальной асимптоты она не имеет. Для определения уравнения наклонной асимптоты у=kx + b воспользуемся формулами:

Тогда


При вычислении пределов использовалось правило Лопиталя.
у=kx + b, у= 0*х + 1 = 1
Значит прямая у=1 есть горизонтальная асимптота графика исследуемой функции.

рис. 3
Задача №7
Найти неопределенные интегралы и результаты интегрирования проверить дифференцированием.

Решение
а) Применяя свойства неопределенного интеграла и формулы табличных интегралов имеем:

Задача №8
Вычислить объем тела, образованного вращением оси ОХ фигуры, ограниченной линиями ху=4; х=1; х=4; у=0. Сделать чертеж.
Решение

Объем тела, образованного вращением оси ОХ фигуры, ограниченной линиями определяется по формуле:

Подставим в формулу (1) у = 4/х, х1
= 1, х2
= 4, получим:
Ответ: объем тела вращения равен 12π
|