| Міністерство освіти і науки України
Сумський Державний Університет
Кафедра прикладної гідроаеромеханіки
КУРСОВА РОБОТА
на тему:
"Визначення енергоефективності енергоспоживаючих систем"
Суми 2009
Зміст
1. Розрахунок та визначення енергоефективності насосної системи
1.1 Завдання та вихідні дані
1.2 Розрахунок насосної системи
1.3 Вибір насосу та привідного електродвигуна
1.4 Розрахунок енергоефективності та розробка рекомендацій щодо її підвищення
1.5 Висновки
2. Розрахунок та визначення енергоефективності системи вентиляції
2.1 Завдання та вихідні дані
2.2 Розрахунок системи вентиляції
2.3 Вибір вентилятора та електродвигуна
2.4 Розрахунок енергоефективності та розробка рекомендацій щодо її підвищення
2.5 Висновки
3. Список використаних джерел
1 РОЗРАХУНОК ТА ВИЗНАЧЕННЯ ЕНЕРГОЕФЕКТИВНОСТІ НАСОСНОЇ СИСТЕМИ
1.1 Завдання та вихідні данні
Зробити розрахунок трубопровідної мережі ( Рис.1) і підібрати насосний агрегат 1 для подачі рідини в виробничих умовах з резервуару 2 в бак 8, розташований на висоті Нг
над віссю насоса. Величини абсолютних тисків на вільних поверхнях рідини резервуара і бака рівні відповідно РР
та РБ
. На всмоктуючій лінії - дискова засувка 4 і зворотний клапан 7. У системі можлива установка витратомірної шайби (діафрагми) 5, або охолоджувача 6.

Рисунок 1 – Схема трубопроводної мережі.
Величину витрати Q (м3
/с), висоту Нг
(м) підйому рідини і довжини L2
(м) нагнітального трубопроводу слід прийняти
; НГ
=30(0,2+0,01n); L2
=10+0.3n,
де n =36 - число з двох останніх цифр номера залікової книжки студента.
м3
/с;

Діаметри труб в межах всмоктуючої і нагнітальної ділянок вважати постійними, кути відведень прийняти рівними 900
. Довжину всмоктуючої ділянки трубопроводу вважати рівною 0,2 L2
= .
Таблиця 1 - Вихідні данні
| Величина
|
Одиниці вимірювання
|
Значення
|
| Рідина
|
-
|
Вода
|
| Температура рідини, tж
|
0
C
|
60
|
| Тиск : в баці РБ
в резервуарі РР
|
МПа
|
0,14
0,08
|
| Висоти: hг
hб
hp
|
м
|
1,4
0,7
1,3
|
| Кути колін
|
град
|
25, 50
|
| Відношення відводів R/d
|
-
|
2
|
| Ступінь відкриття засувки h/d
|
-
|
0,5
|
| Відношення площ діафрагми s0
/s
|
-
|
0,8
|
| Коефіцієнт опору охолоджувача
|
-
|
3
|
| Матеріал та стан труб
|
-
|
Стальні заржавілі
|
| Призначення трубопроводів
|
-
|
Для рідких хімічних продуктів
|
1.2 Розрахунок насосної системи
Проаналізувавши задану схему, виділяємо дві характерні ділянки мережі, т.б. і=2.
З табл.Б.3 обираємо допустимі значення Vi
=(3,0…5,0) величини швидкостей в технічних трубопроводах та заздалегідь визначаємо діаметри di
труб для ділянок системи:
,
де і – номер ділянки;
- витрата рідини на відповідній ділянці, м3
/с ;
.
- діаметр трубопроводу на першій ділянці;
- діаметр трубопроводу на другій ділянці.
Отриманні розрахунковим шляхом величини d1
та d2
внутрішніх діаметрів трубопроводів округлюємо до ближніх стандартних значень, т.б. d1
= 50мм та d2
= 40мм. Таким чином уточнюємо величини істинних швидкостей течії рідини в трубах:

- швидкість течії рідини в трубі першої ділянки;
- швидкість течії рідини в трубі другої ділянки.
Сумарні втрати на всіх ділянках системи визначають з обліком режиму руху рідини, матеріалів і стани поверхонь труб, характеру місцевих опорів.
Втрати напору на окремих ділянках при русі рідини по трубах
,
де hi
– втрати напору,м;
к - номер місцевого опору;
m – загальна на і-й ділянці кількість місцевих опорів, коефіцієнти котрих ;
g = 9,81 м/с2 –
прискорення вільного падіння.
Коефіцієнти втрат на тертя можна визначати по графіках ВТІ. Для цього необхідно знайти значення числа Рейнольда та шорсткість труб. Також, значення кінематичних коефіцієнтів в'язкості вибираємо по довідниках, ( ).

- число Рейнольда для потоку на 1й ділянці;
- число Рейнольда для потоку на 2й ділянці.
З табл.Б.4 визначаємо значення абсолютної шорсткості для двох труб
; .
Таким чином з графіків ВТІ визначаємо коефіцієнти втрати на тертя на першій та другій ділянках відповідно .
Вибір коефіцієнтів місцевих опорів робимо з табл.Б.6.
Втрати напору на всмоктуючій (і=1) ділянці будуть відбуватись по довжині трубопроводу L1
та у місцевих опорах:
- ξвс
=10,8-опір клапану з захисною сіткою на всмоктуючому трубопроводі ;
- ξкол(
α
)
=0,16 – опір коліна α=25°;
.
На нагнітаючій ділянці (і=2) втрати напору будуть відбуватись по довжині трубопроводу L2
та на місцевих опорах:
- опір у засувці 
- опір у діафрагмі при s0
/s=0,8 =0,45;
- опір у клапані d=50мм 
- опір в охолоджувачі 
- опір при вході у бак 
- опір коліна ;
- опір відводів ξвідв
=0,20.
.
Визначимо сумарний опір обох ділянок трубопроводу:
h = ;
h = 8,24 + 62,70 = 70,94 м.
Необхідний напір Н насосу:
,
де Н0
– різниця рівнів вільних поверхонь рідини в баці та резервуарі,м;
γ – питома вага рідини, Н/м3
РБ
та РР
– тиск в баці та резервуарі, Н/м2
.
H0
= hг
- hр
+hб
+Hг
;
H0
= 1,4-1,3+0,7+14,4=15,2 м;

1.3 Вибір насосу та приводного двигуна
Таблиця 2 – Параметри мережі при різних значеннях Q.
| Q, м/с
|
V1
,
м/с
|
V2
,
м/с
|
Re1
|
Re2
|
λ1
,
|
λ2
,
|
h1
,
м
|
h2
,
м
|
Q, м/год
|
H,
М
|
| 0
|
0
|
0
|
0
|
0
|
0
|
0
|
0
|
0
|
0
|
0
|
| 0,017
|
0,85
|
1,33
|
77243
|
96554
|
0,039
|
0,042
|
0,51
|
3,91
|
6
|
25,8
|
| 0,0033
|
1,70
|
2,66
|
154487
|
193109
|
0,039
|
0,042
|
2,05
|
15,65
|
12
|
39
|
| 0,0050
|
2,55
|
3,98
|
231731
|
289664
|
0,039
|
0,042
|
4,61
|
35,22
|
18
|
61,2
|
| 0,0067
|
3,40
|
5,31
|
308975
|
386218
|
0,039
|
0,042
|
8,20
|
62,61
|
24
|
92,2
|
| 0,0083
|
4,25
|
6,64
|
386218
|
482773
|
0,039
|
0,042
|
12,8
|
97,82
|
30
|
132
|
За даними каталогів підбираємо насос та приводний електричний двигун, які б працювали у номінальному діапазоні відповідно до розрахованих величин.
За параметрами Q=24м/год, Н=92,2м підбираємо насосний агрегат
Wilo-Multivert MVI-3206 Version PN16, який може забезпечити максимальну подачу Q=42м/год, та напір Н=115м, з двигуном номінальною потужністю P=11 кВт [2].
Будуємо графік напірних характеристик мережі та насосу для визначення оптимальних зон роботи насосу в дану мережу, з якого робимо висновки щодо енергоефективності та підраховуємо втрати.
1.4 Розрахунок енергоефективності та розробка рекомендацій щодо її підвищення
1.4.1 Втрати потужності, пов’язані з використанням прийнятого насосу, при його регулюванні засувкою при напірному трубопроводі, кВт:
,
де - різниця між напором, що розвивається насосом та потрібним напором, м;
Q – потрібна подача насосу, м3
/с;
- густина води при 600
С, кг/ м3
[3].

1.4.2 Втрати потужності, виражені в грошовому еквіваленті:
,
де Т – розрахунковий час роботи насосу, ,(Т= 3000 год);
С – вартість 1кВт електроенергії (С=0,70грн).

1.4.3 Визначення кількості енергії, що втрачається внаслідок роботи насосного агрегату на нерозрахунковому режимі (режимі з неоптимальним ККД) в грошовому еквіваленті проводиться за формулою:
,
де - оптимальний ККД насосу;
- ККД, з яким працює насос в мережі.

Сумарні втрати:
.
1.4.4 Частота обертання валу насосу, що забезпечить потрібний напір, при застосуванні частотного способу регулювання:
.
.
1.4.5 Введемо та розрахуємо коефіцієнт втрат електроенергії:


- кількість електроенергії, у грошовому еквіваленті, яку спожив насосний агрегат за розрахунковий період.
.
Втрати електроенергії складають 6%. Порівняно невеликі, але все одно актуальне питання щодо підвищення енергоефективності насосної системи.
Можливим шляхом вирішення даної задачі можуть бути наступні дії:
· Поліпшення конструкції системи шляхом збільшення діаметрів трубопроводів з метою зниження їх гідравлічного опору;
· По можливості, максимально зменшити кількість місцевих опорів;
· Вдосконалення способів регулювання роботи насоса;
· При завищеній продуктивності насосної системи , необхідно змінити передавальне число ремінної, або іншої передачі;
· Зменшення кавітації.
1.5. ВИСНОВКИ
Проведено розрахунок трубопровідної мережі, на задані параметри.
По результатам розрахунку побудовано графічну характеристику мережі, у відповідності до якої був підібрано відцентровий насосний агрегат марки Wilo-Multivert MVI-3206 Version PN16, який забезпечить максимальну подачу Q=42м/год, та напір Н=115м, з двигуном номінальною потужністю P=11 кВт [2].
Насосний агрегат відповідає умовам розрахунків та оптимально працює у "робочій точці" системи.
Для даного насосного агрегату розраховано його енергоефективність. Виявилось, що при регулюванні напору насосу засувкою сумарні втрати складають 1419 грн. за розрахунковий період експлуатації насосного агрегату. Вартість частотного регулятору набагато більша,а тому, спосіб регулювання напору засувкою є доцільнішим.
2 РОЗРАХУНОК ТА ВИЗНАЧЕННЯ ЕНЕРГОЕФЕКТИВНОСТІ СИСТЕМИ ВЕНТИЛЯЦІЇ
2.1 Завдання та вихідні дані
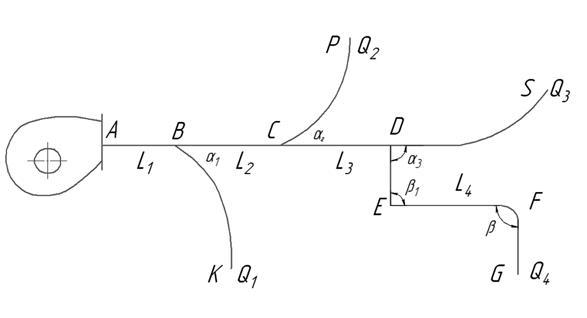
Необхідно виконати розрахунок повітропроводів, підібрати вентилятор і електродвигун для промислової вентиляційної системи, схема якої приведена на Рис. 2.

Рис.2 - Схема мережі повітропроводу.
Таблиця 1 - Вихідні дані
| Величина
|
Одиниці вимірювання
|
Значення
|
| Температура повітря, що перекачується
|
°С
|
15
|
| Відносна вологість повітря
|
%
|
60
|
| Значення кута α:
α 1
трійника В
α 2
трійника С
α 3
трійника D
|
град
|
45
60
35
|
| Коліно Е (значенне кута β1
)
|
120
|
| Відвід F (значенне кута β2
)
|
120
|
| Відношення R/d
|
7
|
| Стан поверхні труб
|
|
забруднені металеві
|
2.2 Розрахунок системи вентиляції
Витрата повітря Qi
и Li
довжини вказаних на схемі ділянок повітропроводів приймаються:
Li
=(1+i)·L0
(м),
де = 0,05·(1+0,3n); L0
=10·(1+0,2n).
Тут n = 28, i=1…4 – номери ділянок даної схеми. Підставив значення в рівняння (1), отримаємо:
Q0
= 0,05·(1+0,3·28)=0,47 м3
/с; L0
=10·(1+0,2·28)=66 м.
Q1
= 1·0,47=0,47 м3
/с L1
= (1+1)·66 = 132 м;
Q2
= 2·0,47=0,94 м3
/с L2
= (1+2)·66 = 198 м;
Q3
= 3·0,47=1,41 м3
/с L3
= (1+3)·66 = 264 м;
Q4
= 4·0,47=1,88 м3
/с L4
= (1+4)·66 = 330 м.
Повітропроводами по всій мережі вважаємо круглі стальні труби, місцеві опори – трійники вузлів В, С і D, а також коліна Е и F.
2. В якості магістралі вибираємо найбільш протяжну ділянку мережі, інші ділянки вважаємо відгалуженнями. Для приведеної на рис.2 схеми магістраллю можна вважати ділянку ABCDEF, ділянки BK, CP, DS – відгалуженнями.
3. Розрахунок ведеться по нормальним умовам повітря при абсолютному тиску ра
= 0,102 МПа (В0
=760 мм рт. ст.), температурі t0
= 20 °С (T0
= 293 К) і відносній вологості φ0
= 50%.
При цих параметрах густина повітря ρ0
= 1,197 кг·м-3
, питома вага γ0
= 11,77 Н·м-3
та газова стала R0
= 29,3 м·°С-1
.
4. Загальна кількість необхідного повітря знаходиться за формулою:
Q = ,
де i – номери ділянок відгалужень повітровода.
Q = Q1
+Q2
+Q3
+Q4
= 0,47+0,94 +1,41+1,88 = 4,7 м3
/с.
Розбиваємо схему мережі на ділянки з характерними витратами Qк
.
Номери к присвоємо ділянкам в наступному порядку:
к=1 (участок АВ), к=2 (ВС), к=3 (СD), к=4 (DEFG), к=5 (ВК), к=6 (СР), к=7 (DS).
5. Виходячи з величин витрати Qк
повітря по ділянкам і значень υк
допустимих швидкостей руху газу в трубах, діаметри dк
повітроводів:
,
де к = 1…7 для даної схеми.
Величини допустимих швидкостей руху газу в трубах треба приймати виходячи з призначення й умов експлуатації вентиляційної установки. Зазвичай ці значення лежать в υк
= 5 – 25 м·с-1
.
В даному розрахунку для ділянок магістралі (к = 1…4) можна вважати
υк
= 12 м·с-1
, а для відгалужень (к = 5…7) υк
= 6 м·с-1
.
Розрахункові значення діаметрів повітроводів округляємо до найближчих стандартних Таблиця Б.3.

d2
= 
d3
= 
d4
= 
d5
= 
d6
= 
d7
= 
Так як, прийняті діаметри труби відрізняються від розрахункових, то необхідно уточнити істинні значення швидкостей газу в трубах.





Всі розраховані значення заносимо до таблиці 2.
Таблиця 2 – Розраховані параметри
| Значен-
ня к
|
Ділянка
|
Витрата газу на ділянці Qк
,
м3
/с
|
Діаметр труби , м
|
Істине значення швидкості руху газу
υк
, м·с-1
|
| розрахований
|
прийнятий
|
| 1
2
3
4
5
6
7
|
AB
BC
CD
DEFG
BK
CP
DS
|
4,7
4,23
3,29
11,83
5,67
5,91
1,41
|
0,710
0,670
0,560
0,447
0,320
0,447
0,547
|
0,710
0,710
0,560
0,450
0,325
0,450
0,560
|
11,88
10,69
13,36
11,83
5,67
5,91
5,73
|
6. Динамічний напор РД
газу на виході з магістралі (в точці G) находять по формулі:
.
Вважаючи довжини ділянок BK, CP, DS відгалужень значно меншими за протяжність магістралі, втрати напору по довжині повітроводу будуть дорівнювати:
(1)
Коефіціент втрат на тертя:
(2)
де – число Рейнольдса, – абсолютна еквівалентна шорсткість поверхні повітровода із листової сталі, яка для забруднених металічних труб дорівнює 1·10-4 м (
див. табл. Б.4); q – поправочний коефіцієнт втрат тиску на тертя з > 0,1 мм (при швидкості υ = 12 м·с-1
для значень = 0,1-1 мм величини q=1-1,6, причому більшій шорсткості відповідає більше значення коефіцієнта q). Кінематичний коефіцієнт в’язкості повітря ν = 1,5·10-5
м2
/с.
Підставивши всі значения в рівняння (1) і (2) отримаємо:











235,56+288+795,7+1031,92= 2351,18 Па.
Отримані результати зводимо до таблиці 3.
Таблиця 3 – Розрахунок втрат тиску на тертя
| Значення i
|
Ділянка
|
Діаметр
, м
|
Довжина
Li
, м
|
Швидкість
υi
,м·с-1
|
Коефіці-
єнт 
|
Втрати тиску
Рi
, Н·м-2
|
| 1
|
AB
|
0,71
|
132
|
11,88
|
0,0150
|
235,56
|
| 2
|
BC
|
0,71
|
198
|
10,69
|
0,0151
|
288
|
| 3
|
CD
|
0,56
|
264
|
13,36
|
0,0158
|
795,7
|
| 4
|
DEFG
|
0,45
|
330
|
11,83
|
0,0168
|
1031,92
|
| На магістралі
|
=2351,18
|
З врахуванням характеру місцевих опорів тиску газу втрати тиску РМ
будуть дорівнювати:
, (4)
де m, ξm
– номер і коефіцієнт місцевого опору;
j – кількість місцевих опорів у мережі.
Знайдемо значення коефіцієнтів місцевих опорів (див. дод. В.1-В.3 [1]):
- трійник В при α =450

- трійник С, α =600

- трійник D, α =350

- коліно E, при β1
=1200

- відвід F,R/d=7 
Підставимо значення у рівняння (4), отримаємо значення втрат тиску газу на місцевих опорах:






Таблиця 4 - Розрахунок втрат тиску на місцевих опорах
| Значення
m
|
Вид місцевого опору
|
Коефіцієнт
ξm
|
Втрати тиску
Pm
, Н·м-2
|
| 1
|
Трійник B
|
0,6
|
50,68
|
| 2
|
Трійник C
|
1,3
|
88,91
|
| 3
|
Трійник D
|
0,42
|
44,87
|
| 4
|
Коліно E
|
0,72
|
60,31
|
| 5
|
Відвод F
|
0,07
|
5,86
|
| На магістралі
|
= 250,63
|
7. Необхідний напір вентилятора з врахуванням динамічного напору і втрат тиску по магістралі дорівнює:
Р = РД
+ РДА
+ РМ
= 83,76+2351,18+250,63= 2685,57 Па.
8. З врахуванням можливих (неуточнених розрахунком) втрат тиску в системі, вводять гарантійні запаси в робочих параметрах вентилятора. Оскільки данні каталогів (таблиці і графіки) частіше всього відносяться до нормальних умов, то вибір по каталогу вентиляторів загального призначення
варто вести на витрату
Qк
= 1,05∙Q = 1,05∙4,7= 4,94 м3
/с (17784 м3
/год), і тиск Рк
= 1,1∙∆ Р,
де ∆ – поправочний коефіціент, який враховує відхилення густини повітря при заданих температурі, тиску і вологості від густини повітря за нормальних умов. Поправочний коефіціент:
,
де ρ0
, P0
, t0
, R0
– параметри повітря, що відповідають нормальним атмосферним умовам, а ρ, P, t, R – параметри фактичних умов.
.
Рк
= 1,1∙0,98∙2685,57 = 2895 Па.
2.3 Вибір вентилятора та електродвигуна
За отриманими параметрами Qк
= 4,94 м3
/с (17784 м3
/год), Рк
=2895 Па з каталогу вентиляторів середнього тиску вибираємо вентилятор з наступними параметрами:
| Типорозмір
|
Електродвигун
|
Частота обертання робочого колесу, об/хв
|
Параметри в робочій зоні
|
Маса, кг
|
| ВЦ 14-46-5К1
|
Типорозмір
|
Потужність, кВт
|
1460
|
Q, 103
м3
/год
|
P
|
278
|
| АИР 180М4
|
30
|
16,0-18,7
|
2660-2905
|
Вентилятор ВЦ 14-46-5К1 призначений для систем вентиляції, повітряного опалення та інших промислових та санітарно-технічних цілей та служить для переміщення повітря та інших газових сумішей при температурі від -40°С до +40°С, які не мають в собі липких речовин, абразивного пилу та волокнистих матеріалів. Вентилятори виготовляються з вуглецевої сталі, для переміщення повітря та інших вибухобезпечних сумішей, агресивність яких по відношенню до вуглецевої сталі не вище агресивного повітря – через корозійно-стійку сталь, для переміщення повітря, забрудненого домішками агресивних вибухобезпечних газових сумішей.
2.4 Розрахунок енергоефективності та розробка рекомендацій щодо її підвищення
Ефективність роботи вентилятора характеризується величиною ККД. Цей параметр залежить від конкретних умов роботи вентилятора, його продуктивності й вибирається за характеристиками, що задані заводом - виробником.
Потужність, що затрачується на виконання корисної роботи – Раер
=2895 Н/м2
( розрахункове значення напору вентилятора).
Необхідна механічна потужність, що забезпечує обертання вала вентилятора Рмех
=2905Н/м2
( значення напору вибраного вентилятора).
Значення ККД вентилятора:

Підібраний вентилятор у повітропровідній мережі працює за оптимальним режимом ,тобто, система працює дуже ефективно. Але для забезпечення подальшої безперебійної та ефективної роботи агрегату необхідно виконувати наступні умови та втілювати такі заходи:
· Слідкувати за зменшенням витоків з вентиляційних повітропроводів, тим самим, зменшаться втрати і навантаження на вентиляторі.
· Узгоджувати існуючу продуктивності вентиляторів з фактичним навантаженням.
· Провести автоматизацію керування продуктивністю, яке залежить від часу доби;
· Провести автоматизацію керування вентиляційними системами з урахуванням температури зовнішнього повітря;
· А також головним чином необхідне якісне і систематичне обслуговування вентиляційної системи.
2.5 ВИСНОВКИ
Проведено розрахунок повітропровідної мережі, на задані параметри ( див. умову ).
По результатам розрахунку напору вентилятора підібрано вентилятор марки ВЦ 14-46-5К1з подачею 16,0-18,7 м3
/год, з тиском 2890-2905 Н/м2
, масою 278 кг. В комплектації електродвигун типорозміром АИР180М4, потужністю 30 кВт, частотою обертання ротора 1460 об/хв. Розрахований ККД вентилятора складає 99%, а це значить, що вентилятор працює на дану повітропровідну мережу дуже ефективно.
3. СПИСОК ВИКОРИСТАНИХ ДЖЕРЕЛ
1. Методические указание и задания к курсовой по дисциплине "Гидравлика и гидропневмоприводы"для студентов специальности 7.090209 – "Гидравлические и пневматические машины" всех форм обучения. Составитель: д.т.н., проф. Н.И. Волков.
2. http://www.wilo.ru/cps/p/productsDownloads/00097974_0.pdf.
3. Краснощеков Е. А. и Сукомел А. С. Задачник по теплопередаче: Учеб. Пособие для вузов. – 4-е изд., перераб. – М.: Энергия, 1980. – 288 с., ил.
|