Банк рефератов содержит более 364 тысяч рефератов, курсовых и дипломных работ, шпаргалок и докладов по различным дисциплинам: истории, психологии, экономике, менеджменту, философии, праву, экологии. А также изложения, сочинения по литературе, отчеты по практике, топики по английскому.
Полнотекстовый поиск
Всего работ:
364139
Теги названий
Разделы
Авиация и космонавтика (304)
Административное право (123)
Арбитражный процесс (23)
Архитектура (113)
Астрология (4)
Астрономия (4814)
Банковское дело (5227)
Безопасность жизнедеятельности (2616)
Биографии (3423)
Биология (4214)
Биология и химия (1518)
Биржевое дело (68)
Ботаника и сельское хоз-во (2836)
Бухгалтерский учет и аудит (8269)
Валютные отношения (50)
Ветеринария (50)
Военная кафедра (762)
ГДЗ (2)
География (5275)
Геодезия (30)
Геология (1222)
Геополитика (43)
Государство и право (20403)
Гражданское право и процесс (465)
Делопроизводство (19)
Деньги и кредит (108)
ЕГЭ (173)
Естествознание (96)
Журналистика (899)
ЗНО (54)
Зоология (34)
Издательское дело и полиграфия (476)
Инвестиции (106)
Иностранный язык (62791)
Информатика (3562)
Информатика, программирование (6444)
Исторические личности (2165)
История (21319)
История техники (766)
Кибернетика (64)
Коммуникации и связь (3145)
Компьютерные науки (60)
Косметология (17)
Краеведение и этнография (588)
Краткое содержание произведений (1000)
Криминалистика (106)
Криминология (48)
Криптология (3)
Кулинария (1167)
Культура и искусство (8485)
Культурология (537)
Литература : зарубежная (2044)
Литература и русский язык (11657)
Логика (532)
Логистика (21)
Маркетинг (7985)
Математика (3721)
Медицина, здоровье (10549)
Медицинские науки (88)
Международное публичное право (58)
Международное частное право (36)
Международные отношения (2257)
Менеджмент (12491)
Металлургия (91)
Москвоведение (797)
Музыка (1338)
Муниципальное право (24)
Налоги, налогообложение (214)
Наука и техника (1141)
Начертательная геометрия (3)
Оккультизм и уфология (8)
Остальные рефераты (21692)
Педагогика (7850)
Политология (3801)
Право (682)
Право, юриспруденция (2881)
Предпринимательство (475)
Прикладные науки (1)
Промышленность, производство (7100)
Психология (8692)
психология, педагогика (4121)
Радиоэлектроника (443)
Реклама (952)
Религия и мифология (2967)
Риторика (23)
Сексология (748)
Социология (4876)
Статистика (95)
Страхование (107)
Строительные науки (7)
Строительство (2004)
Схемотехника (15)
Таможенная система (663)
Теория государства и права (240)
Теория организации (39)
Теплотехника (25)
Технология (624)
Товароведение (16)
Транспорт (2652)
Трудовое право (136)
Туризм (90)
Уголовное право и процесс (406)
Управление (95)
Управленческие науки (24)
Физика (3462)
Физкультура и спорт (4482)
Философия (7216)
Финансовые науки (4592)
Финансы (5386)
Фотография (3)
Химия (2244)
Хозяйственное право (23)
Цифровые устройства (29)
Экологическое право (35)
Экология (4517)
Экономика (20644)
Экономико-математическое моделирование (666)
Экономическая география (119)
Экономическая теория (2573)
Этика (889)
Юриспруденция (288)
Языковедение (148)
Языкознание, филология (1140)

Реферат: Атомы света

Название: Атомы света
Раздел: Рефераты по физике
Тип: реферат Добавлен 12:15:02 24 сентября 2009 Похожие работы
Просмотров: 91 Комментариев: 21 Оценило: 3 человек Средний балл: 5 Оценка: неизвестно     Скачать

Реферат

по физике

на тему:

«Атомы света»

2009


Основные противоречия теории излучения

Электромагнитная теория света, казалось, дает исчерпывающее описание свойств лучистой энергии. Она устранила вопрос о направлении колебаний в поляризованном луче света, направив, согласно Френелю, электрическую силу перпендикулярно к плоскости поляризации, а магнитную, согласно Нейману, – в плоскости поляризации. Оптические свойства и константы различных тел получили объяснение через их электрические свойства. Наконец, световое давление, обнаруженное и измеренное на опыте П.Н. Лебедевым, явилось новым блестящим подтверждением теории Максвелла. При помощи этого давления были выведены и два основных закона теплового «черного излучения» – закон Стефана-Больцмана и закон смещения Вина.

Однако учение о свете встретилось здесь с первым крупным противоречием. Основной задачей в этой области является вопрос о распределении энергии в спектре абсолютно черного тела. Простейший путь для решения этого вопроса был указан Рэлеем и разработан Джинсом. Исходя из того положения, что в состоянии полного теплового равновесия энергия распределяется поровну между всеми степенями свободы, Джине подсчитал число степеней свободы для прямоугольного параллелепипеда. Оно определяется числом гармонических собственных колебаний данного пространства. Затем в это пространство помещается некоторое число газовых молекул, средняя кинетическая энергия которых пропорциональна, как известно, абсолютной температуре. Приписывая теперь каждой степени свободы эфира ту же среднюю энергию, как и молекуле газа, мы получаем определенный закон распределения энергии, который, однако, самым резким образом противоречит всем данным опыта. И, не производя вычислений, легко видеть, что при таком подсчете число собственных колебаний, обладающих длиной волны, большей данной величины, будет конечным, тогда как число колебаний с более короткой волной будет бесконечно велико. Таким образом, вся энергия перейдет к бесконечно коротким волнам, а на каждую степень свободы придется бесконечно малая энергия, т.е. в равновесном состоянии вся энергия из молекул газа перейдет в эфир и притом непрерывно будет переходить ко все более коротким волнам, другими словами, теплового равновесия не существует. Практически это значит, что энергия замкнутой системы будет постепенно переходить в лучистую все большей частоты – система сама собой пройдет все степени накапливания и наконец даст чисто ультрафиолетовый спектр.

К той же неверной формуле Джинса пришел и Лоренц, но другим, чисто физическим путем, рассматривая излучение как сумму электромагнитных импульсов, испускаемых электронами при изменении скорости их движения в металле в момент столкновения с молекулами. Вычислив энергию, испускаемую и поглощаемую пластинкой металла, и разделив первую на вторую, Лоренц получил для излучения черного тела формулу Джинса. Однако при выводе формулы Лоренц ограничился рас смотрением лишь тех случаев, когда свободный путь элей-тронов велик по сравнению с теми частями, где скорости быстро меняются. Таким образом, формула Лоренца выведена лишь для больших длин волн, где она действительно оправдывается. Для более коротких волн вывод Лоренца может быть несколько изменен, но нельзя пока показать, что он и здесь даст согласие с опытом.

С другой стороны, опытным путем вопрос о распределении энергии в спектре черного тела изучен с большой точностью. На рис. 1 кривая / соответствует формуле Джинса для заданной температуры То, а кривая – опытной кривой; причем по оси абсцисс нанесены числа колебаний света н, а по оси ординат – энергия в одном кубическом сантиметре эфира, «соответствующая» числу колебаний, т.е. отношение между плотностью энергии данного промежутка между н и v + dvи величиной этого промежутка dv:

Появление атомов излучения

М. Планку, исходя из тех же основных представлений, а именно: из соединения электромагнитной теории со статистическими соображениями, основанными на теории вероятностей, удалось прийти к формуле, находящейся в полном согласии с самыми точными измерениями. Как показал П.С. Эренфест, вывод Планка основан на следующем совершенно новом и неожиданном предположении: «Лучистая энергия может излучаться или поглощаться отдельным резонатором лишь целыми порциями, величина которых пропорциональна числу колебаний данного резонатора; причем коэффициент пропорциональности hесть универсальная постоянная, равная в абсолютной системе единиц 6.55 · 10-27 эрг-с». Если в формуле Планка положить h = 0, то мы снова получим формулу Джинса. Таким образом, и самое существование максимума в кривой // , и его положение тесно связаны с величиной h.

Теория Планка и в настоящее время, через 10 лет после ее появления, является единственной, согласной с данными опыта. Более того, П.С. Эренфест показал, что, рассматривая вопрос о черном излучении как статистическую задачу о наивероятнейшем распределении энергии между всеми числами колебаний н, мы из данных опытных измерений с неизбежностью приходим к утверждению, что в процессе перераспределения энергии могут появляться и исчезать только целые кратные числа Лн, только они обладают конечной вероятностью. Все же промежуточные значения обладают вероятностью, равной нулю. Недостаточно, оказывается, принять, что эти значения более вероятны, чем другие; приходится допустить, что все другие невозможны. Такой результат противоречил бы самой теории вероятности, если бы в основе его не лежало новое, неизвестное прежде свойство лучистой энергии или же того механизма, который создает излучение. Каково же содержание и смысл этого нового свойства? Мы встретились с ним как с атомами лучистой энергии, которые, однако, существенно отличаются от всех известных нам атомов (материи и электричества) уже тем, что величина их есть непрерывная функция числа колебаний и может быть, например, изменена при встрече лучистой энергии с движущимся зеркалом.

Кроме того, атомы энергии относятся исключительно к строго монохроматическому свету, тогда как процесс излучения мы представляем себе часто как неправильные электромагнитные импульсы, разлагаемые в гармонические колебания решеткой или призмой. Естественно, однако, что тот путь, который привел нас к «атомам энергии», не мог выяснить их природы, так как мы исходили из суммарного теплового черного излучения, рассматривая его для удобства анализа как сумму монохроматических колебаний.

Некоторые аналогии

Внутренний смысл этого чрезвычайно сложного вопроса может быть, однако, значительно упрощен более конкретными аналогиями с кинетической теорией газов. Такие аналогии можно строить двумя путями.

1. Обычно различные числа колебаний сравнивают с различными газами; установлению температурного равновесия соответствует процесс диффузии газов; очевидно, тогда на одну молекулу любого газа приходится в среднем одинаковая энергия, и мы неизбежно приходим к формуле Джинса. Формула Планка получится, если предположить, что каждая молекула данного газа (отвечающего определенному числу колебаний н) может воспринимать энергию лишь в количествах, кратных Лн,т.е.-введем действительно совершенно новую гипотезу, не имеющую никакой аналогии с кинетической энергией газов.

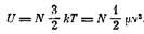
2. Можно, однако, провести аналогию с газом и в другом направлении: числа колебаний н можно считать аналогичными температуре газа Т. Подобно тому, как энергию газа Uмы выражаем произведением числа молекул на абсолютную температуру и на универсальный множитель (3/2) к:

и энергию излучения можно представить произведением среднего числа колебаний н на некоторую величину Р, которую можно также разбить на два множителя N ш h, где h– также универсальная постояппая; U = Nht. Замечательно, что при всяком механическом воздействии на лучистую энергию число N не изменяется, как не изменяется и число атомов газа. Атомы излучения hв этом представлении аналогичны атомам материи м или заряду электрона е, тогда как числу колебаний н соответствует (1/2)н2 или потенциал V. Энергия одного атома в этих трех случаях равна:. Атомы излучения все

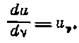
равны между собою и не зависят от н, следовательно, могут существовать и для неоднородного света, причем энергия одного атома выразится произведением hна число представляющее некоторую среднюю величину, образуемую разложением в ряд Фурье и определяющую «потенциал» излучения. Такое понимание подтверждается обоснованным предположением того, что число колебаний н или, более общее, н играет гу же роль для света, какую квадрат скорости пграет для газовых частип или потен циал – для электронов.

Если такая аналогия соответствует действительности, то вопрос о распределении энергии и изложенные следствия его получают чрезвычайно простое истолкование: это распределение аналогично распределению тепловой энергии по скоростям газовых частиц. Можно представить ребе прибор, аналогичный дифракционной решетке. Положим, имеется небольшой объем, заполненный газом. В определенный момент стенки его удаляются, тогда молекулы удаляются в пространство, двигаясь по инерции. Через некоторое время tмы создаем ряд перегородок на различных расстояниях г от первоначального положения газа. Внутри каждой перегородки останутся те частицы, которые обладали скоростями, таким образом, мы получили «спектр» газа по скоростям. Если бы по оси абсцисс нанести н2 ,а по оси ординат – общую энергию тех частиц, которые этой скоростью обладали, то мы получили бы кривую, сходную с кривой II, выражающей соответственную зависимость для газа. Количественного совпадения не будет, если мы примем только один род молекул в газе – простые атомы; если же мы допустим и возможность ассоциации их, т.е. примем возможность появления двухатомных, трехатомных и т.д. молекул, то придем и к полному количественному совпадению с формулой Планка, а следовательно, и с опытом. Чем меньше мы возьмем атомный вес м, тем меньшей энергией будет обладать молекула при заданной скорости г;, тем больше будет средняя скорость газовых частиц при данной температуре. Максимум в кривой II будет перемещаться в сторону больших скоростей. При м=0 мы пришли бы к кривой 7, выражающей закон Джинса. Если бы, следовательно, описанный идеальный опыт дал бы нам для газа кривую II вместо ожидаемой I, то мы заключили бы, что атомы газа конечны, и вычислили бы атомный вес газа из положения максимума. Точно так же из формы кривой II для черного излучения мы заключаем о конечной величине атомов излучения h, а по максимуму определяем h= 6.55 · 10»27 эрг · с.

Каким же образом появились, однако, атомы энергии, о которых нет речи в кинетической теории газов? Они возникают лишь при первой аналогии, вторая же аналогия объясняет их появление неправильной постановкой вопроса: энергия молекулы изменяется непрерывно, но если мы поинтересуемся энергией молекулы, обладающей данной скоростьюн,то она, очевидно, может быть только илимн2 ,илимн2 ,илимн2 и т.д. в зависимости от числа атомов в молекулах, но не может принимать промежуточных значений. Таким образом, хотя все скорости для данной молекулы равновозможны, но энергия молекулы данной скорости есть всегда целое кратное мн2 .Итак, те же логические затруднения существо-

вали бы и для кинетической теории газа, если бы в ней с самого начала не было бы введено понятие о неделимом атоме. И в учении об излучении удобнее поэтому говорить об атомах излучения h, а не об атомах лучистой энергии hv.

Планк называет величину hэлементом действия, так как она измеряется произведением энергии на время, как и в принципе наименьшего действия.

Две различные формулировки новой гипотезы

Относительно причины появления новой универсальной величины h– атома излучения в учении о свете существуют две различные точки зрения.

1. Одна переносит вопрос в незнакомый нам механизм лучеиспускания атома или вообще электромагнитного резонатора. Решая задачу о распределении энергии между резонаторами, Планк принял, что данный резонатор, обладающий заданным числом колебаний н, может получать только целые порции hvэнергии. В новейшее время Планк показал, что можно ограничиться даже допущением, что только лучеиспускание происходит порциями hv, тогда как поглощение идет непрерывно.

2. Вторая точка зрения идет еще дальше: она предполагает, что атомы излучения являются свойством лучистой энергии, объясняются структурой электромагнитного ноля. Ее придерживались Эйнштейн, давший ей энергетическое обоснование, и Дж. Дж. Томсон, исходивший из определенной модели электромагнитного поля.

Первая точка зрения имеет то удобство, что она не изменяет свойств электромагнитного поля, так хорошо выражаемого непрерывной теорией Максвелла. Она переносит загадку и без того в загадочную сферу внутриатомного поля. Притом дело уже не ограничивается испусканием лучистой энергии: величина hvопределяет и те количества, в которых может обмениваться молекулами и тепловая энергия. Молекула (резонатор), обладающая числом собственным колебаний н, может отдавать лишь целые порции hvэепергии. Несовершенство этой точки зрения заключается в том, что опа оставляет загадочною универсальность величины h. Казалось бы, что если все Дело в механизме атома, то различные механизмы, ветречающиеся в разных телах и свободных электронах в металле, должны бы дать численно различные величины h.

Вторая точка зрения, наоборот, естественно приводит к универсальности h, так как световой эфир во всех телах один и тот же, но ее последовательное проведение наталкивается на ряд противоречий в объяснении явлений интерференции и дифракции. О значении этих затруднений ничего пока сказать нельзя, так как более детальной картины лучистой энергии в атомном ее понимании не существует.

Не существует никаких определенных представлений об объеме, занимаемом одним атомом, и даже о том, нужно ли их считать независимо существующими в эфире, можно ли каждому атому излучения приписывать только одно определенное направление движения или же представлять себе их расходящимися но сферам. Предполагается лишь, что принятие атомной структуры излучения приведет к тем же формулам, что и теория Максвелла во всех тех явлениях, где мы имеем дело с очень большим числом атомов света, подобно тому, как теория упругости вполне уживается с атомным строением тел.


Проявление нового свойства при действии света на тела

Если основная гипотеза Планка справедлива, то это новое свойство должно проявиться, п притом гораздо в более резкой форме, не только в черном излучении, по и во всех других явлениях, в которых участвует лучистая энергия. При этом заметим, что результат останется в главных чертах тем же, станем ли мы на первую или на вторую точку зрения, так как влияние света сказывается только тогда, когда он поглощается телом (резонатором). Относящиеся сюда явления чрезвычайно разнообразны: фотоэлектричество и вторичные катодные лучи, вызываемые рентгеновскими лучами, фотохимия, ионизация газов, флюоресценция и фосфоресценция, свечение закатодных лучей.

В каком виде могут здесь проявиться уже изложенные нами свойства атомов излучения? Необходимо помнить, что во всех этих случаях происходит переход лучистой энергии в иную при помощи особого механизма данного явления. Если мы допустим, что каждая молекула тела достает всегда только целые атомы излучения, то от механизма явления будет еще зависеть, какая часть пойдет на данный эффект, например па кинетическую энергию электрода или па излучаемый свет флюоресценции. Нельзя поэтому ожидать количественного совпадения, если мы, устранив вопрос о механизме явления, отождествим действие молекулы с действием поглощенного ею света.

Зато можно ожидать следующего качественного согласия с теорией. Энергия электрона, испускаемого одной молекулой, не должна превышать энергии одного, двух-трех атомов излучения. С увеличением числа колебаний энергия должна возрастать приблизительно в том же соотношении hv.

Очевидно, с другой стороны, что каковы бы пи были законы этих явлений, как бы они хорошо ни совпадали с требованиями атомной теории, всегда их можно отнести за счет специального механизма данного явления; поэтому они могут только подтверждать, а не доказывать атомную теорию. Подтверждение это будет, однако, тем серьезнее, чем большая область фактов найдет в атомной теории свое простейшее истолкование, так как тогда больше оснований принять одну новую гипотезу, чем стоять перед целой серией эмпирических закономерностей и специальных правил с исключениями.

Фотоэлектричество. Явление это заключается в испускании телом электронов под влиянием поглощенного света. Можно считать окончательно установленным, что начальная скорость электронов, вызванная светом определенного числа колебаний, абсолютно не зависит от силы света, но зато в общем возрастает с числом колебаний света (возможно, хотя и не установлено, существование частичных максимумов). Величина скорости такова, что начальная энергия фотоэлектрона несколько меньше энергии одного атома излучения:

Все эти законы непосредственно вытекают из представления о том, что каждый электрон получил свою энергию от одного атома излучения.

Часть кинетической энергии электрон должен потерять при прохождении сквозь поверхностный слой металла благодаря контактной разности потенциалов. Поэтому если энергия одного атома hvменьше, чем работа

при прохождении контактного слоя, то испускания электронов не будет. И, действительно, чем электроположительнее металл, тем меньше та предельная частота н, при которой свет уже вызывает фотоэлектрический эффект.

Те же законы можно объяснить и особым свойством внутриатомных сил. Электрон, резонирующий на данное н, отрывается или с той скоростью, какую он имел внутри атома, или же тогда, когда достигнутая им под влиянием света скорость превзойдет определенную величину. Однако те внутриатомные скорости, которые проявляются в радиоактивных процессах, измеряются десятками тысяч вольт, тогда как фотоэлектроны дают 1–4 В.*

Весьма важно также, что и те электроны, которые вызываются рентгеновскими лучами, подчиняются тем же основным законам. И здесь чем меньше период (продолжительность) рентгеновского импульса, тем больше скорости вызванных им электронов, тогда как от интенсивности лучей скорость не зависит. Величина скорости также находится в хорошем согласии с требованиями атомной теории.

На вторичных лучах особенно резко видно одно свойство данного явления, которое, впрочем, одинаково относится и к фотоэлектричеству, – свойство, трудно поддающееся объяснению без атомизации света. Неоднократно наблюдалось, что скорость вторичных электронов почти равна скорости тех первичных электронов, которые вызвали рентгеновский импульс. Трудно допустить, что выдергивание электрона вызывается большим числом последовательных импульсов, так как фазы их совершенно случайны. С другой стороны, импульс, распространяясь по шаровым поверхностям все большего радиуса, может передать в месте встречи с резонатором лишь малую часть всей своей энергии. Остается еще одно маловероятное допущение, что энергия вторичных лучей получена за счет внутриатомных радиоактивных процессов, а не рентгеновского импульса. Атомная теория, наоборот, предполагает, что порция энергии, излученная одним электроном, достигает другого электрона и поглощается им целиком. С другой стороны, однако, Зоммерфельд показал, что последовательное развитие электромагнитной теории приводит в случае рентгеновского импульса к чрезвычайно неравномерному распределению энергии: почти вся она сконцентрирована в узком конусе. Зоммерфельд смог даже показать, что при некоторых предположениях энергия импульса пропорциональна его продолжительности ф (которая играет роль н) и коэффициент пропорциональности близок к универсальной постоянной h.

Фотохимия. Эта область гораздо менее изучена; однако то, что здесь известно, говорит в пользу атомной теории.

Мы будем ожидать, что увеличение энергии одной молекулы при перегруппировке не должно превышать энергии атома излучения. Поэтому не всякий поглощенный свет может производить фотохимические действия, а только обладающий достаточно большим числом колебаний, по преимуществу ультрафиолетовый. От силы света эта предельная длина волны не должна зависеть. Если данная длина волны смещает термодинамическое равновесие системы, то она будет способна на это и при ослаблении света; наоборот, если данный свет (например, красный) не смещает равновесия при малой интенсивности, то и при усилении силы света в сотни раз он оказывается неспособным сместить его.

Как порядок величины молекулярной энергии при фотохимических процессах, так и роль цветности (числа колебаний) находятся в согласии с требованиями атомной теории.

Такое же хорошее согласие с теорией обнаруживают и те данные, которые имеются об ионизации газов ультрафиолетовым светом и об испускании электронов при химических реакциях. Здесь можно даже говорить о количественном подтверждении выводов атомной теории.

Флюоресценция и фосфоресценция. Эти явления заключаются в поглощении света одной частоты и испускании света других частот. Исследования Ленарда указали на тесную связь этих явлений с фотоэлектричеством. Поскольку явление зависит от свойств света, нужно было бы ожидать, что молекула, поглотившая атом излучения данной частоты, будет излучать свет меньшей частоты, обладающий меньшей энергией, т.е. свет испускаемый обладает большей длиной волны, чем свет возбуждающий. А это и есть так называемое правило Стокса, подтвержденное в громадном числе случаев.

Известны, однако, несомненныеисключения из этого правила: 1) в свете флюоресценции встречаются и более короткие длины волн, чем возбуждающие; 2) если возбуждающий свет лежит в полосе поглощения, соответствующей и свету флюоресценции, то внутри той же полосы можно пользоваться п более длинными и более короткими волнами для возбуждения флюоресценции.

Легко, однако, видеть, что подобные исключения не противоречат атомной теории: 1) правило Стокса можно относить к средней частоте возбуждающего и возбужденного света, а не к отдельным составляющим колебаниям; 2) возможны случаи, когда поглощаются два атома излучения, в особенности при слабом тепловом движении (низких температурах). Во всяком случае флюоресценция, противоречащая правилу Стокса, встречается редко. Для фосфоресценции и такие исключения неизвестны.

При флюоресценции интенсивность света не оказывает никакого влияния на появление или отсутствие эффекта. Только сила света флюоресценции связана с силой возбуждающего света.

И в этой области давно уже подмеченные закономерности вполне естественно вытекают из атомной гипотезы света, тогда как соответственного механизма пока придумать ие удалось. Возможно, что флюоресценция и фосфоресценция могут быть объяснены при помощи фотоэлектричества; однако и в этой последней области механизм объясняет лишь очень немногие стороны явления.

Явление флюоресценции в области рентгеновских лучей (вторичные рентгеновские лучи) вполне подчиняется правилу Стокса.

Закатодные лучи. Наблюдая спектр закатодных лучей, движущихся по направлению к щели спектрографа, Штарк заметил, что кроме обычной линии, соответствующей данному газу, рядом появилась вторая линия большей частоты, как это и следовало ожидать на основании принципа Доплера. По отклонению этой «движущейся» линии, т.е. линии, вызванной движущимися частичками, от «покоящейся» можно судить о скорости движения частички. Опыт показал, что в закатодных лучах светят только частички, покоящиеся или движущиеся со скоростью, большей некоторой предельной скорости. С другой стороны, по-видимому, эта предельная скорость тем значительнее, чем больше частота света, так что кинетическая энергия светящихся частиц растет пропорционально hv. Кроме этих частиц, преобладают, по Штарку, частицы с энергиями 2 hvи 3 hv.

Это явление, хотя и дает, по-видимому, наилучшее согласие с атомной теорией, па самом деле, может быть связано с ней лишь добавочным допущением, что энергия излучения и кинетическая энергия молекулы связаны простым соотношением (например, при ударе закатодной частицы о молекулу половина энергии переходит в колебательную, а вторая половина – в кинетическую).

Теплоемкость твердых тел при низких температурах.* Наиболее блестящее, но и наиболее неожиданное подтверждение получила атомная теория света в наблюдениях Нернста над теплоемкостями тел при низких температурах. Рассматривая твердое тело при достаточно низких температурах как систему резонаторов, кинетической энергией которых можно пренебречь по сравнению с колебательной, и распространяя на молекулы тела гипотезу атомного излучения, Эйнштейн заключил, что теплоемкость должна быстро падать при приближении к абсолютному нулю, и дал формулу для этой зависимости, которая оказалась в неожиданном согласии с опытом. Допущение двух родов резонаторов уже оказывается достаточным и для количественного совпадения с опытными данными.

Замечательно, что то число колебаний, которое входит в формулу Эйнштейна для теплоемкости, совпало во всех случаях с числами, вычисленными Линдеманом на основании совершенно других данных.

Каммерлинг-Оннес показал, что его новые наблюдения над падением сопротивления чистых металлов при очень низких температурах находятся в полном согласии с гипотезой Эйнштейна.

Такое же неожиданное согласие обнаруживает и недавно открытое Хабером явление испускания электронов при химических реакциях.

Таким образом, гипотеза об атомах света оказалась чрезвычайно плодотворной и в области чисто молекулярных и тепловых явлений, что указывает на существование более глубокой и общей основы данной гипотезы, чем те явления, которые ее впервые вызвали.


Заключение

Атомная гипотеза лучистой энергии возникла как выход из того противоречия, к которому привела электромагнитная теория в связи со статистическими представлениями о тепловом равновесии. Для разрешения этого противоречия, очевидно, нельзя пожертвовать электромагнитной теорией; но в настоящее время, когда статистическая механика получила столь наглядное подтверждение в броуновском молекулярном движении, в излучении б-частичек радием, в испускании электронов раскаленными телами, невозможно отказаться и от применения теории вероятностей. Оказывается, однако, что обе эти теории приводят к самому полному согласию с опытом, если выдвинуть новую гипотезу.

Эта гипотеза вводит новую универсальную величину – атом излучения, который, однако, оказывается по своим свойствам вполне аналогичным атомам материи и атомам электричества, успевшим уже завоевать прочное место в системе описания природы.

Та же гипотеза, примененная к другим проявлениям лучистой энергии, приводит к ряду закономерностей, давно уже установленных в этих областях в качестве эмпирических правил. Даже применение ее к тепловым колебаниям молекул в твердом теле, предшествовавшее опыту, предсказало его с неожиданной правильностью.

Этого во всяком случае достаточно, чтобы уделять этой гипотезе серьезное внимание и признать в ней новое важное обогащение наших теоретических представлений.

В то же время надо сознаться, что атомная гипотеза сама еще никакого объяснения не имеет, что она не имеет даже конкретной, хотя и произвольной формы, что не выяснено, удастся ли ее согласовать с хорошо изученными фактами волновой оптики, что она вообще создает больше вопросов, чем дает ответов.

Тем больше оснований заняться ее проверкой и развитием – выделить из нее то здоровое зерно, которое в ней несомненно имеется, установить границы ее применимости и придать ей то или другое конкретное содержание.

Оценить/Добавить комментарий
Имя
Оценка
Комментарии:
Хватит париться. На сайте FAST-REFERAT.RU вам сделают любой реферат, курсовую или дипломную. Сам пользуюсь, и вам советую!
Никита08:13:52 02 ноября 2021
.
.08:13:50 02 ноября 2021
.
.08:13:49 02 ноября 2021
.
.08:13:49 02 ноября 2021
.
.08:13:48 02 ноября 2021

Смотреть все комментарии (21)
Работы, похожие на Реферат: Атомы света

Назад
Меню
Главная
Рефераты
Благодарности
Опрос
Станете ли вы заказывать работу за деньги, если не найдете ее в Интернете?

Да, в любом случае.
Да, но только в случае крайней необходимости.
Возможно, в зависимости от цены.
Нет, напишу его сам.
Нет, забью.



Результаты(287575)
Комментарии (4159)
Copyright © 2005-2021 HEKIMA.RU [email protected] реклама на сайте