Банк рефератов содержит более 364 тысяч рефератов, курсовых и дипломных работ, шпаргалок и докладов по различным дисциплинам: истории, психологии, экономике, менеджменту, философии, праву, экологии. А также изложения, сочинения по литературе, отчеты по практике, топики по английскому.
Полнотекстовый поиск
Всего работ:
364139
Теги названий
Разделы
Авиация и космонавтика (304)
Административное право (123)
Арбитражный процесс (23)
Архитектура (113)
Астрология (4)
Астрономия (4814)
Банковское дело (5227)
Безопасность жизнедеятельности (2616)
Биографии (3423)
Биология (4214)
Биология и химия (1518)
Биржевое дело (68)
Ботаника и сельское хоз-во (2836)
Бухгалтерский учет и аудит (8269)
Валютные отношения (50)
Ветеринария (50)
Военная кафедра (762)
ГДЗ (2)
География (5275)
Геодезия (30)
Геология (1222)
Геополитика (43)
Государство и право (20403)
Гражданское право и процесс (465)
Делопроизводство (19)
Деньги и кредит (108)
ЕГЭ (173)
Естествознание (96)
Журналистика (899)
ЗНО (54)
Зоология (34)
Издательское дело и полиграфия (476)
Инвестиции (106)
Иностранный язык (62791)
Информатика (3562)
Информатика, программирование (6444)
Исторические личности (2165)
История (21319)
История техники (766)
Кибернетика (64)
Коммуникации и связь (3145)
Компьютерные науки (60)
Косметология (17)
Краеведение и этнография (588)
Краткое содержание произведений (1000)
Криминалистика (106)
Криминология (48)
Криптология (3)
Кулинария (1167)
Культура и искусство (8485)
Культурология (537)
Литература : зарубежная (2044)
Литература и русский язык (11657)
Логика (532)
Логистика (21)
Маркетинг (7985)
Математика (3721)
Медицина, здоровье (10549)
Медицинские науки (88)
Международное публичное право (58)
Международное частное право (36)
Международные отношения (2257)
Менеджмент (12491)
Металлургия (91)
Москвоведение (797)
Музыка (1338)
Муниципальное право (24)
Налоги, налогообложение (214)
Наука и техника (1141)
Начертательная геометрия (3)
Оккультизм и уфология (8)
Остальные рефераты (21692)
Педагогика (7850)
Политология (3801)
Право (682)
Право, юриспруденция (2881)
Предпринимательство (475)
Прикладные науки (1)
Промышленность, производство (7100)
Психология (8692)
психология, педагогика (4121)
Радиоэлектроника (443)
Реклама (952)
Религия и мифология (2967)
Риторика (23)
Сексология (748)
Социология (4876)
Статистика (95)
Страхование (107)
Строительные науки (7)
Строительство (2004)
Схемотехника (15)
Таможенная система (663)
Теория государства и права (240)
Теория организации (39)
Теплотехника (25)
Технология (624)
Товароведение (16)
Транспорт (2652)
Трудовое право (136)
Туризм (90)
Уголовное право и процесс (406)
Управление (95)
Управленческие науки (24)
Физика (3462)
Физкультура и спорт (4482)
Философия (7216)
Финансовые науки (4592)
Финансы (5386)
Фотография (3)
Химия (2244)
Хозяйственное право (23)
Цифровые устройства (29)
Экологическое право (35)
Экология (4517)
Экономика (20644)
Экономико-математическое моделирование (666)
Экономическая география (119)
Экономическая теория (2573)
Этика (889)
Юриспруденция (288)
Языковедение (148)
Языкознание, филология (1140)

Реферат: Вимоги до експлуатації і технічного обслуговування машин

Название: Вимоги до експлуатації і технічного обслуговування машин
Раздел: Рефераты по транспорту
Тип: реферат Добавлен 03:55:10 06 сентября 2010 Похожие работы
Просмотров: 2400 Комментариев: 17 Оценило: 4 человек Средний балл: 4.3 Оценка: неизвестно     Скачать

Тема:

ВИМОГИ ДО ЕКСПЛУАТАЦІЇ ТА ТЕХНІЧНОГО ОБСЛУГОВУВАННЯ МАШИН


ЗМІСТ

ВСТУП

1. Використання машин, введених в експлуатацію

2. Експлуатація машин при низьких температурах

3. Особливості експлуатації машин з гідроприводом

4. Особливості експлуатації машин з електроприводом

5. Запуск двигунів з обігріванням

6. Очищення двигунів

7. Зовнішній догляд за машинами під час експлуатації

8. Кріпильні роботи

9. Зберігання матеріалів і запасних частин

10. Транспортування машин

11. Зберігання машин

12. Списання машин

ПЕРЕЛІКВИКОРИСТАНОЇ ЛІТЕРАТУРИ


ВСТУП

З кожним роком машини стають усе складнішими, а їх парк - різноманітнішим. Водночас удосконалюються методи й засоби їх обслуговування та діагностування. Поряд з випуском простих засобів діагностування збільшується виробництво електронних приладів, розробляються перспективні автоматизовані системи та пристрої.

Діагностика й технічне обслуговування систем і механізмів, а також прогнозування ресурсу - найважливіші фактори керування роботою та надійністю.

Надійність – властивість автомобіля виконувати задані функції, зберігаючи в часі значення встановлених експлуатаційних показників у заданих межах, що відповідають заданим режимам і умовам використання, технічного обслуговування й ремонтів, зберігання і транспортування. Надійність – комплексна властивість, яка може включати безвідказність, довговічність, ремонтопридатність і збереженість.

З розвитком та впровадженням методів і засобів діагностування потреба в операціях обслуговування й ремонту визначатиметься не дослідно-статистичними показниками періодичності, а на основі діагностування і врахування індивідуальних особливостей стану машин. Зрештою, широке впровадження діагностики дає змогу перейти від системи планово-попереджувальних ремонтів за напрацюванням до системи ППР за технічним станом. Діагностування заощаджує кошти і час на підтримання машин у технічно-справному стані.


1. Використання машин, введених в експлуатацію

Основними документами, що регламентують експлуатацію будівельно-дорожніх машин, у тому числі й організацію парку машин, їх технічне обслуговування, ремонт, транспортування і зберігання, є СниП ІІІ-1-76 «Організація будівельного виробництва» та ДБН В.2.8-3-95 "Технічна експлуатація будівельних машин".

Згідно з вимогами стандартів, до використання допускаються комплектні та працездатні машини, які гарантують безпечне виконання робіт відповідно до їх призначення, заданої технічності, продуктивності і встановленої витрати електроенергії, робочої рідини, паливно-мастильних та інших матеріалів.

Не дозволяється використовувати машини, якщо в них з'явилися ознаки Граничного стану, зазначені в експлуатаційній документації, якщо вони не забезпечують технологічної точності й безпеки виконання робіт, а також у разі наявності відмов.

Використання машин здійснюють на основі річного й оперативного планів, які передбачають встановлення їх на об'єктах будівництва та обсяги робіт, що підлягають виконанню протягом робочого часу.

Дня машин, на які встановлено державну статистичну звітність про використання, планований обсяг робіт визначається на основі річних режимів їх використання за часом і за продуктивністю, обчисленими з урахуванням конкретних умов провадження робіт і впровадження передового досвіду експлуатації.

Машини допускаються до використання на об'єктах за наявності проектів провадження робіт, розроблених відповідно до вимог інструкції з розроблення проектів організації будівництва та проектів провадження робіт (СН 47-74).

Технічний стан машин щодо можливості їх використання оцінюють щодня перед початком робіт з періодичністю ТО-1 і ТО-2 в обсязі, передбаченому документацією.

Порядок контролю технічного стану машин і деяких пристроїв встановлюють нормативно-технічні документи:

вантажопідіймальних машин - Правила будови та безпечної експлуатації вантажопідіймальних кранів, а компресорів - Правила будови та безпечної експлуатації посудин, що працюють під тиском;

машин на автомобільному шасі - крім названих нормативних документів, Правила дорожнього руху;

машин на пневмоколісному ходу - Правила експлуатації шин для великовантажних автомобілів, будівельно-дорожніх і підіймально-транспортних машин;

влаштування та експлуатації підкранових колій для баштових кранів -Інструкція з улаштування, експлуатації та ремонту колій будівельних баштових кранів (СНиП 3.08.01-85);

будівельного інвентарю, інструменту і пристроїв - Положення про організацію інструментального господарства в будівництві.

Оперативне управління експлуатацією машин здійснює диспетчерська служба, створювана відповідно до вимог Інструкції з організації оперативного диспетчерського управління будівельним виробництвом (СН 370-78).

Машини мають виконувати роботи згідно з вимогами СНиП Ш-4-80.

Керування машинами здійснюють особи, які мають посвідчення на право керування, керування кранами - крім того, посвідчення водія, видане Державною автоінспекцією, а керування компресорами - посвідчення на право керування ними та посвідчення про проходження відповідного навчання з записом про атестування.

До керування машинами з електроприводом допускаються особи, які мають посвідчення на керування ними і відповідну кваліфікаційну групу з техніки безпеки відповідно до Правил техніки безпеки при експлуатації електроустановок споживачів.

При переведенні на нову машину машиніст повинен бути ознайомлений з її конструктивними особливостями, правилами керування, експлуатації, техніки безпеки і пройти відповідне стажування. Підготовленість машиніста до роботи на даній машині визначає комісія підприємства.

Забороняється використовувати машини, які мають:

несправності двигунів внутрішнього згоряння - ускладнений запуск або нестійку роботу двигуна; стук у підшипниках колінчастого вала або в підшипниках розподільного вала; витікання палива, оливи або охолоджувальної рідини; зниження тиску оливи порівняно з зазначеним в інструкції з експлуатації або збільшення її витрати; перегрівання двигуна в звичайних умовах експлуатації; пропускання газів у системі вихлопу; збільшення порівняно з нормою концентрації оксиду вуглецю; збільшення витрати палива;

несправності трансмісії - порушення у зчепленні; ускладнене перемикання передач або самовимкнення однієї з передач; деформації та тріщини карданних валів; підвищення вібрації та нагрівання механізмів трансмісії; витікання оливи з картерів;

несправності рами - тріщини в її деталях; пошкодження зварних швів; послаблення кріплень агрегатів і вузлів;

несправності ходової частини - послаблення кріплення ресор, пружин та інших деталей підвіски; невідповідні розміри шин до навантаження або невідповідний тиск у шинах; зношення протектора при здвоєних шинах; деформацію колісних дисків, неправильне встановлення бортових кілець або ненадійне кріплення коліс до маточин; відсутність більш як двох башмаків гусеничного полотна або пошкодження його ланок; недостатній або надмірний натяг гусеничного полотна; пошкодження або наявність тріщин на ведучих і напрямних колесах гусеничного ходу; пошкодження рами та роликів гусеничного візка; пошкодження привідного механізму гусеничного ходу;

несправності гальм - зниження порівняно з нормою ефективності дії гальм; нерівномірну дію гальмових механізмів коліс або заїдання коліс; неможливість повної ефективної дії робочого гальма при одноразовому натисненні на педаль; збільшення порівняно з нормою зусилля на педаль (важіль) гальма; порушення регульованості гальм, при якому значно збільшується хід педалі; надмірне зношення накладок; витікання з системи приводу гальмівної рідини або повітря; потрапляння повітря в гідравлічний привід; несправність компресора (насоса) або системи регулювання тиску у пневматичному (гідравлічному) приводі гальм;

несправності системи керування - люфт кермового колеса; заїдання кермового колеса; послаблення кріплення або пошкодження кермового колеса, колонки та картера кермового механізму; несправність гідравлічного підсилювача кермового керування; несправність і погане закріплення деталей і з'єднань кермового приводу; порушення кута встановлення передніх коліс і регулювання підшипників у маточинах; самочинне вимкнення та ввімкнення повороту машин на гусеничному ходу; збільшення зусилля на важелях і педалях керування;

несправності гідравлічного приводу - витікання робочої рідини; зниження тиску в гідравлічній системі; підвищене нагрівання робочої рідини в насосі та інших деталях; нестійка робота насоса та гідродвигунів;

несправності електричного приводу — підвищене нагрівання підшипників у генераторах і електродвигунах; іскріння на кільцях і щітках; підвищений шум;

несправності системи освітлення - невідрегульоване встановлення фар; самочинне ввімкнення та вимкнення світильників; невідповідну потужність ламп у світильниках;

несправності кабіни - самочинне зачинення та відчинення дверей кабіни або відчинення дверей з підвищеним зусиллям; ненадійне кріплення капотів; нечіткість написів, цифр і літер державного номерного знака, інвентарного номера, розпізнавального напису та емблеми міністерства чи відомства;

несправності робочого місця - порушення дії системи вентиляції та опалення, а також герметичності кабіни, що призводить до збільшення концентрації оксиду вуглецю; наявність пошкоджень і дефектів вітрового скла; нестійке положення сидіння; несправності контрольних приладів;

несправності робочого устаткування - затуплення ножів робочих органів; наявність тріщин у робочих органах; нестійке положення або ненадійне кріплення робочих органів.

2. Експлуатація машин при низьких температурах

Зі зниженням температури навколишнього повітря експлуатація машин значно ускладнюється. Це обумовлюється, з одного боку, погіршенням санітарно-гігієнічних умов праці обслуговуючого персоналу, а з іншого - збільшенням потоку відмов, пов'язаних з порушенням теплового режиму двигуна та холодомісткістю матеріалів.

Досвід експлуатації машин в умовах низьких температур свідчить, що бульдозери, екскаватори, крани та автогрейдери, які мають закриті кабіни, успішно можуть працювати і при температурі -40 °С. Отже, простої машин, пов'язані з низькими температурами, обумовлені головним чином недостатньою підготовленістю обслуговуючого персоналу та відсутністю досвіду праці в таких умовах.

Слід пам'ятати, що навіть незначне зниження температури (до -5...-10 С) ускладнює експлуатацію машин, і чим нижча температура повітря, тим більше вона впливає на роботу будівельних машин.

Одним із факторів роботи будівельних машин у таких умовах є підвищення в 'язкості палива та моторних і трансмісійних олив, що негативно впливає на частоту обертання карбюраторних і дизельних двигунів та обумовлює підвищене зношення деталей кривошипно-шатунного механізму й циліндро-поршневої групи.

Підвищення в'язкості бензину знижує його масу, яка протікає через жиклер карбюратора протягом одиниці часу. Зокрема, при температурі -10 °С через жиклери протікає бензину А-80 на 10 % менше, ніж при +40 °С, а це знижує пускові властивості та потужність двигуна.

Температури помутніння та застигання бензину майже однакові і становлять близько -60 °С, тому баки та бензопроводи бензинових двигунів на зиму не утеплюють.

В'язкість дизельного палива при від'ємних температурах знижується значно більше, ніж бензину. Зі зниженням температури від +20 до -20 °С в'язкість літніх сортів палива зростає в 10 разів, а зимових - у 5 разів. Зі збільшенням в'язкості погіршуються розпилювання та згоряння палива, підвищується його витрата, затримується запалювання.

Отже, в'язкість дизельного палива, яка перед форсункою не повинна перевищувати

12 мм2 /с, є одним з основних факторів, які характеризують його експлуатаційні властивості в зимовий період.

Іншим, не менш важливим фактором, що впливає на експлуатаційні властивості дизелів, є прогінність палива, яка також характеризується температурою помутніння і застигання.

Вирішальним фактором є фільтрованість палива крізь фільтри тонкого очищення. Для кращих зимових сортів дизельного палива температура фільтрованості дорівнює –

20 °С, а для літніх -5...0 °С. Якщо механічно руйнувати кристали парафінів перед фільтром або підігрівати фільтр, то можна забезпечувати прогінність дизельного палива при температурах, що наближаються до температури застигання. Зимові сорти дизельного палива забезпечують безперервну роботу машини при температурі до -30 °С. За відсутності зимового дизельного палива можна скористатися літнім, додаючи до нього не менше 30 % технічного гасу при температурі -10 °С та 40...60 % - при температурі -20 °С. Цю суміш потрібно готувати заздалегідь.

Взимку при низьких температурах у паливних баках конденсується водяна пара, що перебуває в повітрі. Краплі води осідають на стінках баків і стікають на дно. Тому при заправці чи дозаправці рекомендується дизельне паливо підігрівати до температури не більш як 60 °С, а перед заправкою обов'язково зливати осад і воду з відстійника і фільтрів.

Під час підготовки машини до зимового періоду експлуатації доцільно утеплювати трубопроводи, фільтри та баки. Для цього можна використовувати азбест або шар обмазки, укриті тканиною чи листовою сталлю. При цьому паливо можна підігрівати паяльною лампою. Паливні фільтри утеплюють чохлами з отворами для випускання повітря та конденсату.

При низьких температурах в'язкість зимової оливи підвищується ще більше, ніж в'язкість палива. Навіть у зимових сортів оливи зі зниженням температури від +20 до - 20 °С в'язкість підвищується в 50... 100 разів, а в літніх -у сотні разів. Ра30м з цим різко зростає внутрішній опір у тертьових вузлах. Наприклад, зусилля для протягування одного поршня дизельного двигуна через циліндр при зниженні температури від +20 до —40 °С збільшується в 100 разів.

Підвищення в'язкості трансмісійної оливи при низьких температурах призводить до втрати 40...50% потужності двигуна на подолання опору трансмісії, а в окремих випадках унеможливлює початок рушання машини з місця без підігріву.

Температуру в системі охолодження двигуна слід підтримувати в межах, що не допускають надмірного розрідження та розпаду оливи, який характеризується інтервалом температур 120...135 °С. Але при цьому температура має бути досить високою, щоб забезпечити випаровування палива.

Дехто вважає, що при підвищених температурах двигун зношується більше, ніж при знижених. Насправді саме низькі температури є основною причиною підвищеного зношення деталей двигуна. Спеціальні дослідження та практичний досвід свідчать, що тепловий режим двигуна значно впливає на потужність, економічність і зношення деталей. 30крема, зниження температури охолоджувальної рідини від 85 до 45 °С призводить до зниження ефективної потужності дизеля на 5...6%, а карбюраторного двигуна на 8...9%. Витрата палива при цьому підвищується відповідно на 6...7 та 15...20%.

З підвищенням температури охолоджувальної рідини збільшується механічний коефіцієнт корисної дії двигуна, оскільки втрати на тертя під час його роботи становлять 60...80 % загальних механічних втрат. Економія палива при цьому досягається за рахунок зниження тертя та внаслідок підвищення температури паливно-повітряної суміші, що поліпшує випаровування палива та повне його згоряння, в той час як при низьких температурах воно згоряє неповністю, викидається у вихлопну трубу і частково стікає в картер, змиваючи оливу з поршнів і циліндрів. Внаслідок змивання оливи та утворення кислот під час згоряння палива простежується підвищене зношення елементів циліндро-поршневої групи.

Положення ускладнюється утворенням на поверхні дзеркала циліндрів плівки окисненого металу, яку знімають поршневі кільця, після чого вона потрапляє в оливу, а разом з нею до тертьових деталей.

Встановлено, що нормальне зношення циліндрових гільз у дизеля буде при температурі охолоджувальної рідини не нижче 80 °С. При температурі 40 °С зношення збільшується в 4 рази, а при 30 °С - у 7 разів. Гранично допустимі температури охолоджувальної рідини дизельних двигунів становлять 50 і 100 °С, а оптимальні - 80...95 °С при температурі оливи 40... 105 °С. І все-таки дизелі будівельних машин через циклічність та перебої в роботі 33...46 % робочого часу працюють з температурою охолоджувальної рідини в системі охолодження 30...50 °С, а 20 % робочого часу - з температурою 30 °С і менше.

Щоб отримати оптимальну температуру охолоджувальної рідини, використовують термостати, жалюзі та знімні утеплювальні чохли. Вилучення термостатів із системи охолодження для запобігання замерзанню рідини в радіаторі знижує температуру охолоджувальної рідини до недопустимих меж.

Без термостата температура охолоджувальної рідини та оливи може впасти до значення, що перевищує температуру повітря лише на 15...30 °С. Проте створення оптимальної температури за рахунок лише одного термостата не досягається, тому систему охолодження усіх двигунів внутрішнього згоряння потрібно утеплювати.

Підвищення в'язкості робочої рідини гідравлічних і гальмівних систем призводить до сповільнення або відмови робочих органів та гальм.

3. Особливості експлуатації машин з гідроприводом

Машини з гідравлічним приводом потребують від обслуговуючого персоналу суворого дотримання правил технічної експлуатації. Особливо велику увагу слід приділяти чистоті робочої рідини. Встановлено, що в основному гідравлічна система забруднюється при дозаправлянні (50 %), заміні робочої рідини (37 %), через ущільнення штоків гідроциліндрів і насосів та при заміні рівня рідини в баку гідросистеми (10 %), а також від потрапляння при виготовленні чи ремонті машин ливарного піску, стружки, окалини, волокон тканин, притиральної пасти (3 %). У зв'язку з цим особливі вимоги висуваються до заправного інвентарю.

Залежно від типу гідросистеми та умов експлуатації фільтрувальні елементи потрібно періодично очищувати й заміняти. Вперше їх заміняють після 60.. .100 год роботи, а далі - через 240.. .480 год залежно від типу фільтра.

Надійність гідроприводів значною мірою обумовлюється працездатністю гумових ущільнень, які мають бути сумісними з властивостями робочих рідин і забезпечувати герметичність при від'ємних температурах.

Іншою важливою вимогою до експлуатації машин з гідравлічним приводом є підтримання відповідної температури робочої рідини. Температурні межі встановлюють для кожної робочої рідини окремо з урахуванням конструктивних особливостей насоса і виду рідини. Заводи-виробники гарантують надійну роботу гідросистеми і гідроприводів в інтервалі температур -40...+70 °С. Не рекомендується давати повне навантаження, доки робоча рідина не прогріється до 5...10 °С.

Якщо гідравлічна система машини заправлена робочою рідиною МГ-30, а температура повітря досягає -20 °С, то привідний насос запускають при мінімальній частоті обертання і без 30внішнього навантаження. Після того, як насос попрацював 10...15хв без навантаження, поступово збільшують частоту обертання вала до номінальних обертів. Якщо гідросистема машини заправлена оливою ВМГЗ, то аналогічні застереження слід використовувати при температурі повітря нижче -40 °С.

Підігрівання робочої рідини відкритим полум'ям не допускається, оскільки це призводить до залишкових деформацій у гумових ущільненнях і гнучких рукавах, до появи тріщин і повної втрати гумотехнічними виробами пружності.

Крім цього, при локальному нагріванні робочої рідини випаровуються леткі фракції, прискорюється окисна полімеризація і з'являються смоли та асфальтени, які потім перетворюються в нерозчинні сполуки - карбони та карбоїди.

Діапа30н в'язкості робочої рідини не повинен перевищувати (0,8...150)- 10-6 м2 /с. Оптимальний рівень в'язкості (16...25) 10-6 м2 /с відповідає температурі 25...35 °С для оливи ВМГЗ і 55...65 °С -для МГ-30.

Гарантійний термін роботи гідронасосів і гідродвигунів повинен становити не менш як 1500 год. При цьому об'ємний ККД не повинен зменшуватись більш як на 6 %.

Ресурс гідромашин до ремонту (напрацювання до граничного стану) - не менше 4000 год.

Довговічність насосів та інших агрегатів гідравлічної системи значною мірою залежить від максимальних тисків, які з'являються в гідросистемі під час роботи машини, тому перевірка і регулювання тиску в гідросистемі -головні операції з експлуатації та обслуговування машини. Збільшувати тиск у системі понад встановлений категорично забороняється, бо це може спричинити відмову деяких вузлів машини, насамперед - гідронасосів.

Перевірку і регулювання гідроприводу виконують на прогрітій машині при температурі робочої рідини близько 50 °С у присутності кваліфікованих відповідальних фахівців. Дизель повинен працювати на максимальних обертах при повному ввімкненні рукояток або педалей. Результати регулювання заносять до формуляра (паспорта).

На запобіжних клапанах знімати та встановлювати пломби без представника заводу-виробника машини забороняється.

Працездатність машин з гідроприводом найбільшою мірою залежить від температури навколишнього повітря. Найгірші умови для роботи створюються при низьких температурах: непродуктивно витрачається час на підготовку, запуск та прогрівання гідравлічної системи, у рухомих з'єднаннях виникають температурні зміни посадок, які часто призводять до відмов; збільшується в'язкість робочої рідини, що обумовлює незаповнення робочого об'єму під час всмоктування, тому виникає кавітація та підвищується зношування деталей. При низьких температурах на початку пуску гідроприводу виникає так звана структурна течія, яка характеризується пружними деформаціями.

При підготовці машини до осінньо-зимової експлуатації з неї зливають сезонну робочу рідину, після чого знімають і промивають бак, насос, розподільники, двигуни, гідравлічні циліндри, корпуси фільтрів.

Перед промиванням перевіряють стан поверхонь. Промивання виконують у чистих ваннах з уайт-спірітом чи дизельним паливом у зачинених і чистих приміщеннях. Після промивання всі деталі, вузли та агрегати продувають стисненим теплим повітрям. Трубопроводи промивають дизельним паливом і продувають стисненим повітрям.

Перед складанням вузлів перевіряють стан ущільнювальних деталей і брудознімачів. При складанні особливу увагу звертають на встановлення деталей на попереднє місце, старанне ущільнення з'єднань та співвісність насоса з гідроприводом. Складену систему заправляють відповідною робочою рідиною (ВМГЗ або АМГ-10), підігрітою до температури 50...60 °С з метою кращого змащення системи та уникнення кавітації під час запуску.

Для видалення з системи повітря відкручують на два-три оберти штуцерні гайки з'єднання циліндрів з трубопроводами. Після появи робочої рідини гайки закручують і перевіряють технічний стан системи при роботі машини без навантажень і з навантаженнями. Виявлені неполадки усувають. Перед встановленням бак і трубопроводи в умовах низьких температур утеплюють обмазкою з товщиною шару 15...25 мм. Обмазку сушать при температурі 3О...35 °С протягом 12... 14 год, після чого поверхню баків і трубопроводів обмотують тканинною стрічкою та вкривають шаром водостійкої фарби.

В умовах низьких температур робочу рідину підігрівають. При цьому слід пам'ятати, що підігрівання відкритим полум'ям призводить до закоксовування рідини, випаровування з неї летких фракцій та зниження температури застигання, а також до відкладення смоли в каналах розподільників і дроселях.

Найпростіший спосіб розігрівання робочої рідини - прокачування її насосами та зливання через дросель. Проте ввімкнення в роботу насоса на холодній оливі може спричинити часткове заповнення повітрям всмоктувальної порожнини (внаслідок виділення розчиненого в оливі повітря). Це призводить до спінення оливи та нестійкої роботи гідросистеми. Тому при низьких температурах навколишнього повітря перший пуск всмоктувального насоса на холодній рідині виконують за періодичним ввімкненням його на мінімальних обертах до заповнення всмоктувальних камер. Лише після цього можна вмикати робочі органи без навантаження на середніх обертах двигуна. Частота обертання насосів при температурі -40 °С і нижче не повинна перевищувати для шестерінчастих насосів 1500, для плунжерних - 1200, для аксіально-поршневих - 1000 хв-1 .

Під час зимової експлуатації пневматичної системи керування основну увагу слід звертати на те, щоб не замерзав конденсат, який може замерзнути вже при -5 °С. Річ у тому, що стиснене повітря, нагріте в компресорі до 100... 130 °С, має на виході з компресора відносну вологість 6... 10 %. У ресивері воно охолоджується, а на пульті керування має температуру навколишнього середовища, внаслідок чого на стінках трубок виділяється волога. Тому при обслуговуванні пневмосистем щоденно, а в сильні морози - 2-3 рази за зміну потрібно випускати конденсат з охолоджувача та ресиверів.

4. Особливості експлуатації машин з електроприводом

Експлуатація машин з електричним приводом має свої особливості. Низька температура навколишнього середовища дає змогу навантажувати електродвигуни без перегрівання на 30...40% більше за паспортну потужність.

Проте під час се30нного обслуговування мастило з пускачів та електромагнітних пристроїв потрібно видалити й замінити його мастилом ЦИАТИМ-221, а також налагодити реле автоматів, оскільки зі зниженням температури на кожні 10 °С сила струму спрацювання збільшується на 4...7 %. Налагодження реле виконують при температурі 25 °С.

Треба пам'ятати, що зі зниженням температури підвищується в'язкість електроліту в акумуляторних батареях і погіршується його надходження в пори активної маси, що знижує працездатність батареї.

Зі зниженням температури від +20 до -40 °С ємність акумуляторної батареї зменшується вдвічі, і при температурі -30 °С акумулятори практично не заряджаються. Ра30м з цим у зимовий період збільшується сила струму та тривалість вмикання електростартера, що також ускладнює роботу батареї.

У процесі розряджання батареї в комірках її пластин утворюється вода, що призводить до зниження густини електроліту, випадання активної маси з пластин і руйнування їх. Чим краще заряджена батарея, тим нижча температура замерзання електроліту.

Найнижчу температуру замерзання (-66 °С) має електроліт густиною 1,31 г/см3 . Зі зниженням густини до 1,23 г/см3 температура замерзання підвищується до -40 °С. Тому найбільш важливим фактором для працездатності батареї є густина електроліту, його температура та ступінь зарядженості батареї. Готуючи батареї до зимової експлуатації, густину електроліту слід підвищити до 1,29 г/см3 . Витрачати в зимовий період можна лише 25 % ємності.

Для забезпечення надійної роботи акумуляторні батареї рекомендується утеплювати пінопластом та повстяним чохлом.

В умовах жаркого клімату денна температура може досягати 52, температура поверхні ґрунту- 68...72, а шляхового покриття - 85 °С, що спричиняє сухість та значну запиленість повітря. В таких умовах порушується тепловий режим двигуна, його окремі деталі перегріваються й охолоджувальна система не виконує своїх функцій.

Утворення накипу внаслідок швидкого випаровування жорсткої води порушує тепловий режим двигуна, призводить до виникнення парових пробок у системі живлення і, як наслідок, до його зупинення. Це обумовлює порушення режиму роботи машини, зниження її безвідмовності та довговічності. Щоб забезпечити нормальну роботу машини в таких умовах, передбачають перерви протягом зміни інколи на декілька годин, скорочують періодичність технічного обслуговування та ремонтів на 10... 15 %. Розбирання та складання вузлів в умовах будівельного майданчика забороняється.

Для захисту двигунів від пилу та бруду встановлюють додаткові фільтри. Карданні та інші шарнірні з'єднання машин закривають чохлами з промасленого брезенту, гуми та інших матеріалів.

5. Запуск двигунів з обігріванням

При безгаражному зберіганні машин ускладнюється запуск двигунів за від'ємних температур. Найкращі результати, які полегшують запуск, дає попереднє обігрівання двигуна. Тепло від зовнішнього джерела може бути використане в режимі міжзмінного підігрівання або в режимі розігрівання перед виїздом.

Міжзмінне підігрівання - це розігрівання двигуна перед запуском і підтримання його теплового стану протягом тривалості стоянки машини. Існують різні способи підігрівання, з яких можна назвати підігрівання індивідуальними підігрівачами, гарячою водою, електронагрівачами, газовими пальниками, гарячим повітрям і парою. Одночасно з двигуном доцільно підігрівати й інші агрегати машини (коробку передач, ведучі мости, редуктори тощо). Індивідуальним підігрівачем, встановленим на машині, можна користуватися необмежено в будь-яких умовах.

Для двигунів з рідинною системою охолодження використовуються рідинні підігрівачі. До складу такого підігрівача входять котел-теплообмінник, електричний вентилятор, система живлення, система запалювання та арматура для заливання води в теплообмінник і приєднання його до охолоджувальної оболонки блоку двигунових циліндрів. Для поліпшення циркуляції рідини в системі охолодження під час розігрівання інколи використовують насос. Недоліком таких підігрівачів є те, що вони не забезпечують при низьких температурах 30внішнього повітря нагрівання підшипників колінчастого вала до плюсових температур, що ускладнює прокручування колінчастого вала стартером і збільшує інтенсивність зношування поверхонь, які труться під час запуску. Тому в разі їх використання двигуни слід запускати через певні проміжки часу (приблизно через 10 хв) після розігрівання, коли підведене тепло рівномірніше розподілиться по двигуну.

Пусковий підігрівач, установлений на машинах типу КамАЗ, працює таким чином. Його паливний насос відбирає з бачка паливо, яке через відкритий електромагнітний клапан підводиться до форсунки підігрівача і впорскується у внутрішню порожнину пальника. У пальнику розпилене паливо змішується з повітрям, яке подається вентилятором, запалюється за допомогою спеціальної свічки і згоряє, нагріваючи в котлі охолоджувальну рідину. Продукти згоряння палива надходять випускною трубою під оливний піддон двигуна і нагрівають у ньому оливу. Паливо очищається фільтрами тонкого очищення, встановленими в електромагнітному клапані та форсунці. Витрата палива регулюється редукційним клапаном, встановленим на паливному насосі.

Підігрівання двигуна гарячою водою поки що найбільш розповсюджене. Гарячу воду (температура - 85...90 °С) заливають у систему охолодження через радіатор при відкритому спускному кранику. Краник закривають лише після того, як двигун достатньо прогріється і з краника витікатиме досить тепла вода.

Якщо температура охолоджувального повітря не нижча за -10 °С, то вистачає однора30вого заливання гарячої води. При температурі -10...-20 °С через систему охолодження слід пропустити 1,5...2 об'єми гарячої води, а при температурі нижче-20 °С-2,5...3 об'єми.

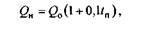
Орієнтовний об'єм води, необхідний для розігрівання двигуна при низьких температурах, визначають за формулою

Де Q0 - об'єм системи охолодження, л; tП - температура навколишнього повітря, °С.

Незважаючи на поширеність, цей метод має суттєві недоліки: великі витрати гарячої води, часу та енергії машиніста (водія). Крім цього, під час розігрівання гаряча вода стікає на землю, а це призводить до льодових утворень і примерзання шин. Дещо поліпшити обігрівання гарячою водою можна, заливаючи її безпосередньо в охолоджувальну оболонку. При цьому способі слід використовувати малов'язкі оливи, пускові рідини та інші прийоми, спільне застосування яких дає змогу максимально скоротити витрати гарячої води.

Викликає інтерес розігрівання двигунів гарячою водою, яка циркулює при температурі 85...90 °С через систему охолодження, повертається звідти знову в резервуар або в лінію для наступного підігрівання і повторного використання. Таке технічне рішення запобігає втраті тепла та гарячої води при зливанні її на землю, скорочує витрати ручної праці під час підготовки до роботи, забезпечує постійну циркуляцію гарячої води та ефективне розігрівання двигуна й моторної оливи впродовж 15...30хв при температурі повітря до -40 °С. У цьому разі олива підігрівається за рахунок встановлення в картер трубчастих теплообмінників, приєднаних паралельно або послідовно до системи охолодження двигуна.

Підігрівання двигуна парою є ефективнішим, ніж підігрівання водою. Парою можна розігрівати двигуни двома способами: безпосереднім впусканням пари в систему охолодження двигуна через радіатор або охолоджувальну оболонку блоку циліндрів (без повернення або з поверненням конденсату), а також з використанням теплообмінника, введеного в систему охолодження двигуна. Перший спосіб застосовується більш широко.

Розігрівання двигуна парою також має ряд суттєвих недоліків: пара є інтенсивним теплообмінником і небезпечна для обслуговуючого персоналу вже при тиску 0,03 МПа і для блоку двигуна, який за певних умов (при низьких температурах) може дати тріщину; для підігрівання оливи потрібен додатковий теплообмінник для оливного піддона; не дає змоги забезпечити комплексне підігрівання машин.

Застосування електронагрівних пристроїв для підігрівання двигунів уможливлює проведення комплексної теплової підготовки, до якої входять обігрівання блоку циліндрів, нагрівання оливи в картері двигуна, палива у фільтрах, всмоктуваного повітря та ін.

У деяких електронагрівних приладах тепло виділяється від провідників з великим опором чи електричної дуги й утворюється струмами високої частоти, вихровими струмами або внаслідок індукції.

Найбільш зручні в експлуатації теплоелектронагрівачі (ТЕНи) з закритою спіраллю, які серійно випускаються промисловістю. Такі нагрівачі добре витримують вібрації й ударні навантаження протягом п'яти років експлуатації, їх приєднують до системи охолодження двигуна (до відвідного патрубка радіатора) або до охолоджувальної оболонки блоку двигуна.

6. Очищення двигунів

Під час експлуатації машини (особливо в літній період) поверхня двигуна покривається забрудненнями, у складі яких можуть бути олива, рештки комах, пил, продукти корозії металів, сажа та ін. Суміш забруднень поступово перетворюється в щільну плівку, яка має досить високу адгезію до поверхні двигуна. Така плівка є і30ляційним матеріалом, який ускладнює конвективний теплообмін між поверхнею двигуна і навколишнім повітрям. В жарку погоду забрудненість двигуна може стати причиною його перегріву з усіма небажаними наслідками (підвищеною витратою палива, зниженням потужності, передчасним зношенням тощо).

Крім цього, плівка бруду посилює утворення корозії на межі її стикання з металом. Отже, утримання двигуна в чистоті - технічна необхідність.

Вилучення з поверхні двигуна забруднень звичайним способом механічного очищення не допускається. Найкраще для цього використовувати мийні композиції, до складу яких входить водний розчин лужних електролітів (кальцинованої соди, тринатрійфосфату та ін.) з домішкою поверхнево-активних речовин. Концентрація розчину - 10...3О г/л. Температура використання-70...90 °С.

При температурі 15...25 °С очищати двигун лужними розчинами важко. У таких випадках забруднення виводять різними синтетичними речовинами з домішками поверхнево-активних речовин.

До аліфатичних вуглеводнів належать дизельні палива, гас, уайт-спірит, бензин; до ароматичних - бензол, ксилол, толуол та ін; до хлорованих дихлоретан, трихлоретан, перхлоретилен, хлорбензол та ін.

Аліфатичні вуглеводні малотоксичні і добре розчиняють мінеральні оливи, пластичні мастила й різні консервуючі сполуки на їх основі. Ароматичні вуглеводні розчиняють смолисті забруднення. Найбільш ефективними розчинниками є хлоровані вуглеводні, які розчиняють навіть старі лакофарбові покриття, але вони дуже токсичні, тому використовувати їх можна лише з суворим дотриманням техніки безпеки.

Загальним недоліком усіх розчинників є те, що вони залишають тонку плівку з рештками олив і смолистих речовин. Випаровуючись, ця плівка стає липкою, на ній осідає пил і двигун знову швидко забруднюється. Крім цього, використання більшості розчинників призводить до руйнування лакофарбових матеріалів і гумових деталей.

Автоочищувачі двигуна позбавлені цих недоліків їх випускають в аеро30льних упаковках, куди входять розчинники, поверхнево-активні речовини та інші домішки. Поверхнево-активні речовини поліпшують змочуваність водою, емульсують і стабілізують в мийному розчині забруднення. Щоб запобігти негативному впливу на метал, до складу очищувачів вводять інгібітори корозії.

Частота очищення двигуна залежить від його технічного стану, а також від умов та інтенсивності експлуатації машини. В середньому достатньо чистити двигун один раз на три місяці для автомобілів та під час сезонного обслуговування (два рази на рік) для будівельно-дорожніх машин.

У приміщеннях двигун очищають лише за наявності якісної вентиляції. Акумулятори на час очищення та миття від'єднують. Розчин на двигун наносять щіткою і через деякий час змивають водою за допомогою шланга. Якщо двигун дуже забруднений, то інколи потрібно виконувати повторне очищення.

7. Зовнішній догляд за машинами під час експлуатації

Зовнішній догляд за машинами всіх типів слід розглядати обов'язковим заходом технічного обслуговування, здійснюваним систематично в міру їх забруднення. Він полягає в попередній діагностиці та проведенні контрольно-регулювальних робіт, змащування й поточного ремонту в умовах експлуатації.

До зовнішнього догляду входять такі операції, як прибирання кабіни та робочого місця машиніста (водія), очищення та миття робочих органів, миття рами, ходової частини й інших 30внішніх частин машини. Обсяг робіт із зовнішнього догляду залежить від типу машини, умов її експлуатації та наявності можливостей.

Догляд за машиною полягає в очищенні її від пилу та оливи, протиранні сидінь, скла, арматури, двигуна й основних механізмів. Під час очищення слід дотримуватися таких правил: бруд і грунт потрібно зчищати тупим металевим скребком; пофарбовані поверхні протирати ганчіркою, трохи зволоженою протиральною оливою; контрольно-вимірювальні прилади, деталі гідравлічного приводу та двигуна протирати чистою і м'якою бавовняною тканиною; вікна і кузов (кабіну) ретельно почистити й після миття машини протерти.

За способом виконання робіт розрізняють миття ручне, механізоване та комбіноване.

Ручне миття виконують із шланга з брандспойтом або мийним пістолетом, а механізоване - спеціальними установками, які залежно від виду керування ними поділяються на автоматичні та з ручним приводом. Комбіноване миття полягає в тому, що одну частину машини (шасі або кузов) обмивають механізованим способом, а іншу - ручним.

Для вилучення вологи після миття існують спеціальні установки, які виконують це з використанням повітря, підігрітого до температури 40...50 °С при тиску 0,2...0,4 МПа. Для цього використовують також інфрачервоні промені та ін.

Будівельно-дорожні машини миють найчастіше ручним і напівмехані30ваним способом. Кращі результати дає використання гарячої води або мийних розчинів, підігрітих до температури 40...50 °С. У цьому разі різниця між температурами води та поверхні, яку обмивають, не повинна перевищувати 18...20 °С.

Важливими факторами, які впливають на якість миття, скорочення його тривалості та зниження витрат води, є тиск (напір) струменя води, діаметр отвору мийного пістолета і кут нахилу струменя до поверхні, яку обмивають.

З курсу гідравліки відомо, що витрата водиQ яка подається до сопла, і вихідний переріз сопла пов'язані функціональною залежністю

де Fс - площа вихідного перерізу сопла, мм2 ; vв - швидкість витікання води із сопла, м/с; d - діаметр вихідного перерізу сопла, мм.

Швидкість витікання води із сопла

де m1 - коефіцієнт витікання, який для сопла з розпилювачами дорівнює 0,5...0,55, для сопла без розпилювачів - 0,7...0,75; g- прискорення сили тяжіння, м/с2 ; H- напір води, м.

З наведених формул видно, що, зменшуючи діаметр сопла і збільшуючи напір води або відповідно швидкість витікання її з сопла, можна при збереженні сталої витрати води отримати струмінь, який має більшу кінетичну енергію, отже, більшу ефективність миття. Збільшення швидкості струменя для сопел однакового діаметра суттєво скорочує витрати води і тривалість миття. Ще більший ефект дає зменшення площі перерізу сопла. З одночасним збільшенням швидкості струменя і зменшенням площі перерізу сопла ефективність миття зростає ще більше.

Високу якість миття забезпечує пароводоструменевий очищувач ОМ-3360. Тривалість зовнішнього миття очищувачем ОМ-3360, порівняно з насосними установками ОМ-830 і ВСМ-1500, скорочується в 2-3 рази, а трудомісткість знижується на 30...40 %.

8. Кріпильні роботи

Кріпильні роботи забезпечують стабільність попереднього затягування з'єднань. Під час технічного обслуговування кріпильні роботи полягають у підтягуванні послаблених з'єднань і встановленні нових нарізних деталей замість загублених або тих, що стали непридатними. Проте слід пам'ятати, що періодичне підтягування нарізних з'єднань без особливої потреби може призвести до порушення їх затягнення. Якщо після першого затягування раніше затягненого з'єднання початковий натяг знижується на 20...25%, то при повторних затягуваннях для зберігання стабільності з'єднань потрібно прикласти моменти, у два рази більші від початкових (рис. 1). Для того, щоб з'єднання зберігало стабільність тривалий час, треба, щоб його натяг був на 15...20 % меншим від зусилля, при якому наступає текучість матеріалу гайки, болта чи шпильки. Тому потрібно підтягувати лише ослаблені з'єднання і користуватися динамометричними рукоятками.

Допустимі крутні моменти М, необхідні для затягування нарізних з'єднань, залежать від діаметра різі й:


D ,мм,68 012141618202224

М, Нм 6...8 14...16 30...35 50...60 80...90 120...140 160.. .190 230...270 300...360 420...490

Ослаблені нарізні з'єднання легко виявити, постукуючи молотком по гайках і головках болтів. Недостатньо закручені з'єднання при цьому мають характерний тремтячий звук.

Для зменшення ймовірності розкручування болтового з 'єднання слід застосовувати контргайки, пружинні шайби, стопорний дріт, корончасті гайки зі шплінтами, відгинальні шайби та круглі гайки з замковими шайбами (рис. 2). Слід пам'ятати, що контргайку можна встановлювати лише тоді, коли закріпна гайка повністю затягнена.

Старі пружинні шайби придатні до застосування лише в тому разі, коли величина розводу кінців становить не менш як півтори товщини шайби. Після затягування шайба повинна повністю прилягати до опорної поверхні. За30р у розрізі шайби допускається дополовини її товщини, але не більш як 2 мм. Встановлення двох пружинних шайб під одну гайку забороняється.

Болти з відкритими головками слід попарно скріплювати м'яким дротом хрест-навхрест. Кінці скрученого дроту мають бути обрізані на 5...7 мм від початку скручування.

Рис. 1. Графік втрат контрувальних властивостей гайкового з'єднання при статичних навантаженнях: 1 - гайка, обтиснена по контуру; 2 - гайка, стиснена по еліпсу; 3 - гайка з нейлоновою вставкою; М -момент затягування; п - кількість затягувань гайки.

Рис. 2 Способи фіксації болтових з'єднань від самочинного відкручування:

а - контргайка; б - пружинна шайба; в - стопорний дріт; г - корончаста гайка зі шплштом;

д – відгинальна шайба; є - кругла гайка з замковою шайбою.


Рис. 3. Самоконтрувальні гайки:

а - конусна, обтиснена в конусній частині; б - підрізна з підгином вусика;

в - еліпсоїдна, стиснена в конусній частині по еліпсу; г - з нейлоновою вставкою в конусній частині

Рис. 4. Зубчасті шайби:

а - з виступами на поверхні; 6 - з радіальними розрізами

При стопорінні гайки розвідним шплінтом потрібно пам'ятати, що шплінт повинен повністю заходити в отвір болта і виступати над торцем поверхні гайки не більш як на 0,3 його діаметра. Головка шплінта має повністю входити в проріз гайки, а кінці його треба розвести: один - на торець болта, другий - на грань гайки. Кінці шплінта повинні щільно прилягати до поверхонь болта і гайки.

Відгинальні шайби виготовляють з м'якої листової сталі завтовшки 1,0... 1,25 мм. Після затягування гайки відгинальні шайби слід загнути (один кінець - на грань гайки, другий - на кромку корпуса) або закріпити гайки попарно.

Але звичайні нарізні з'єднання не мають контрувальних властивостей, тому застосовують самоконтрувальні гайки (рис. 3) і зубчасті шайби (рис. 4). Надійність роботи таких з'єднань у 8... 10 разів вища, ніж звичайних. Найбільш стабільними є з'єднання, де застосовуються гайки з нейлоновими вставками. У разі потреби вони можуть витримувати до 25...30 затягувань без помітного порушення контрувальних властивостей.

9. Зберігання матеріалів і запасних частин

Спеціальні складські приміщення, в яких зберігають паливно-мастильні матеріали та технічне майно (агрегати, запасні частини, акумуляторні батареї, гумотехнічні вироби та ін.), мають забезпечувати зручність приймання надходжуваного майна, підготовки його до зберігання, саме збереження і швидкісну видачу, а також пожежну безпеку.

Залежно від призначення склади поділяють на матеріальні (зберігання паливно-мастильних та інших експлуатаційних матеріалів, шин, запасних частин, інструменту тощо), ремонтного фонду та господарські (зберігання спецодягу, тари, робочого інструменту та ін.).

Розміщення складів на території господарства залежить від характеру матеріальних цінностей і їх призначення. Наприклад, склади запасних частин і матеріалів розташовують поблизу зони технічного обслуговування та ремонту машин.

За конструкцією склади бувають закриті, напівзакриті, відкриті та спеціальні.

Закриті склади (запасних частин, матеріалів) розміщують, як правило, в опалюваних будинках і устатковують стелажами, стендами та підставками, які забезпечують належне утримання майна. Стелажі розташовують з урахуванням найкращого використання площі й освітлення, а також зручності догляду за майном і транспортування його.

Для механізації вантажно-розвантажувальних робіт склади забезпечують кранами, кран-балками, електротельферами, візками, ліфтами та іншими підіймально-транспортними пристроями, а також механізованими стелажами. Якщо стелажі не механізовані, а звичайні, то на їх нижніх полицях розташовують важкі й громіздкі деталі, а на верхніх - легші. До полиць прикріплюють таблички з найменуванням майна.

Майно, яке зберігається в тарі (ящиках), складають у штабелі на дерев'яні підкладки завтовшки 20...25 см. Між штабелями має бути прохід завширшки 1 м. На кожному ящику прикріплюють табличку з зазначенням на ній найменування і кількості речовин.

Технічне майно підлягає суворому обліку. На кожен його вид заводять облікову картку, в якій записують надходження та витрачання матеріалів і виводять залишок.

Нормативи зберігання технічного майна передбачають терміни зберігання матеріалів і запасних частин: деталей і вузлів - 23 дні, автошин -10, ремонтного фонду - 10, інструменту - 15, кисню, ацетилену і т. п. - 10, змащувальних і лакофарбових матеріалів - 15 днів; агрегати знаходяться в постійному запасі.

Запасні частини, агрегати, прилади та електроустаткування в умовах великих управлінь механізації зберігають у закритих опалюваних складах на багатоярусних стелажах або в шафах, розташованих за груповою (агрегатною) системою для зручності їх відшукування. Температура повітря в приміщенні має бути не нижчою 5 °С при відносній вологості 40...45 %.

Деталі та агрегати повинні бути законсервовані відповідно до термінів їх зберігання та призначення.

Пластичні мастила для цього нині не застосовуються, бо вони псують товарний вигляд виробу. Крім того, їх багато витрачається на консервацію виробів, вони потребують великої трудомісткості нанесення та значних витратна розконсервацію і не завжди відповідають вимогам, які до них ставляться. Тому останніми роками набули поширення спеціальні рідкі консерваційні (захисні) оливи, завдяки чому знижуються витрати мастильних матеріалів, а також трудомісткість консервації та розконсервації деталей. До складу цих олив входять поверхнево-активні речовини (інгібітори корозії), що сприяють утворенню на поверхні деталей тонкої оливної плівки, яка легко виводиться під час розконсервації. Незважаючи на те, що рідкі захисні оливи коштують дорожче від пластичних мастил, застосування їх дає більший економічний ефект.

Збереження покриття залежить від властивостей і якості захисних матеріалів (паперу, картону, а також спеціальної металевої, комбінованої і, рідше, дерев'яної тари). Останніми роками широко застосовують пластмасові матеріали.

Фарби і лаки зберігають в неопалюваних приміщеннях з якісною вентиляцією, захищеними від прямого впливу сонячних променів.

Кольорові метали на стелажах зберігають кожен окремо, щоб уникнути їх взаємодії. Олово зберігають при температурі не нижче 12 °С (короткочасно - не нижче 20 °С). Це пояснюється тим, що олово при низькій температурі і різкому перепаді температур схильне до особливого виду корозії-"олов'яної чуми". При виявленні корозії всі злитки переплавляють.

Карбід кальцію повинен зберігатися в сухому неопалюваному приміщенні з витяжкою, в герметичній упаковці.

Балони з киснем зберігаються в ізольованому приміщенні у вертикальному положенні на дерев'яних пірамідах. Приміщення має бути досконало ізольованим, віддаленим не менш як на 100 м від інших споруд і обладнаним витяжними трубами.

Сірчану і соляну кислоти зберігають у закритих приміщеннях з вентиляцією. Пляшки з сірчаною кислотою мають бути закупорені притертими пробками, а їх головки обтягнені конопляною тканиною і обв'язані шпагатом.

Акумуляторні батареї під час зберігання за рахунок саморозряджання втрачають частину своєї ємності (0,7...4% за добу). Ступінь саморозряджання залежить від умов зберігання, тому в процесі тривалого зберігання слід дотримуватися деяких вимог. 30крема, акумуляторні батареї потрібно зберігати в сухих, ізольованих, добре вентильованих приміщеннях. Батареї встановлюють в один ряд на підлозі або на стелажах вивідними клемами вверх на відстані не менш як 1 м від нагрівальних приладів. Вони мають бути захищені від потрапляння прямих сонячних променів.

Батареї з сухими пластинами можна зберігати при температурі навколишнього повітря до -30 °С. Максимальний термін зберігання не повинен перевищувати двох років.

Батареї без електроліту доцільно зберігати лише в тому разі, якщо їх потрібно транспортувати до споживача після приведення в дію. Перед поставленням на зберігання такі батареї повністю заряджають, після чого вилучають електроліт з двогодинним витримуванням їх у перевернутому стані над ємкістю. Коли електроліт стече, батареї закривають пробками й ущільнювальними дисками, обмивають 10-відсотковим розчином нашатирного спирту або 5-відсотковим розчином каустичної соди і зберігають при температурі не вище 0 °С і не нижче -30 °С. Термін зберігання таких акумуляторів при цій температурі -близько року, а при кімнатній температурі - три місяці.

Батареї з електролітом зберігають повністю зарядженими при температурі не вище 0 °С, оскільки при зниженій температурі саморозряджання і корозія акумуляторних пластин сповільнюються. Мінімальна температура зберігання має бути не нижчою за -30 °С. Максимальний термін зберігання батареї з електролітом становить близько 1,5 року при температурі не вище 0 °С і дев'ять місяців - при температурі 18...20 °С. Якщо такі батареї зберігати при плюсовій температурі, то їх потрібно щомісяця підзаряджати відповідно до інструкції з експлуатації батарей.

Зберігання сучасних акумуляторних батарей має деякі особливості. Існує кілька способів зберігання таких батарей: з періодичним підзаряджанням акумулятора; з постійним підзаряджанням малими струмами, які компенсують саморозряджання з заміною електроліту на водний розчин борної кислоти.

При зберіганні батарей з періодичним підзаряджанням їх попередньо підзаряджають, очищують від забруднень і протирають 10-відсотковим розчином аміаку. Густину електроліту в разі тривалого зберігання контролюють не рідше одного разу на місяць і, якщо вона нижча за початкову на 0,05 г/см3 , батареї підзаряджають. Практично їх підзаряджають щомісяця при зберіганні в теплому приміщенні і через 3...4 місяці у разі зберігання в приміщенні з температурою 0 °С і нижче.

Якщо батарею зберігають із заміною електроліту на водний розчин борної кислоти, то її заряджають і зливають електроліт. Потім два рази промивають дистильованою водою з проміжками 15...20хв, наповнюють 4...5-відсотковим розчином борної кислоти, закривають банки пробками і ставлять на зберігання в приміщення з температурою вище 0 °С. По закінченні терміну зберігання розчин борної кислоти зливають і батарею заправляють електролітом густиною 1,4±0,01 г/см3 . Через 20...30хв густину електроліту знижують до 1,24...1,25 г/см3 . Якщо густина електроліту знижується більш як до 1,24 г/см3 , то частину електроліту вилучають і додають свіжий густиною 1,4±0,01 г/см3 . Після цього батарею встановлюють без підзаряджання на машину. Упродовж 12 місяців заряд батареї практично не змінюється.

Шини, камери та інші гумотехнічні вироби (нові, відновлені й старі, які придатні до експлуатації та ремонту) зберігають в окремому, закритому й сухому приміщенні, захищеному від сонячних променів. За наявності в приміщенні вікон їх шибки фарбують червоною або жовтогарячою фарбою.

Стелажі з шинами та вішалки з камерами мають розміщуватися від опалювальних приладів на відстані не менш як 1 м. Опалювальні прилади повинні бути екрановані.

Температура зберігання цих виробів -30. ..+35 °С при відносній вологості 50...80%. Якщо відносна вологість нижча за 50%, потрібно застосовувати штучне зволоження, посипаючи підлогу вологою тирсою. У приміщенні не допускається затхлість повітря та поява на стінах плісняви. У разі появи затхлості чи плісняви приміщення потрібно продезинфікувати 2-відсотковим розчином формаліну і провітрити.

Забороняється провітрювати склади під час грози та протягом 2...3 год після неї через різке збільшення озону в повітрі.

Шини зберігають у вертикальному положенні на стелажах або на рівній підлозі. Камери, в яких зберігаються шини, накачують повітрям до внутрішнього розміру покришок, щоб уникнути утворення на них складок.

Безкамерні шини зберігають з дерев'яними або картонними розпірками між бортами. У разі тривалого зберігання шини слід повертати, міняючи зону опори через кожні три місяці.

Камери зберігають трохи накачаними повітрям на кронштейнах з напівкруглими поверхнями. Через кожні три місяці зберігання на кронштейнах камери слід повертати, міняючи зону опори. Покришки та камери допускається зберігати на піддонах, але не більше трьох місяців. Не допускається зберігати їх в одному приміщенні з хімічними та іншими речовинами, які впливають на їхній технічний стан. Спеціальні підземні склади використовують для зберігання рідкого палива, яке застосовується в будівельно-дорожніх машинах. Розташування складів, їх технічне оснащення, порядок функціонування, а також граничні об'єми зберігання нафтопродуктів погоджуються з місцевими органами пожежної охорони. При цьому враховують ступінь займання нафтопродуктів, які зберігаються в цих складах (табл. 1).

Таблиця 1. Класифікація нафтопродуктів за ступенем їх займання

Нафтопродукти Група Клас Температура займання, °С Бензини, розчинникитаін. Тракторнийіосвітлювальнийгас Дизельнепаливо, мазут, відпрацьованаолива Змащувальнаоливатапластичнемастило Легкозаймисті Горючі І ІІ
ІІІ IV<28 28...45 45...120

Кожен склад, а також паливозаправний пункт повинен мати паспорт, складений технічною службою підприємства.

Паливо можна зберігати в підземних, напівпідземних (заглиблених) і на земних резервуарах, які повинні мати необхідну арматуру та устаткування відповідно до чинних правил. Використовувані протипожежні заходи мають забезпечувати повну пожежну безпеку при зберіганні.

Розташування ємкостей і тари повинно сприяти роздільному зберіганню палива за марками та сортами і вільному доступу до них. На ємкості і тару має бути нанесене відповідне маркування з зазначенням маси, марки та сорту продукту, який у них зберігається. Об'єм продукту в резервуарі визначається за калібрувальними таблицями, які складаються на кожен резервуар.

Мастильні матеріали зберігають у спеціальних сховищах, де рідку оливу тримають у цистернах, а пластичні мастила - у металевих бочках з кришками.

Великі господарства розміщують склади мастильних матеріалів у підвальних приміщеннях під профілакторіями, тобто пунктами технічного обслуговування та діагностування машин. У цих же складах може зберігатися робоча рідина для системи рульового керування, охолоджувальна і промивна рідини та інші матеріали, які використовуються під час технічного обслуговування.

10. Транспортування машин

Машини мають транспортуватися відповідно до вимог, зазначених в інструкції з експлуатації та в ДБН В.2.8-3-95. Для керування роботами з транспортування в кожній організації призначається особа з числа інженерно-технічних працівників, які мають досвід виконання таких робіт.

Транспортування машин з об'єкта на об'єкт, до місця ремонту, технічного обслуговування або зберігання здійснюється згідно з місячними планами транспортування. Ці плани та заходи щодо їх реалізації розробляє особа, яка відповідає за транспортування машин, на основі місячних планів використання машин і місячних планів-трафіків технічного обслуговування та ремонту. У плані мають бути зазначені назва машини, її марка (індекс), заводський номер, терміни та відстань транспортування, метод транспортування і вид транспортних засобів.

Залежно від конструктивних особливостей машин, їх маси, розмірів, відстані транспортування, стану доріг, наявності транспортних засобів та інших умов машини транспортують своїм ходом, на буксирі або різними видами транспорту на причепах-ваговозах, залізничним, водним або повітряним транспортом.

Особливу увагу слід звернути на транспортування своїм ходом і на буксирі сучасних екскаваторів і гідравлічним приводом, оскільки перед транспортуванням цих машин потрібно виконати ряд підготовчих робіт, щоб запобігти виникненню несправностей.

Машини на базі гусеничних тракторів можна транспортувати своїм ходом на відстань до 30 км, а гусеничні екскаватори - не більш як на 10 км.

Перед транспортуванням перевіряють технічний стан машини та наявність паливно-мастильних матеріалів, змащують гусеничний хід відповідно до таблиці змащування, вивчають ділянку дороги, якою переміщуватимуться машини і, якщо потрібно, узгоджують її з органами Державтоінспекції.

Якщо в дорозі зустрічатимуться залізничні переїзди, узгоджують з начальником дистанції час переїзду, подаючи заявку не пізніше як за 24 рік до початку транспортування.

Швидкість руху гусеничних машин вантажопідйомністю понад 10 т має бути 0,8... 10 км/год.

У разі переміщення по бездоріжжю потрібно спланувати ділянки дороги, а за наявності слабких ґрунтів або грунтів, насичених водою, слід застосовувати суцільні настили з колод, шпал, брусів або переносні щити завдовжки 6...6,5 м.

Екскаватор може переміщуватись по місцевості з поздовжнім похилом не більше 20° і поперечним 6°. Розвороти екскаватора на ділянках з похилом понад 5° не допускаються. На спусках і підйомах слід дотримуватись особливої обережності.

Під час тривалого руху на підйом і тривалих маневрів у тяжких умовах стежать за станом дизельної установки. Температура охолоджувальної рідини та оливи в ній не повинна підійматися вище 100 °С.

Ківш екскаватора має бути піднятий над землею на висоту до 1 м, а поворотна платформа загальмована.

Після проходження кожних 5 км дороги перевіряють ступінь нагріву редукторів і опорних котків.

Пневмоколісні машини своїм ходом переміщують зі швидкістю 7,5... 15 км/год на відстань до 50 км. В іншому разі вони мають буксируватися тягачами або на причепах (трейлерах).

Перед транспортуванням своїм ходом машини приводять у транспортне положення. Вони мають відповідати вимогам правил руху по автомобільних дорогах і вписуватися в транспортні габарити. Перед виїздом перевіряють справність і роботу рульового керування та гальма коліс, тиск у гідросистемі, стан шин і тиск у них, роботу електроустаткування. Виявлені дефекти потрібно повністю усувати.

Виносні опори (якщо вони не зняті) піднімають у транспортне положення і закріплюють пальцями й защіпками. Поворотну платформу повертають робочим устаткуванням у бік переднього моста. Робоче устаткування має бути підняте над поверхнею землі не більш як на 1 м.

Під час руху машин своїм ходом забороняється перемикати швидкість на підйомах, похилах і залізничних переїздах. Залізничні колії дозволяється переїжджати лише на першій передачі. Лише на цій передачі допускається рух крана під похил 5°.

Особливу увагу слід приділяти руху через перехрестя, на похилах та під мостами. Під час руху слід враховувати несучу здатність інженерних споруд (мостів, шляхопроводів), якість доріг та габарити проїздів під мостами.

Маршрути важких машин з тиском на вісь понад 10 т значними габаритами узгоджують з Державтоінспекцією. Машиністи цих машин мають керуватися правилами дорожнього руху. Транспортування бажано здійснювати в години, найменш напружені щодо заповнення доріг.

По бездоріжжю і ґрунтових дорогах слід рухатися на першій передачі, особливо під похил, а по дорогах з асфальтовим покриттям допускається рух на другій передачі.

Під час транспортування машин на причепах виставляють габаритні знаки: вдень - червоні прапорці, а вночі - світлові сигнали.

Завантажуючи машини на причепи, дотримуються таких правил техніки безпеки:

похилі стропи мають бути надійно закріплені й витримувати масу машини, що завантажується;

нахил площини трапу не повинен перевищувати 10°;

під час в'їзду на причіп забороняється керувати поворотом машини й вирівнювати машину на причепі; для цього потрібно з'їхати на грунт, а потім знову в'їжджати;

від поздовжніх і поперечних зміщень машина повинна утримуватися брусками й розтяжками з дроту діаметром 3...6 мм (розтяжки поворотної платформи та робочого устаткування виконують у чотири нитки, а розтяжки гусеничного ходу - в сім ниток);

між гусеницями і трапами мають бути встановлені бруски й забиті дерев'яні клини.

Під час транспортування машини забороняється перебувати в її кабіні та на причепі.

Маршрут руху вибирають на основі попереднього обстеження важкопрохідних ділянок дороги й узгоджують його зі службою руху Державтоінспекції, якщо габарити машини становлять по ширині понад 2,5, по висоті- понад 3,8 м.

Поздовжні похили дороги не повинні перевищувати 15°. Проходження похилів понад 10° дозволяється після перевірки поперечної стійкості машини та причепа з вантажем.

На крутих спусках та підйомах для транспортування машин на причепах-ваговозах застосовують, крім тягача, й інший автомобіль. Перевезення машин на причепах (трейлерах) під час ожеледиці та при інших несприятливих дорожніх умовах забороняється.

Швидкість переміщення тягача з причепом не повинна перевищувати швидкості для даного типу доріг та вказаної в технічній характеристиці причепа.

Транспортування машин залізницею вигідне при відстані понад 200 км. У цьому разі машина має вписуватись у нормальні обриси встановлених поперечних габаритів, а її довжина - не бути більшою за довжину платформи.

Встановлюючи на платформі, машину закріплюють підпорами й колодками, які запобігають її поздовжньому й поперечному зміщенню. Машини з високорозташованим центром ваги (автогрейдери, екскаватори тощо), крім підпорів і колодок, закріплюють ще й розтяжками зі скрученого дроту діаметром 3,5...6 мм, досить міцними для сприйняття інерційних сил, що виникають на початку руху і під час гальмування платформи. Потрібну кількість розтяжок і кількість ниток дроту в них встановлюють розрахунком на міцність. Орієнтовно поздовжню силу інерції слід брати 2,3...3,8 кН, а центральну силу, що діє в поперечному напрямі, - 1,7 кН на 1 т маси машини.

Водним і повітряним транспортом машини транспортують у тому разі, коли це економічно виправдано або коли ці види сполучення є єдиним засобом доставлення машин споживачеві.

Проведені роботи з транспортування машин відображають у журналі транспортування за формою міністерства (відомства).


11 Зберігання машин

Кожна організація, на балансі якої перебувають будівельно-дорожні машини, зобов'язана забезпечити їх правильне зберігання відповідно до вимог ГОСТ 25646-83 і ГОСТ 7751-79. Зберігання машин передбачає ряд заходів, зокрема обов'язкове очищення, миття і змащення їх деталей.

Облік машин, що перебувають на зберіганні, здійснюють у спеціальному журналі, а після розконсервації основні відомості заносять до паспортів на машини.

Міжзмінне зберігання в літню пору полягає в охороні машини, а в зимову пору, крім того, ще в захисті її від дії низьких температур для полегшення запуску двигуна.

Машини, які не використовують за призначенням з технічних, організаційних та інших причин понад 10 днів, ставлять на короткотривале, а більше двох місяців - на довготривале зберігання (консервацію). Короткотривале зберігання машин можна здійснювати на місці їх використання, а довготривалого на основних базах управлінь механізації. До короткотривалого іберігання машину готують відразу після закінчення робіт, а до довготривалого - не пізніше 10 днів з моменту закінчення робіт.

На короткотривале зберігання машини ставлять комплектно, тобто без зняття з них окремих агрегатів, вузлів і деталей.

Перед поставленням машин на зберігання проводять їх технічне обслуговування. Паливну систему повністю заповнюють паливом, а з водяної системи охолодження в холодну пору року обов'язково зливають воду.

При зберіганні машин на пневмоколісному ходу терміном до 10 днів тиск у шинах має бути вищий від номінального. При зберіганні понад 10 днів машину встановлюють на підставки і знижують тиск у шинах до 70...80% номінального. У цьому разі між шинами і майданчиком має бути проміжок.

Довготривале зберігання машин передбачає комплекс заходів для захисту деталей від псування. Після миття машин проводять технічне обслуговування та поточний ремонт, який після розконсервації забезпечує роботу машин до наступного планового поточного ремонту..

Машина має бути повністю змащена згідно з картою змащування. Ділянки з пошкодженою фарбою очищують і знову фарбують. Нікельовані та хромовані поверхні витирають чистою тканиною, змоченою в гасі, після чого обмивають теплою водою.

Нефарбовані металеві поверхні після очищення від бруду та видалення слідів гасу покривають шаром антикорозійного мастила, дерев'яні частини фарбують. Оливу в двигунах повністю міняють, а для запобігання корозії в циліндри заливають небагато оливи і прокручують колінчастий вал двигуна вручну або стартером. Крім цього, в циліндри закладають спеціальні вологовбирні патрони, а самі циліндри герметизують. Пас двигуна послаблюють, а поверхню блоку циліндрів протирають тканиною, змоченою в дизельному паливі, після чого весь двигун закривають брезентом або папером.

Сталеві канати, що застосовувалися, знімають з машини, перевіряють за існуючими нормами, змащують і зберігають у бухтах в закритих приміщеннях.

Зняті гумові вироби зберігають при температурі 5... 15 °С і відносній вологості 50 %. Перед зберіганням їх миють, просушують і протирають. Місця, що дотикаються під час зберігання, пересипають тальком.

Гідромашини (гідродвигуни та гідронасоси), що підлягають зберіганню, мають бути законсервовані. Зберігають їх у приміщенні, для захисту від атмосферних опадів, при температурі повітря не нижче 5 °С.

Консервуючи гідромашини, з них повністю зливають робочу рідину, з зовнішніх поверхонь видаляють бруд, пил і залишки робочої рідини, гідромашину ретельно промивають у бензині, а всі внутрішні поверхні деталей (наприклад, гідродвигуна) змащують робочою рідиною або тонким шаром пластичного мастила. За цієї умови гідродвигун може зберігатися близько 6 місяців. При тривалішому зберіганні корпус гідродвигуна (гідронасоса) заповнюють робочою рідиною, що використовується в гідросистемі. Отвори для приєднання трубопроводів закривають пробками з оливобензостійкої гуми або полімерного матеріалу. Нефарбовані зовнішні поверхні сталевих деталей покривають консерваційним змащувальним матеріалом.

Машини на пневмоходу, що консервуються, встановлюють на козлах, а гусеничні - на брусках або дошках. Частини машини, які підтримуються тросами, опускають на козли, а пружини й ресори розвантажують.

Цінні прилади, інструменти та частини електроустаткування (акумулятори, фари тощо) знімають і зберігають окремо.

Після закінчення всіх підготовчих робіт двері кабін, канати й кришки паливних резервуарів пломбують.

Машини зберігають у закритих приміщеннях, під навісом і на відкритих майданчиках. Місця зберігання розташовують на відстані від житлових, складських і виробничих приміщень не менш як 50 м.

Місця зберігання забезпечують протипожежними засобами згідно з правилами пожежної безпеки, забезпечуючи можливість виведення машин у разі пожежі.

Відкриті майданчики та навіси розташовують у сухих місцях. Майданчик повинен бути горизонтальним або з невеликим похилом та мати рівну міцну поверхню, яка може витримати навантаження машини при стоянці та переміщенні. Територію стоянки обладнують вітро- і світлозахисними пристроями та водовідвідними каналами.

На майданчику позначають місця стоянки і проїзди, а на місці стоянки кожної машини закріплюють табличку з зазначенням марки (індексу) машини та її інвентарного номера. Мінімальна відстань між машинами в одному ряду - 0,7 м, а мінімальна відстань між рядами -6 м.

Машини, що зберігаються під навісом і на відкритих майданчиках, перевіряють не рідше одного разу на місяць, а після сильного вітру, снігопаду та великого дощу - не пізніше наступного дня. Машини, що зберігаються в закритих приміщеннях, та зняті з машин вузли, що зберігаються на складах, перевіряють один раз на два місяці.

Деталі з гуми й текстилю через кожні три місяці перевіряють і перекладають, а в разі потреби дезинфікують, насухо протирають і припудрюють тальком.

Роботи, пов'язані з підготовкою, поставленням машини на зберігання та зняттям її зі зберігання, виконують особи, за якими ці машини закріплені, під керівництвом лінійного механіка. Після підготовки машину здають на зберігання особі, що відповідає за зберігання. Приймання машини на зберігання та видача її зі зберігання оформляється актом або записом у спеціальному журналі.

Доступ до місця зберігання машин і агрегатів стороннім особам заборонений.

12. Списання машин

Машини списують відповідно до Типової інструкції про порядок списання такого, що вийшло з ладу, обладнання, господарського інвентарю та іншого майна, яке враховується в складі основних фондів.

Списанню підлягають машини, що відпрацювали встановлений термін служби і які за технічним станом не можуть бути ефективно використані, а також машини, що втратили працездатність внаслідок аварій, стихійних лих ти і інших причин, у випадку недоцільності їх відновлення.

Розрахункові терміни служби (в роках) до списання основних будівельних машин Екскаватори одноківшеві розмірної групи:

3(місткістьковша-0,4 м3 ).................................. 8

4(місткістьковша - 0,65 м3 ).............................. 9

5(місткістьковша - 1 м3 ).................................. 10

6 і 7 (місткість ковша-1,25 м3 )......................... 12

Кранисамохідністрілові:

автомобільні..................................................... 10

пневмоколіснітагусеничнівантажопідйомністю, т:

<16.................................................................... 11

16...40............................................................... 12

>40.................................................................... 14

Кранибаштовівантажопідйомністю, т:

<10.................................................................... 10

>10.................................................................... 16

Бульдозеринатракторахздвигуномпотужністю, кВт:

<55..................................................................... 7

55... 132............................................................. 8

>132................................................................... 9

Скреперизмісткістюковша, м3 :

<15..................................................................... 7

>15.................................................................... 10

Автогрейдериздвигуномпотужністю, кВт:

<80..................................................................... 8

>80.................................................................... 10

Навантажувачі................................................... 9

Викорчовувачі, котки:

самохідні............................................................ 6

причіпні, статичні.............................................. 8

причіпні, вібраційні........................................... 9

Конвеєристрічковіпересувні........................... 5

Лебідки:

ручні.................................................................. 8

привідні.............................................................. 5

Списання машин передбачає визначення їх технічного стану, оформлення акта, зняття з обліку, розбирання, дефектування деталей та передачу справних деталей на відновлення, а несправних - у металобрухт.

Для визначення технічного стану машин, що підлягають списанню, в кожній організації наказом керівника створюється комісія. Результати визначення технічного стану оформляються актом за встановленою формою. В акті зазначають рік виготовлення машини, дату її доставлення в організацію, дату введення в експлуатацію, початкову вартість, суму зношення за бухгалтерськими даними, кількість капітальних ремонтів, результати визначення технічного стану, висновок комісії та ін.

Після затвердження керівником організації акта на списання машину знімають з обліку в Державтоінспекції та місцевому Держнаглядохоронпраці, а також з балансу організації.

Для списання з балансу підприємства вартості машини та устаткування, що втратили працездатність внаслідок аварії, до акта про списання додають копію акта про аварію, а також пояснюють причини, що призвели до аварії, і вказують заходи, вжиті стосовно винних.

Машини, зняті з балансу, розбирають, а їхні вузли й деталі дефектують. Приватні до використання й ремонту деталі та вузли беруть на облік і використовують для поповнення обмінного фонду, що створюється в організаціях для ремонту машин. Непридатні до ремонту та використання деталі й вузли зі списаних машин здають на склади Головвторсировини в термін не пізніше 30 діб від дня списання.


ПЕРЕЛІК ВИКОРИСТАНОЇ ЛІТЕРАТУРИ

1. Бабушко С.М. Ремонт тракторов и автомобилей. – К.: Высшая школа. 1982. – 344с.

2. Кисликов В.Ф., Лущик В.В. Будова і експлуатація автомобілів: Підручник. К.: Либідь, 2002. – 400с.

3. Лауш П.В. Техническое обслуживание и ремонт машин. – К.: Высшая школа, 1989. – 350с.

4. Полянський С.К. Будівельно-дорожні та вантажопідіймальні машини. – К.: Техніка, 2001. – 624с.

Оценить/Добавить комментарий
Имя
Оценка
Комментарии:
Делаю рефераты, курсовые, контрольные, дипломные на заказ. Звоните или пишите вотсап, телеграмм, вайбер 89675558705 Виктория.
15:42:50 17 октября 2021
Срочная помощь учащимся в написании различных работ. Бесплатные корректировки! Круглосуточная поддержка! Узнай стоимость твоей работы на сайте 64362.ru
03:24:03 11 сентября 2021
Привет студентам) если возникают трудности с любой работой (от реферата и контрольных до диплома), можете обратиться на FAST-REFERAT.RU , я там обычно заказываю, все качественно и в срок) в любом случае попробуйте, за спрос денег не берут)
Olya13:44:43 01 сентября 2019
.
.13:44:42 01 сентября 2019
.
.13:44:41 01 сентября 2019

Смотреть все комментарии (17)
Работы, похожие на Реферат: Вимоги до експлуатації і технічного обслуговування машин

Назад
Меню
Главная
Рефераты
Благодарности
Опрос
Станете ли вы заказывать работу за деньги, если не найдете ее в Интернете?

Да, в любом случае.
Да, но только в случае крайней необходимости.
Возможно, в зависимости от цены.
Нет, напишу его сам.
Нет, забью.



Результаты(286337)
Комментарии (4153)
Copyright © 2005-2021 HEKIMA.RU [email protected] реклама на сайте