Реферат на тему:
Виды девиации магнитного компаса
Основным требованием к качеству решения задачи контроля за движением судна является обеспечение высокой точности и надежности получаемых результатов, где точность определяется величиной обычной для функционирования системы погрешностей, а надежность - вероятностью отсутствия в результатах аномальных погрешностей и сбоев.
Находящиеся в магнитном поле Земли детали набора и другие стальные и железные части судна постепенно намагничиваются и приобретают свойства магнита. В результате этого в окружающем судно пространстве возникает собственное магнитное поле, действие которого складывается с магнитным полем Земли. Магнитные стрелки судового компаса устанавливается по равнодействующей сил обоих полем, вследствие чего отклоняется от направления магнитного меридиана
Вертикальная плоскость, проходящая через ось свободно подвешенной магнитной стрелки компаса, установленного на судне, называется плоскостью компасного меридиана, а след от пересечения этой плоскости с плоскостью истинного горизонта - компасным меридианом NKSK. Направление компасного меридиана совпадает с диаметром картушки 0—180°.
Горизонтальный угол, на который плоскость компасного меридиана отклоняется от плоскости магнитного меридиана, называется девиацией магнитного компаса e
,w,
(рис.1).
Девиация отсчитывается от северной части магнитного меридиана NM
к Е или W от 0 до 180°. Еслн северная часть компасного меридиана Nk отклонена от NM
к востоку, то девиация имеет наименование Е (восточная) и ей приписывается знак плюс (+), если NK
— к западу, то W (западная) со знаком минус (-)
На каждом курсе девиации у судовых компасов различна. Это объясняется тем, что при изменении курса меняется положение судового железа относительно магнитных стрелок компаса.

Рис. 1. Девиация компаса восточная и западная W
Кроме того, после поворота судна судовое железо частично перемагничивается что также приводит к изменению магнитного пола судна.
Девиация судовых компасов изменяется на одном и том же курсе при перемене широты места, что связано с изменением напряженности магнитного поля Земли и, следовательно, изменением намагниченности судового железа, а также при каждой погрузке или выгрузке грузов обладающих магнитными свойствами, при длительной стоянке судна в ремонте, при проведении электросварочных работ вблизи компасов, при сильном сотрясении корпуса судна.
Девиацию судового компаса периодически определяют для различных курсов и заносят в специальную таблицу, откуда ее выбирают при расчетах курсов и пеленгов. Зная значение девиации, можно по замеченным компасным направлениям рассчитывать направления относительно магнитного меридиана.
На современных стальных судах магнитное поле оказывается столь большим, что девиация у компасов может достигать десятков градусов, и при больших значениях девиации угол поворота судна, наблюдаемый по компасу, будет значительно отличаться от действительного изменения курса. Магнитное поле судна может, кроме того, настолько ослабить напряженность магнитного поля Земли, что ее горизонтальная составляющая Н становится неспособной преодолеть трение. Это обстоятельство ведет к застою картушки при поворотах судна.
Чтобы обеспечить надежную роботу компасов, производят уничтожение их девиации. Принцип уничтожения девиации заключается в компенсации магнитного ноля суди вблизи компаса.
В соответствии с международными стандартами, точность любого установленного на судне гирокомпаса должна отвечать следующим минимальным требованиям.
Установившаяся погрешность гирокомпаса — это разность отсчетов истинного и установившегося курсов. Установившийся курс — среднее значение из 10 отсчетов, взятых один за другим через 20 мин после того, как гирокомпас пришел в меридиан. Считается, что гирокомпас пришел в меридиан, если разность между значениями любых двух отсчетов, взятых через 30 мин, не превышает ±0,7°. Установившаяся погрешность на любом курсе в широтах 60° не должна превышать ±0,75° sec. Средняя квадратическая погрешность разностей между отдельными отсчетами курса и его средним значением должна быть менее 0,25° sec.
Стабильность установившейся погрешности гирокомпаса от пуска к пуску должна быть в пределах 0,25° sec. Стабильность установившейся погрешности основного прибора гирокомпаса должна быть в пределах ±1° sec в обычных условиях эксплуатации и вариациях магнитного поля, которые может испытывать судно.
Требуется также, чтобы в широтах 60° включенный в соответствии с инструкцией гирокомпас пришел в меридиан за время не более 6 ч при бортовой и килевой качках с периодом колебаний от 6 до 15 с, амплитудой 5° и максимальном горизонтальном ускорении 0,22 м/с2
; остаточная постоянная погрешность после ввода коррекции 'За скорость и курс при скорости 20 уз не должна превышать ±0,25° sec
; погрешность, вызванная быстрым изменением скорости, при начальной скорости 20 уз не должна превышать ±2°; погрешности, вызванные бортовой и килевой качкой с периодом колебаний от 6 до 15с, амплитудами 20°, 10° и 5° соответственно при максимальном горизонтальном ускорении, не превышающем 1 м/с2
, и рысканием судна должны быть не более 1° sec.
Максимальное расхождение в отчетах между основным прибором гирокомпаса и репитерами в рабочем состоянии не должно превышать ±0,5°.
До последнего времени считалось, что гирокомпас в принципе непригоден для быстроходных малых судов, самолетов и других объектов, испытывающих значительные вибрации и сотрясения.
Причины этого состоят в следующем:
при высоких скоростях гирокомпас приобретает значительную скоростную девиацию, для учета которой необходимо знать скорость объекта относительно Земли (грунта) и широту места;
движение в западном направлении с высокой скоростью вызывает уменьшение направляющего момента обычных гирокомпасов вплоть до эффекта «остановки Земли», когда западная составляющая скорости становится равной линейной скорости земного вращения и обычный гирокомпас полностью теряет направляющий момент.
Однако для использования он становится непригодным значительно раньше — когда уменьшающийся направляющий момент окажется того же порядка, что и возможные возмущающие моменты;
маневрирование на высоких скоростях вызывает недопустимо большие инерционные погрешности гирокомпаса. Единственным средством борьбы с инерционными погрешностями до последнего времени считалась «настройка» гирокомпаса на частоту Шулера, т. е. превращение его в апериодический гирокомпас. Однако для такой настройки необходимо автоматическое регулирование параметров гирокомпаса в функции скорости объекта и широты места, которые известны на объекте лишь с некоторой степенью точности. Естественно, что ошибки «апериодизации» вызовут появление нескомпенсированных инерционных погрешностей гирокомпаса, которые тем больше, чем выше уровень возмущающих сил инерции. Кроме того, существовало неправильное мнение, что создание апериодического компаса путем настройки на частоту Шулера в принципе возможно лишь для невысоких скоростей;
на высоких скоростях начинают проявляться эффекты центробежной и кориолисовой сил инерции, вызывающие дополнительные погрешности гирокомпаса;
для устранения инерционных погрешностей путем регулирования параметров гирокомпаса считалось необходимым значительно увеличить габариты его чувствительного элемента и комплектацию вспомогательных приборов.
Такие крупногабаритные гирокомпасы действительно были созданы, но при этом встретились почти непреодолимые трудности в их балансировке и изоляции от внешних возмущений и эффектов инерции собственных масс гирокомпаса. Такие гирокомпасы непригодны для малых объектов.
Таким образом, на первый взгляд, гирокомпас не может найти применения на новых быстроходных транспортных судах (судах на подводных крыльях и на воздушной подушке), а в будущем — на подводном транспортном флоте.
Однако перечисленные выше недостатки присущи только «классическому» типу гирокомпаса, применяющемуся в настоящее время на нашем флоте.
При изменении режима движения судна, к которому следует отнести маневры — изменения скорости, курса или выполнение циркуляции, в показаниях гирокомпасов возникают погрешности, называемые обычно инерционными девиациями. Их возникновение является следствием влияния на чувствительный элемент прибора моментов сил инерции от возникающих при маневрировании линейных ускорений. Многообразие инерционных воздействий и невозможность достаточно точного учета возникающих ускорений определяют сложность математических расчетов и получения конечных выражений для величин инерционных девиаций, что в свою очередь создает нередко непреодолимые трудности в их учете и устранении из показаний гирокомпаса. Поэтому применяется наиболее оправданный в подобных случаях метод оптимального расчета прибора, при котором удается получить такие его свойства, когда возникающие погрешности не будут превосходить заранее установленных техническими условиями пределов. Для судоводителей крайне важно понять характер возникновения погрешностей и те меры, которые могут быть применимы для их устранения.
Если выполняется условие апериодических переходов (т. е. судно находится в расчетной широте или гирокомпас апериодический и произведена нужная регулировка), то направление главной оси гирокомпаса во время маневра изменения скорости, все время совпадает с мгновенным значением скоростной девиации v
и никакой другой погрешности, кроме этой, в его показаниях не возникает.
Инерционная девиация II рода возникает в показаниях гирокомпаса при маневрировании судна вследствие воздействия сил инерции на гидравлический успокоитель.
При этом в успокоителе появляется избыток жидкости в каком-либо сосуде, который в свою очередь приводит к возникновению инерционной девиации.
В чистом виде инерционная девиация II рода возникает либо у апериодического гирокомпаса, или, если компас неапериодический, то при маневрировании в расчетной широте. В широтах, отличных от расчетной, в показаниях гирокомпаса возникают одновременно инерционные девиации I и II рода.
Для предотвращения появления инерционной девиации ІІ рода в некоторых конструкциях двухгироскопных компасов применяют специальные устройства — выключатели затухания, перекрывающие на время маневра соединительную трубку сосудов успокоителя.
Как правило, двухгироскопные гирокомпасы, находящиеся в эксплуатации па судах морского флота, являются неапериодическими и, кроме того, в комплекте гирокомпаса отсутствует прибор управления выключателем затухания. Это означает, что в общем случае при маневрах в показаниях гирокомпаса будет возникать одновременно инерционная девиация I и II рода. Таким образом, судоводителю следует считаться с тем, что показания гирокомпаса в течение некоторого интервала времени после завершения маневра будут неточны вследствие существования суммарной инерционной девиации j
.
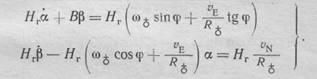
Когда судно начинает движение, то в показаниях маятниковых гирокомпасов появляется погрешность, которая называется скоростной девиацией. Уравнение движения чувствительного элемента гирокомпаса в случае, когда судно движется с постоянной скоростью vс
и на постоянном курсе ИК, можно получить в следующем виде:

Поскольку существуют таблицы суммарной инерционной девиации рассчитанные в соответствии с приближенной теорией гирокомпаса и, так как каждый конкретный чувствительный элемент имеет в пределах заводских допусков определенное отклонение своих параметров от их стандартного значения, то не имеется достаточных оснований для прямого использования таблицы для расчета поправки гирокомпаса.
Однако качественная картина возникновения и развития во времени суммарной инерционной девиации должна приниматься судоводителем в расчет.
С целью уменьшения влияния суммарной инерционной девиации на точность судовождения можно предложить следующие рекомендации:
1) поправку гирокомпаса определять либо на стоянке судна, либо когда оно 1,5—2 ч следует с неизменной скоростью и постоянным курсом;
2) после маневра судна, связанного с поворотом на новый курс, сличить показания магнитного и гироскопического компасов сразу после окончания поворота с тем, чтобы определить величину новой поправки магнитного компаса на тот случай, если гирокомпас выйдет из строя. Повторить сличение показаний гирокомпаса и магнитного компаса через 1,5—2 ч после маневра и полученное значение поправки магнитного компаса считать уточненным и принимать это значение в последующем;
3) в течение полутора-двух часов после маневра не следует определять место судна по пеленгам двух предметов. В случае необходимости такого определения полученное место судна нельзя считать достоверным. При определении места судна по пеленгам трех предметов необходимо пеленгование выполнять как можно быстрее (в течение 1—2 мин) с тем, чтобы все пеленги содержали ошибку примерно одной и той же величины, которую затем надо исключить известным из навигации способом. Лучше всего в рассматриваемом случае определять место судна способами, не связанными с пеленгованием;
4) способ уничтожения и определения девиации магнитного компаса по сличению с гирокомпасом при условии, что судно совершает повороты, имея линейную скорость, следует считать приближенным.
При развороте судна на месте (например, с помощью буксиров) инерционная девиация в показаниях гирокомпаса не возникает и указанный способ становится более точным.
Следует помнить, что эти рекомендации имеют смысл только в том случае, если при маневре vN
имеет величину не менее 5 узлов.
Для компенсации скоростной погрешности V
к гирокомпасу присоединяют специальное устройство — корректор. Корректор имеет два диска, наложенных один на другой (рис. 37). Нижний диск, соединенный со следящей системой гирокомпаса, строго ориентирован относительно гиросферы. Его паз П расположен по оси ОЕК
гиросферы. При повороте судна следящая система гирокомпаса возвращается в согласованное с гиросферой положение, а паз нижнего диска будет всегда направлен на восток гиросферы независимо от возможного изменения курса судна. Верхний диск, наложенный на нижний, соединен с последним в точке А штырем особой конструкции, укрепленным с нижней стороны верхнего диска на расстоянии О1
А =Ro
wo
от центра этого диска.

Палец западает в паз нижнего диска, эксцентрично соединяя оба диска. Верхний диск укреплен на специальной каретке и может сдвигаться относительно нижнего в направлении диаметральной плоскости судна. Расстояние 001
между центрами дисков можно устанавливать в зависимости от известных величин скорости судна и широты места. Из рис. 37 видно, что направление паза П нижнего диска соответствует направлению
Ек
— на восток гиросферы, поэтому курс судна по показаниям гиросферы, содержащий скоростную погрешность v
, определится углом КК.
Устранение из показаний гирокомпаса скоростной погрешности V
достигается установкой каретки с верхним диском в направлении диаметральной плоскости судна так, чтобы расстояние между центрами дисков было равно величине 001
= vc
sec. Тогда курс КК, отсчитываемый по показаниям гиросферы, будет отличаться на величину угла 0
от курса ИК, отсчитываемого по верхнему диску (картушке компаса) от линии Nи
01
. Линия Nи
01
перпендикулярна направлению 01
А. Следовательно,
КК = ИК + 0
.
Из прямоугольного треугольника B1
OAнаходим:
tg0
= B1
O/(AO1
+ B1
O1
)
В гирокомпасе с электромагнитным управлением использован более простой способ устранения баллистических девиаций. Для этого маятник индикатора горизонта сильно задемпфирован, а углы его отклонения от равновесного положения ограничены специальными упорами до относительно малой величины.
Кроме того, чтобы снизить скорость баллистического перемещения гироскопа за время действия ускорения, период незатухающих колебаний в рабочем режиме гирокомпаса выбирается большим — до 120—180 мин.
Возможен еще один простой и, по-видимому, более эффективный способ устранения баллистических девиаций.
Если в индикаторе горизонта предусмотреть устройство, которое автоматически отключало бы сигнал индикатора горизонта от схемы управления гироскопом, когда маятник под действием ускорения достигает одного из упоров, то гироскоп вместо прецессирования с малой скоростью во время действия ускорения становится свободным. Можно ожидать, что в этом случае отклонение гироскопа за время маневрирования будет меньшим, чем при первом способе компенсации. Следует заметить, что в обоих случаях при маневрировании корректирующие моменты остаются приложенными к гироскопу.
Эффективным способом устранения баллистических девиаций для гирокомпасов с электромагнитным управлением является способ компенсации силы инерции, воздействующей на маятник индикатора горизонта при наличии линейных ускорений.
Интеркардинальная девиация. При движении судна в условиях качки следящая сфера гирокомпаса раскачивается вокруг своей оси подвеса в такт с качкой под действием составляющей ускорения в плоскости Е—W.
Составляющая ускорения в плоскости N—S, воздействующая на маятник следящей сферы, меняя свое направление синхронно-с качкой, создает вертикальный момент, аналогично тому, как это происходит у обычных маятниковых компасов, но в отличие от них в гирокомпасе с электромагнитным управлением этот момент сам по себе не вызывает интеркардинальной девиации.
Инерционные моменты, действующие на следящую сферу во время качки, приводят лишь к дополнительным динамическим нагрузкам на двигатели азимутальной и горизонтальной следящих систем, но не дают существенных ошибок в показаниях гирокомпаса.
Основная причина, определяющая появление интеркардинальной девиации у гирокомпаса с косвенным управлением, заключается в том, что составляющая ускорения в плоскости N—S действует и на маятник индикатора горизонта. Она вызывает появление сигнала, пропорционального ускорению и меняющего знак в такт с качкой. Этот сигнал поступает на двигатели, которые прикладывают к гироскопу через торсионы знакопеременные моменты. Поскольку одновременно происходит раскачивание следящей сферы, оси двигателей рассогласовываются с осями соответствующих торсионов на угол, примерно равный амплитуде качки. В результате, когда сигнал от индикатора горизонта поступает на двигатели, моменты, прикладываемые к гироскопу торсионами, создают две составляющие — горизонтальную и вертикальную.
Так как горизонтальные торсионы имеют жесткость, во много раз большую, чем вертикальные, то вертикальная составляющая моментов от горизонтальных торсионов по абсолютной величине значительно превосходит остальные вертикальные моменты. Она и образует постоянный вертикальный момент, вызывающий ингеркардинальную девиацию гирокомпаса па качке. Как видно, механика появления интеркардинальной девиации у гирокомпасов с электромагнитным управлением иная, чем у обычных маятниковых гирокомпасов, но схема образования постоянного вертикального момента при качке по существу одинакова.
Величина интеркардинальной девиации, закон ее изменения и зависимость от параметров гирокомпаса и качки для гирокомпаса с электромагнитным управлением в принципе остаются такими же, как и для одногироскопных маятниковых компасов.
Из известных способов компенсации интеркардинальной девиации для
гирокомпаса с электромагнитным управлением наиболее рациональным оказалось применение индикатора горизонта с сильно демпфированным маятником.
Введение в чувствительный маятниковый элемент вязкого трения позволяет осуществить сдвиг по фазе, близкий к 90°, между действующим ускорением и моментом, прикладываемым к гироскопу, в результате чего эффект влияния качки на гирокомпас сводится к минимуму.
Гиротахометром (ГТ) называется гироскопический прибор, предназначенный для измерения угловой скорости объекта относительно какой-либо оси. Довольно часто приборы такого назначения называют дифференцирующими гироскопами. Гиротахоакселерометром (ГТА) называют прибор, который обеспечивает одновременное измерение угловой скорости и углового ускорения объекта относительно какой-либо оси. Иногда подобные приборы именуют демпфирующими гироскопами.
Такие приборы применяются в системах автоматического управления движением объекта, а также в системах стабилизации, так как для обеспечения высокого качества процесса регулирования необходимо знать не только угол отклонения объекта от заданного положения, но также первую и вторую производные от этого угла.
На морском флоте гиротахометры находят применение как самостоятельные приборы, облегчающие плавание по криволинейной траектории (для выполнения циркуляции определенного радиуса при заданной линейной скорости), а также в системах стабилизации судна на качке для выработки сигнала, пропорционального угловой скорости крена судна.
Гиротахоакселерометры применяются в более сложных системах стабилизации судна на качке.
Наибольшее распространение получили гиротахометры, основным элементом которых является астатический гироскоп с двумя степенями свободы. На рис. 71 изображена принципиальная схема гиротахометра: гирокамера 1 с ротором, упругий элемент 2, ограничивающий движение гироскопа по углу , демпфирующее устройство 3, обеспечивающее затухание собственных колебаний, датчик угла 4 поворота гироскопа вокруг оси OY0
. При той ориентации главной оси гироскопа, как это показано на рис. 71, гиротахометр может измерять угловую скорость вращения только вокруг оси OZ0
. Соответствующей ориентацией главной оси можно обеспечить измерение угловой скорости относительно любой другой оси.
Принцип действия гиротахометра можно пояснить следующим образом. При появлении угловой скорости г
поворота основания возникнет гироскопический момент. Вектор этого момента направлен по оси OY0
.
Указанный момент будет поворачивать рамку до тех пор, пока его действие не будет уравновешено моментом сил упругости пружин. В итоге угол поворота рамки гиротахометра будет пропорционален угловой скорости поворота основания. Таким образом, измеряя угол поворота рамки, можно определить угловую скорость поворота основания.
Составим дифференциальное уравнение движения гиротахометра в предположении, что существуют угловые скорости основания относительно всех трех осей прибора ОХ0
, OY0
и OZ0
а измерить необходимо только угловую скорость z
относительно оси OZ0
(рис. 72). При составлении уравнений учтем:
а) инерционный момент, равный произведению
IУ
( + y
),
где Iy
— момент инерции всех частей, движущихся вокруг оси
OY0
;
— относительное ускорение;
y
— переносное ускорение;
б) момент сил упругости, равный произведению С, где С -коэффициент момента упругости пружины;
в) демпфирующий момент, который принимается пропорциональным угловой скорости р и равен произведению kД
, где kД
— коэффициент момента демпфирования;
г) гироскопические моменты H2
cos и — H х
sin. Приравнивая сумму всех названных моментов нулю, найдем дифференциальное уравнение движения гироузла прибора
Iy
( +
) + kД
+ С - H2
cos+ H х
sin = 0.
Современные гиротахометры в «сухом» подвесе дают возможность измерять угловые скорости от 0,1 до 10 град/с, а в поплавковом исполнении — в пределах 0,004—100 град/с (более широкий диапазон обеспечивается применением «электрической пружины»). Время переходного процесса от 0,01 до 0,2 с. На рис. 75 показана несколько упрощенная конструктивная схема поплавкового гиротахометра, где 1 — сильфон (для компенсации температурного расширения жидкости); 2—вязкая жидкость; 3 — гиромотор; 4-герметичный поплавок; 5—корпус прибора; 6—опоры поплавка.

Рис. 12
Литература
1. Блинов И.А., Жерланов А.В. и др. «Электро-навигационные приборы» Москва, «Транспорт», 1973
2. Ермолаев Г.Г. «Справочник капитана дальнего плавания» Москва, «Транспорт», 1988
|