Банк рефератов содержит более 364 тысяч рефератов, курсовых и дипломных работ, шпаргалок и докладов по различным дисциплинам: истории, психологии, экономике, менеджменту, философии, праву, экологии. А также изложения, сочинения по литературе, отчеты по практике, топики по английскому.
Полнотекстовый поиск
Всего работ:
364139
Теги названий
Разделы
Авиация и космонавтика (304)
Административное право (123)
Арбитражный процесс (23)
Архитектура (113)
Астрология (4)
Астрономия (4814)
Банковское дело (5227)
Безопасность жизнедеятельности (2616)
Биографии (3423)
Биология (4214)
Биология и химия (1518)
Биржевое дело (68)
Ботаника и сельское хоз-во (2836)
Бухгалтерский учет и аудит (8269)
Валютные отношения (50)
Ветеринария (50)
Военная кафедра (762)
ГДЗ (2)
География (5275)
Геодезия (30)
Геология (1222)
Геополитика (43)
Государство и право (20403)
Гражданское право и процесс (465)
Делопроизводство (19)
Деньги и кредит (108)
ЕГЭ (173)
Естествознание (96)
Журналистика (899)
ЗНО (54)
Зоология (34)
Издательское дело и полиграфия (476)
Инвестиции (106)
Иностранный язык (62791)
Информатика (3562)
Информатика, программирование (6444)
Исторические личности (2165)
История (21319)
История техники (766)
Кибернетика (64)
Коммуникации и связь (3145)
Компьютерные науки (60)
Косметология (17)
Краеведение и этнография (588)
Краткое содержание произведений (1000)
Криминалистика (106)
Криминология (48)
Криптология (3)
Кулинария (1167)
Культура и искусство (8485)
Культурология (537)
Литература : зарубежная (2044)
Литература и русский язык (11657)
Логика (532)
Логистика (21)
Маркетинг (7985)
Математика (3721)
Медицина, здоровье (10549)
Медицинские науки (88)
Международное публичное право (58)
Международное частное право (36)
Международные отношения (2257)
Менеджмент (12491)
Металлургия (91)
Москвоведение (797)
Музыка (1338)
Муниципальное право (24)
Налоги, налогообложение (214)
Наука и техника (1141)
Начертательная геометрия (3)
Оккультизм и уфология (8)
Остальные рефераты (21692)
Педагогика (7850)
Политология (3801)
Право (682)
Право, юриспруденция (2881)
Предпринимательство (475)
Прикладные науки (1)
Промышленность, производство (7100)
Психология (8692)
психология, педагогика (4121)
Радиоэлектроника (443)
Реклама (952)
Религия и мифология (2967)
Риторика (23)
Сексология (748)
Социология (4876)
Статистика (95)
Страхование (107)
Строительные науки (7)
Строительство (2004)
Схемотехника (15)
Таможенная система (663)
Теория государства и права (240)
Теория организации (39)
Теплотехника (25)
Технология (624)
Товароведение (16)
Транспорт (2652)
Трудовое право (136)
Туризм (90)
Уголовное право и процесс (406)
Управление (95)
Управленческие науки (24)
Физика (3462)
Физкультура и спорт (4482)
Философия (7216)
Финансовые науки (4592)
Финансы (5386)
Фотография (3)
Химия (2244)
Хозяйственное право (23)
Цифровые устройства (29)
Экологическое право (35)
Экология (4517)
Экономика (20644)
Экономико-математическое моделирование (666)
Экономическая география (119)
Экономическая теория (2573)
Этика (889)
Юриспруденция (288)
Языковедение (148)
Языкознание, филология (1140)

Реферат: Биотропные параметры магнитных полей. Влияние естественных электромагнитных полей на живые организмы и механизмы воздействия

Название: Биотропные параметры магнитных полей. Влияние естественных электромагнитных полей на живые организмы и механизмы воздействия
Раздел: Рефераты по коммуникации и связи
Тип: реферат Добавлен 22:26:16 08 января 2009 Похожие работы
Просмотров: 3014 Комментариев: 15 Оценило: 4 человек Средний балл: 4.8 Оценка: неизвестно     Скачать

БЕЛОРУССКИЙ ГОСУДАРСТВЕННЫЙ УНИВЕРСИТЕТ ИНФФОРМАТИКИ И РАДИОЭЛЕКТРОНИКИ

Кафедра ЭТТ

РЕФЕРАТ

На тему:

«Биотропные параметры магнитных полей. Влияние естественных электромагнитных полей на живые организмы и механизмы воздействия»

МИНСК, 2008


Под термином «биотропные параметры» понимаются физические характеристики МП, определяющие первичные, биологически значимые физико-химические и информационные механизмы действия поля, обу­словливающие формирование соответствующих реакций как отдельных органов, так и на уровне целостного организма (М. А. Шишло). К ним относятся: вид поля, индукция, энергия, градиент, вектор и частота поля, форма во времени и пространстве, экспозиция и локализация воздействия. От каждого из параметров, а также от их сочетания существенно зависит эффективность лечения того или иного заболевания.

Индукция (В) — основной параметр магнитного поля, представляет собой плотность магнитного потока (магнитный поток, приходящийся на единицу площади сечения). Индукция — величина векторная, опре­деляется модулем и направлением. Единицей измерения индукции яв­ляется тесла: 1 Тл = 1 В-с/м2.

Биологически активным является любое МП, величина которого отличается как в сторону увеличения, так и уменьшения от геомагнит­ного поля, составляющего десятки мкТл. Пороговые напряженности для различных видов МП колеблются от 3 мТл для ПМП до 0,01 мТл для ИБМП. Отмечена необходимость снижения интенсивности МП при воз­действии на уровне целостного организма. Предельно допустимый уровень величины индукции МП на производстве составляет 1...2 Тл. В серийно выпускаемой аппаратуре, предназначенной для магнитостиму-ляции, величина индукции МП находится в пределах от 1500 до 4000 мТл; для воздействия на биологические активные точки — 100 мТл; для воздействия на локальные участки частей тела человека — от 15 до 50 мТл; для воздействия на части тела и всего человека — от 0 до 5 мТл. Налицо явная тенденция снижения интенсивности МП с увеличением площади воздействия.

В зависимости от значений индукции магнитные поля, применяемые в магнитотерапии, условно подразделяют на сверхслабые — < 0,5 мТл, слабые — 0,5...50 мТл, средние — 50...500 мТл, сильные — > 500 мТл.

Наибольшее распространение в лечебной практике получили слабые МП. Если магнитная индукция не изменяется в пространстве, поле является однородным. В однородном поле все векторы магнитной ин­дукции имеют одно и то же значение и одно направление. При этом градиент магнитной индукции равен нулю. Достаточно однородными считаются поля в центральной части длинного соленоида и в центре системы катушек Гельмгольца. Такого рода поля широко используются при физиологических исследованиях, а в практике магнитотерапии их применение ограничено.

Градиент магнитной индукции есть вектор, имеющий значение 3B/3N и направленный по нормали N к поверхности равной индукции в сто­рону наибольшего возрастания магнитной индукции:

(1)

Практически gradB определяется как изменение магнитной индук­ции, приходящееся на единицу длины по каждой из координат. Как физическая величина этот показатель характеризует динамику поля и свидетельствует о его неоднородности. Единица измерения градиента магнитной индукции — тесла на метр (Тл/м).

Ряд авторов считают, что механизм дей­ствия слабых МП однозначно определяется пространственно-временны­ми градиентами поля [34], другие связывают усиление магнитобиологических эффектов с увеличением пространственно-временной неоднородности МП и при их интерпретации советуют учитывать перепад напряженности МП по площади заинтересованных структур.

Вектор магнитного поля указывает направление магнитных силовых линий. При изменении направления вектора меняется характер магнитобиологического эффекта, что, по-видимому, адекватно различному действию северного и южного полюсов постоянного магнита. Ряд ис­следователей отмечают большую активность поперечного магнитного поля, т.е. в тех случаях, когда вектор магнитного поля перпендикулярен поверхности тела человека, в отличие от продольного поля, при котором вектор магнитной индукции параллелен поверхности тела человека. Соб­ственный опыт авторов показывает, что довольно часто большей актив­ностью обладает продольное поле. И это не является противоречием, поскольку реальные искусственные МП, в особенности, создаваемые ло­кально-сосредоточенными источниками небольших габаритов, имеют смешанный характер вектора магнитной индукции, обладающего как продольной, так и поперечной составляющими. Помимо этого ряд уче­ных в своих магнитобиологических исследованиях отмечают большую активность МП с вертикальным направлением вектора, объясняя его взаимодействием с геомагнитным полем.

Частота магнитного поля является весьма важным биотропным параметром. В ходе длительной лечебной практики найдены «частотные окна», в которых магнитобиологический эффект выражен заметно более ярко. Например, в работе показано, что воздействия магнитных полей с частотой альфа-ритма электроэнцефалограммы человека (8...14 Гц) оказывают существенно более сильное влияние, чем другие частоты с той же интенсивностью. Поэтому в ряде выпускаемых магнитотерапевтических аппаратов предусмотрен режим питания с частотой 12,5 Гц. Наиболее часто в практике используются синусоидальное и пульсирующее магнитные поля с частотой промышленной сети 50 Гц. В настоящее время выпускаются приборы, имеющие набор фиксиро­ванных частот или плавно перестраиваемые по частоте. Дальнейшим развитием техники магнйтотерапии в этом смысле является создание аппаратуры, которая могла бы вырабатывать магнитные поля, синхро­низируемые основными биоритмами человека. Например, в магнитоте-рапевтическом комплексе «Аврора МК-01» (СССР), имеющем набор фиксированных частот 0,1;...100 Гц, предусмотрена возможность син­хронизации с ритмом пульса.

Форма магнитного поля во времени и пространстве. При использо­вании в качестве источника магнитного излучения одного элементарного индуктора форма поля в пространстве определяется конструкцией само­го индуктора, а во времени — формой питающего тока. В этом смысле, как уже отмечалось, предпочтительнее, чтобы индуктор вырабатывал неоднородное поле, а ток питания был импульсным. При этом усиливается общая динамика изменения магнитного потока, что и несет в себе, по-видимому, основной терапевтический эффект. Этот вывод под­тверждается также в работе. В случае использования систем общего воздействия на человека открывается возможность формирования магнитного поля требуемой конфигурации как в пространстве, так и во времени.

Экспозиция — биотропный параметр, связанный с временем одного сеанса воздействия магнитным полем и с числом сеансов. Интегрально он несет информацию о времени взаимодействия (t3KC) живого организма с искусственным магнитным полем. В соответствии с традициями клас­сической физиотерапии время сеанса устанавливается в пределах 10...30 мин ежедневно в количестве от 10 до 25 процедур. По данным многих исследователей, в том числе и авторов, физиотерапевтический эффект при воздействии магнитным полем развивается после 5...7 про­цедур, который закрепляется последующими процедурами. В целом экс­позиция устанавливается лечащим врачом соответственно индивидуаль­ным особенностям пациента, тяжести заболевания и т.п.

Локализация воздействия магнитным полем определяется, чаще всего, непосредственной областью поражения — местом расположения пато­логического очага, а также проекцией пораженного органа на поверх­ность кожи. В первую очередь это относится к устройствам локального (местного) воздействия, которое создается, как правило, одним индук­тором. Наряду с этим, терапевтический эффект может быть получен при действии МП на рефлексогенные зоны или биологически активные точки, подчас отстоящие на значительном удалении от очага патологии. Вместе с тем, поскольку организм человека состоит из тесно вза­имодействующих функциональных систем, деятельность которых регу­лируется центральной нервной системой, то можно получить ответ це­лостного организма, например, формирование адаптационных реакций активации, не только воздействием на тело пациента, но даже быстрее и эффективнее действуя переменным МП на голову (Е. В. Квакина). При действии низкочастотного переменного МП количество поглощае­мой энергии мало, поэтому существенно возрастает роль объема, взаи­модействующего с физическим фактором. М. А. Шишло считает, что «...соленоиды и магнитные установки с большими полезными объемами являются более эффективными лечебными средствами».

В магнитотерапевтических аппаратах, имеющих наборы индукторов, предусмотрены режимы, при которых осуществляется воздействие, распределенное в заданной области пространства. В некоторых системах, позволяющих осуществлять общее воздействие на весь организм чело­века, представляется возможным на фоне пространственно равномерной структуры поля формировать локально усиленные (ослаб­ленные) поля, а также неоднородности заданной формы. За­метим, что поля, характеристики которых не изменяются в пространстве, называют статическими, а поля, изменяющиеся и перемещающиеся в пространстве, называют динамическими. Большинство выпускаемых магнитотерапевтических аппаратов формируют, как правило, статичес­кие поля. Комплекс «Аврора МК-01» имеет программно-аппаратные средства для создания как статических, так и динамических полей. Воз­можное множество разновидностей пространственно-организованных искусственных МП представлено на рис. 1.


Рисунок 1 – Разновидности искусственных магнитных полей (в пространственной области)

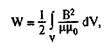
Энергия магнитного поля (W) может служить обобщенным показа­телем, характеризующим воздействие МП на живой организм. Энергия магнитного поля вычисляется через его параметры:

(2)

где В — индукция магнитного поля, V — объем, занимаемый биообъ­ектом; — относительная магнитная проницаемость; 0 — магнитная постоянная.

Учитывая общее время экспозиции можно определить работу А магнитного поля:

(3)

Последнее соотношение связывает основные характеристики поля (индукция, частота) и время его взаимодействия с живым организ­мом.

Затрачивается работа магнитного поля, в основном, на перемещение заряженных частиц биообъекта.

Влияние естественных электромагнитных полей на живые организмы

Систематическое воздействие различных факторов внешней среды на живые организмы способствовало созданию у них тонких механизмов адаптации, позволяющих приспосабливаться к изменяющимся условиям. Наиболее эффективно процесс формирова­ния этих механизмов запускается возмущающими влияниями, в том числе и имеющими электромагнитную природу, например, распределен­ными по всему электромагнитному спектру, включая инфранизкие час­тоты, геомагнитные и геоэлектрические поля. Поскольку независимо от природы фактора, способствовавшего их возникновению, адаптационные механизмы играют важную роль в жизнедеятельности и неспецифической резистентное™ организма, то возможность осознан­ного управления процессами их формирования постоянно привлекает внимание исследователей. Именно с этих позиций естественные и ис­кусственные магнитные и электромагнитные поля представляют собой область повышенного интереса.

Формирование вышеперечисленных эффектов, вероятно, объясня­ется тем, что ЭМП, обладая высокой избирательной проникающей спо­собностью, вызывают изменения не только в нейроглиальных клетках мозга, но при более длительных или интенсивных воздействиях способ­ны повлиять на структуру нейронов и кровеносных сосудов.

В заключение этого раздела, посвященного анализу эффектов дей­ствия ЭМП на живые организмы на различных уровнях организации: клеточном, органном, системном и в целом на функциональное состо­яние организма, можно отметить, что геомагнитные и электромагнитные поля способны оказывать влияние на жизнедеятельность организма. При этом установлено, что действие МП неоднозначно, и могут иметь место как отрицательные последствия, так и положительные результаты. Вышесказанное предопределяет два основных направления дальнейших исследований:

— необходимость тщательной проработки проблемы с позиций эко­логии;

— дальнейшее изучение возможностей использования ЭМП в прак­тической медицине.

Прогрессивное развитие этих направлений невозможно без дальней­шего продолжения фундаментальных исследований, направленных на изучение механизмов влияния ЭМП на живые системы.

Механизмы действия магнитных полей на живой организм

В экспериментальной биологии и медицинской практике накоплен громадный эмпирический опыт об эффектах ЭМП, требующий систе­матизации и теоретического осмысления для расшифровки механизмов их действия на живые объекты. Обилие гипотез по этой проблеме сви­детельствует скорее о ее нерешенности, чем о достаточном уровне по­нимания механизмов взаимодействия живого с естественными и искус­ственными магнитными полями.

В попытках добиться решения этой проблемы следует исходить из того, что организм представляет собой многоуровневую иерархическую организацию. Особенности структуры каждого из этих уровней предоп­ределяют характерную избирательность взаимодействия по различным параметрам МП. В связи с этим для осмысления механизмов действия МП на живые системы предлагается выделить следующие уровни, на которых это взаимодействие прослеживается достаточно явно.

1. Ядерно-молекулярный уровень, включающий подуровни:

— электронно-ядерный;

— ионно-молекулярный.

2. Цитохимический уровень, в котором следует выделить:

— субклеточные структуры;

— структурные образования, обеспечивающие ионное равновесие в клетках и тканевой жидкости;

— клеточные мембраны;

— биополимеры, определяющие вязкость и способность изменять аг­регатное состояние жидких сред организма.

3. Тканевый уровень, на котором воздействие МП будет предопреде­ляться:

— особенностями морфологии данной ткани;

— функциональной предназначенностью тканей;

— преобладающим характером метаболизма.

4. Органный уровень (воздействие на отдельные органы).

5. Системный уровень, включающий:

— центральную, периферическую и вегетативную нервные системы;

— сенсорные системы;

— сердечно-сосудистую систему;

— эндокринную систему;

— дыхательную, пищеварительную и выделительную системы;

— систему крови;

— опорно-двигательный аппарат и др.

6. Межсистемный уровень, описывающий взаимодействие между от­дельными системами организма.

7. Общесистемный уровень, формирующийся при интегрировании вза­имодействий между всеми системами.

8. Межличностный уровень, включающий:

— воздействие одного организма на другой через собственное излуче­ние ЭМП;

— взаимодействие живых организмов во внешнем ЭМП.

Электронно-ядерный уровень. Изучение организма на квантовомуровне показывает, что химические реакции, протекающие в условиях in vivo, имеют много общего с «пробирочными» реакциями, а механизмы действия МП на живой организм основаны на адекватном изменении энергии химических связей в биологических процессах. Результатом хи­мических реакций, как правило, является превращение молекул одних веществ в другие за счет перестройки электронных оболочек ядер. Физические влияния МП связаны с вероятностью протекания элементарных химических актов, когда в результате химических превращений вследствие распаривания электронов, появляются свободные радикалы. Радикальные пары могут существовать в состоянии с общим спином 8=0 (синглетное состояние) и в состоянии с общим спином 5=1 (три-плетное состояние). Переход между различными спиновыми состояния­ми пары возможен в случае воздействия внешним магнитным полем, тем самым изменяется вероятность течения химических реакций и, как следствие, имеет место проявление тех или иных магнитобиологических эффектов. Так, в работе рассматривается влияние постоянного МП на перенос нервного импульса по седалищному нерву человека с точки зрения гипотезы, в основе которой лежит влияние постоянного МП на спиновые эффекты кинетики ионных каналов.

И, тем не менее, несмотря на обилие литературы, описывающей влияние МП на биохимические процессы, в частности, на активность ферментов, концентрацию продуктов химических реакций, данные из­менения могут оказаться следствием совершенно иного, неизвестного механизма воздействия МП.


ЛИТЕРАТУРА

1. Системы комплексной электромагнитотерапии: Учебное пособие для вузов/ Под ред А.М. Беркутова, В.И.Жулева, Г.А. Кураева, Е.М. Прошина. – М.: Лаборатория Базовых знаний, 2000г. – 376с.

2. Электронная аппаратура для стимуляции органов и тканей /Под ред Р.И.Утямышева и М.Враны - М.: Энергоатомиздат, 2003.384с.

3. Ливенсон А.Р. Электромедицинская аппаратура. :[Учебн. пособие] - Мн.: Медицина, 2001. - 344с.

Оценить/Добавить комментарий
Имя
Оценка
Комментарии:
Срочная помощь учащимся в написании различных работ. Бесплатные корректировки! Круглосуточная поддержка! Узнай стоимость твоей работы на сайте 64362.ru
03:20:30 11 сентября 2021
Привет студентам) если возникают трудности с любой работой (от реферата и контрольных до диплома), можете обратиться на FAST-REFERAT.RU , я там обычно заказываю, все качественно и в срок) в любом случае попробуйте, за спрос денег не берут)
Olya07:27:10 25 августа 2019
.
.07:27:10 25 августа 2019
.
.07:27:09 25 августа 2019
.
.07:27:08 25 августа 2019

Смотреть все комментарии (15)
Работы, похожие на Реферат: Биотропные параметры магнитных полей. Влияние естественных электромагнитных полей на живые организмы и механизмы воздействия

Назад
Меню
Главная
Рефераты
Благодарности
Опрос
Станете ли вы заказывать работу за деньги, если не найдете ее в Интернете?

Да, в любом случае.
Да, но только в случае крайней необходимости.
Возможно, в зависимости от цены.
Нет, напишу его сам.
Нет, забью.



Результаты(286333)
Комментарии (4153)
Copyright © 2005-2021 HEKIMA.RU [email protected] реклама на сайте