Содержание:
Введение
История
1. Биологические основы звука
2. Физические основы звука
2.1 Уравнение малых поперечных колебаний струны
2.2 Метод Ферье для уравнения колебаний ограниченной струны
3. Звуковые явления
3.1 Музыкальные источники
3.2 Виды музыкальных источников
Введение
В настоящее время многими исследователями наблюдается тенденция к сближению гуманитарных и точных дисциплин. Музыка и математика. Так ли далеки эти сферы, как кажется на первый взгляд? Этот вопрос имеет продолжительную историю.
Интересно отметить, что существует некое явление, которое связывает музыку и математику независимо от того, обращается ли композитор в своей работе к математике или нет. В геометрии есть такое понятие – золотое сечение, это разделение отрезка на две неравные части таким образом, что меньшая относится к большей так, как большая к целому. Величина большего отрезка – 0,618, меньшего – 0,382. Их отношение 0,618:0,382=1,618 – золотое сечение. Впервые оно встречается в «Началах» Эвклида. Однако золотое сечение обнаруживается не только в геометрии. Многие исследователи, желая раскрыть секреты гармонии, находили золотую пропорцию в архитектуре, живописи, скульптуре, литературе. Золотое сечение обнаруживается также в пропорциях человеческого тела, работа здорового сердца и мозга также содержит золотую пропорцию. Интересно отметить, что это явление обнаруживается и в музыке. Композиция многих музыкальных произведений содержит высшую точку, кульминацию. И размещается эта кульминация чаще не в середине произведения, она смещена, и находится как раз в точке золотого сечения. Эту особенность заметил советский музыковед Л. Мазель. Причём такое построение характерно не только для всего произведения в целом, но и для его частей. И встречается оно чрезвычайно часто. Специально занимался исследованием этой проблемы Л. Сабанеев, который изучил множество музыкальных произведений различных композиторов. Чаще всего золотое сечение встречается в произведениях Аренского, Бетховена, Гайдна, Моцарта, Скрябина, Шопена, Шуберта. Такое расположение кульминации придаёт особую выразительность и гармоничность композиции произведения, а также облегчает восприятие.
Хотелось бы также заметить, что математика может восприниматься с эстетической точки зрения. Хорошо решённая задача, верное доказательство, изображение геометрической фигуры доставляют наслаждение как гармоничные явления.
Представляется целесообразным включать в курс математики в гуманитарном вузе то, что сближает математику с искусством, музыкой, филологией. Включение такой информации позволит взглянуть на математику с другой, непривычной точки зрения и вызвать интерес к этому предмету.
История
Началось всё ещё в древности, когда не было разделения на гуманитарные и естественные науки. Наука рассматривалась как одно целое. Например, древнегреческий учёный Пифагор и его последователи занимались изучением арифметики, геометрии, астрономии, музыки. Каждая дисциплина исследовала число в разных аспектах: математика – число само по себе, геометрия – число в пространстве, музыка – число во времени, а астрономия – число в пространстве и времени. И всё это учение называлось «математа», что значит науки. Пифагор считал число сущностью вещей. И именно числа, по его мнению, управляют гармониями в музыке. Таким образом, он утвердил музыку как точную науку.
Обычно имя Пифагора связывается с исследованиями в области арифметики и геометрии. Но музыканты знают, что именно Пифагор открыл математические отношения, которые лежат в основе музыкальных интервалов, и создал музыкальный строй, оказавший сильнейшее влияние на развитие европейской музыки. Строй этот так и назывался «пифагоров строй», и создавался он вначале опытным путём, а потом с помощью математических расчётов. (Правда, строй этот оказался несовершенным. Современный, так называемый темперированный музыкальный строй существует с XVII века.)
Но учение пифагорейцев принимали не все. Например, Аристотель критиковал пифагорейцев. Он считал их представления о роли чисел неверными и всё учение слишком упрощённым.
Многие древнегреческие учёные наряду с изучением математики, астрономии, философии занимались изучением музыки: Клавдий Птолемей, Эратосфен, Архит. Другим представителем пифагорейского направления был античный учёный Никомах. Он также признавал числовые закономерности основой музыкальных созвучий. Однако он интерпретировал учение Пифагора в мистическом духе, называя число божественной основой музыки.
В эпоху средневековья музыка также воспринималась в первую очередь как наука, а уже потом как искусство. Вообще средневековые авторы многое взяли от пифагорейской идеи. Вслед за Пифагором они считали музыку наряду с арифметикой, геометрией и астрономией наукой о числах. Мистика чисел, как традиция поздней античности, была очень распространена среди теоретиков и композиторов Средневековья. Например, единица была символом Бога, церкви и олицетворяла музыку в целом; число три выражало триединство Бога (очень часто музыкальные произведения состоят из трёх частей), число семь выражало связь музыки со вселенной и ему соответствуют семь тонов в музыке.
Значительным музыкальным теоретиком средневековья является христианский теолог Аврелий Августин. Для него также музыка в первую очередь наука. Он считал, что число лежит в основе всякого искусства: «Прекрасные вещи нравятся нам благодаря числу, в котором, как мы уже показали, обнаруживается стремление к равенству. Ведь сказанное обнаруживается не только в красоте, относящейся к слуху, или в движении тел, но также и в зримых формах, где оно уже чаще обозначается как красота». Большое внимание Августин уделял понятию «пропорции», которое лежит в основе красоты.
До начала XVIII века музыка продолжала считаться наукой. Французский композитор и музыкальный теоретик Жан Филипп Рамо в своём «Трактате о гармонии», написанном в 1722 году, говорил о том, что «музыка подчинена арифметике», уделял много внимания физико-математическим исследованиям. Правда, французский математик д’Аламбер, современник Рамо, считал его математические исследования в области музыки бесполезными, признавая, однако, что Рамо «навеки останется первым, кто превратил музыку в науку».
Иоганн Маттесон – представитель немецкого Просвещения считал, что математические отношения хоть и присутствуют в музыке, но не столь важны, что необязательно обладать основательными познаниями в математике, для того чтобы быть хорошим музыкантом и создавать музыкальные произведения. «Искусство чисел – лишь слуга красоты», математика не может быть душой музыки – таковы были его идеи.
Впоследствии проблема взаимоотношения математики и музыки уже не обсуждалась так остро и конкретно. Но если проанализировать историю музыки, можно сделать вывод о том, что музыка и математика то сближаются, то отдаляются друг от друга - периодически происходит смещение акцента на строгое, математическое начало в создании музыки, которое впоследствии сменяется отказом от него. Например, полифония, в особенности полифония строгого стиля эпохи Возрождения отличается математической выверенностью. Классическая музыка Моцарта, Гайдна также подчиняется строгим правилам, правда, уже не таким строгим, как в полифонии. А вот романтики стремятся к большей свободе в музыкальных средствах.
А в музыке начала XX века происходит возврат к математическому композиторскому мышлению. Игорь Стравинский, хорошо знавший музыку мастеров эпохи Ренессанса, также находил много общего между математикой и музыкой. «Способ композиторского мышления – способ, которым я мыслю, - мне кажется, не очень отличается от математического», «музыкальная форма математична хотя бы потому, что она идеальна» - эти слова Стравинского ярко выражают его убеждения. В серийной музыке представителей нововенской школы (Шёнберг, Веберн) отчётливо проявляется математическое начало. Современные композиторы С. Губайдулина, Э. Денисов, К. Штокхаузен использовали при написании музыки такие математические закономерности как ряд Эратосфена (простые числа, делящиеся на единицу и на самих себя), числа Фиббоначи (ряд чисел, каждое последующее является суммой двух предыдущих), арифметическую и геометрическую прогрессии.
Но со временем многие композиторы отходят от такого прямого обращения к математике, которая в процессе сочинения музыкального произведения уходит на второй план. А. Шнитке так сказал об этом: «Я всё-таки писал музыку, которую слышу, а не ту, которую по серийным законам вырисовывалась и вычислялась на бумаге».
1. Биологические основы звука:
Поскольку нас интересуют не колебания вообще, а лишь воспринимаемые слухом человека, то следует ввести здесь определенные ограничения.
Во-первых, слухом воспринимаются не любые частоты, а лишь лежащие внутри определенного диапазона. Человек слышит звуки от 10-20 Hz до 20 KHz. В музыке используется лишь часть этого диапазона.
Во-вторых, способность человека различать звуки разной частоты составляет Δf/f = 0,003…0,004. Это будет, например, на 1000 Гц при уровне 80 дБ порядка 3 Гц. Полутон (который будет введён позже) – это и есть минимальный интервал, ещё различимый человеком (или лишь минимально превышающий такой интервал). В некоторых культурах используется, правда, еще более мелкое дробление.
В-третьих, лишь меньшинство людей обладают абсолютным слухом, т.е. способны различать звуки по их частоте. Большинство же способны различать лишь интервалы между звуками, т.е. обладают относительным слухом.
И, наконец, в-четвертых, связь ощущаемой высоты звука с частотой является функцией нелинейной и воспринимается пропорционально логарифму частоты (закон Вебера-Фехнера). Это означает, что характеристикой интервала является не разность частот, а их частное. К примеру, звуки с частотами 440, 880 и 1760 Гц кажутся равноудаленными.
В музыке принято говорить не о частоте звука, а о его высоте, которая является логарифмом частоты колебаний.
На биологическом уровне можно поделить уже введенные интервалы на консонансы и диссонансы. Консонансом называется слитное, согласное звучание двух тонов. В противовес этому диссонанс – это звучание тонов, «не сливающихся» друг с другом, неблагозвучный интервал.
Наименование Интервальный Степень
интервала коэффициент консонансности
Прима 1/1 вполне совершенный
Октава 2/1 вполне совершенный
Квинта 3/2 совершенный
Кварта 4/3 совершенный
Большая секста 5/3 несовершенный
Большая терция 5/4 несовершенный
Малая терция 6/5 несовершенный
Малая секста 8/5 несовершенный
Консонанс выражается математически простыми численными соотношениями звучащих частот, а физически – лучшим совпадением обертонов обоих звуков. В этом смысле, однако, различие между консонансом и диссонансом лишь качественное. А человеческое восприятие делит интервалы на «хорошие» и «плохие».
2. Физические основы звука:
Звук есть воспринимаемые человеческим слухом колебания воздуха. Музыкальные звуки порождаются музыкальными инструментами (в этом смысле человеческий голос тоже условно причисляется к музыкальным инструментам). Традиционной моделью для изучения музыкальных звуков является колеблющаяся струна. Струны лежат в основе большого числа инструментов (не только струнных, но и, например, клавишных). Рассмотрим колеблющуюся струну, чтобы узнать, что же за колебания воздуха она порождает.
Колебания струны изучали ещё пифагорейцы. Они использовали для этого несложный прибор под названием монохорд, представляющий из себя единственную струну, закрепленную в двух точках над резонатором.
Значительно позже, в XVIII веке, после работ Ньютона и Лейбница в области физики и дифференциального исчисления, было выведено уравнение колебания струны - так называемое волновое уравнение (породившее новую область в науке - математическую физику):

Здесь t - время; x - координаты некой точки на струне в момент времени t;
u=f(x,t) - функция отклонения точки x в момент времени t от положения равновесия; - коэффициент пропорциональности, характеризующий упругие свойства струны; T - сила натяжения струны; - плотность однородной струны. Предполагается, что струна совершает малые колебания в одной плоскости.
Волновое уравнение есть не что иное, как следствие второго закона Ньютона. Левая часть - ускорение струны в точке x, а правая часть - отнесенная к массе струны сила, вызывающая это ускорение, которая тем больше, чем больше вогнутость струны

Рассмотрим подробнее уравнение колебаний струны.
2.1 Уравнение малых поперечных колебаний струны.
Каждую точку струны l
можно охарактеризовать значение её абсциссы x
. Описание процесса колебания струны может быть проведено при помощи задания положения точек струны в момент времени t
достаточно задать компоненты вектора смещения {
u
1
(
x
,
t
),
u
2
(
x
,
t
),
u
3
(
x
,
t
)}
точки x
в момент t
.
Будем предполагать, что смещения струны лежат в одной плоскости (x
,
u
) и что вектор смещения u
перпендикулярен в любой момент к оси x
; тогда процесс колебания можно описать одной функцией u
(x
,
t
), характеризующей вертикальное перемещение струны. Будем рассматривать струну как гибкую упругую нить. Математической выражение понятия гибкости заключается в том, что напряжения, возникающие в струне, всегда направлены по касательной к ее мгновенному профилю (рис. 1). Это условие выражает собой то, что струне не сопротивляется изгибу.

Величина натяжения, возникающего в струне вследствие упругости, может быть вычислена по закону Гука. Будем рассматривать малые колебания струны и пренебрегать квадратом ux
по сравнению с единицей.
Пользуясь этим условием, подсчитаем удлинение, испытываемое участком струны (x
1
,
x
2
). Длина дуги этого участка равна

Таким образом, в пределах принятой нами точности удлинения участков струны в процессе колебания не происходит; отсюда в силу закона Гука следует, что величина натяжения T
в каждой точке не меняется со временем. Покажем также, что натяжение не зависит и от x
, т. е.

Найдем проекции натяжения на оси x
и u
(обозначим их Tx
и Tu
):


где α
– угол касательной к кривой u
(x
,
t
) с осью x
. На участок (x
1
,
x
2
) действуют силы натяжения, внешние силы и силы инерции. Сумма проекции всех сил на ось x
должна быть равна нулю (мы рассматриваем только поперечные колебания). Так как силы инерции и внешние силы по предположению направлены вдоль оси u
, то
(1)
Отсюда в силу произвольности x
1
иx
2
следует, что натяжение не зависит от x
, т. е. для всех значений x
и t
(2)
Перейдем к выводу уравнения поперечных колебаний струны. Воспользуемся вторым законом Ньютона. Составляющая количества движения участка струны (x
1
,
x
2
) по оси u
равна

где ρ – линейная плотность струны. Приравняем изменение количества движения за промежуток времени ∆t
=
t
2
-
t
1

импульсу действующих сил, складывающихся из натяжения

в точках x
1
и x
2
и внешней силы, которую будем считать непрерывно распределенной с плотностью (нагрузкой) F
(x
,
t
), рассчитанной на единицу длины. В результате получим уравнение поперечных колебаний элемента струны в интегральной форме
(3)
Для перехода к дифференциальному уравнению предположим существование и непрерывность вторых производных от u
(x
,
t
). Тогда фотмула (3) после двукратного применения теоремы о среднем примет вид

где

Сократим на ∆x
∆t
и переходя к пределу при x
2
→
x
1
,
t
2
→
t
1
, получим дифференциальное уравнение поперечных колебаний струны
(4)
В случае постоянной плотности ρ = const этому уравнению обычно придают вид
(5)
где
(6)
есть плотность силы, отнесенная к единице массы. При отсутствии внешней силы получим однородное уравнение

или

описывающее свободные колебания струны. Это уравнение является простейшим примером уравнения гиперболического типа.

Если в точке x
0
(x
1
<
x
0
<
x
2
) приложена сосредоточенная сила f
0
(t
) (рис. 2), то уравнение (3) запишется так:

Поскольку скорости точек струны ограничены, то при x
1
→
x
0
и x
2
→
x
0
интегралы в левой части этого равенства стремятся к нулю, и равенство (3) принимает вид
(7)
Пользуясь теоремой о среднем, сокращая обе части равенства на ∆t
и переходя к пределу при t
2→
t
1
получим:

Отсюда видно, что в точке приложения сосредоточенной силы первые производные претерпевают разрыв и дифференциальное уравнение теряет смысл. В этой точке должны выполняться два условия сопряжения
(8)
второе из которых выражает непрерывность струны, второе определяет величину излома струны в точке x
0
, зависящую от f
0
(t
) и натяжения T
0
.
Теперь рассмотрим задачу о поперечных колебаниях струны, закрепленной на концах. В этой задаче u
(x
,
t
) дает отклонение струны от оси x
. Если концы струны 0 ≤ x
≤
l
закреплены, то должны выполняться «граничные условия»
u
(0, t
) = 0, u
(l
,
t
) = 0.
Так как процесс колебания струны зависит от её начальной формы и распределения скоростей, то следует задать «начальные условия»:

Таким образом, дополнительные условия состоят из граничных и начальных условий, где φ(x
) и ψ(x
) – заданные функции точки.
Эти условия вполне определяют решение уравнения колебания струны

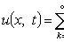
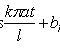
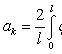
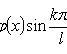
2.2 Метод Фурье для уравнения колебаний ограниченной струны.
   
Начальные условия:
   
Граничные условия:
   
Решение:
    
где
    
Каждая функция представляет собой гармоническое колебание с частотой
ω
n
= kπa
/
l
. Амплитуда колебаний для разных точек разная. На концах струна неподвижна. Все точки струны одновременно достигают своего максимального отклонения в ту или другую сторону и одновременно проходят положения равновесия. Такие колебания называются стоячими волнами. Неподвижные точки называются узлами стоячей волны. Посредине между узлами расположены точки, в которых отклонения достигают максимума. Эти точки назывются пучностями стоячей волны.
Т. е. колебание конечной струны представляет собой бесконечную сумму стоячих волн, каждая из которых имеет постоянную частоту колебания и изменяющуюся по длине струны амплитуду. В -й стоячей волне имеется пучностей и узлов.
Вернёмся к музыкальной интерпретации:
Мы видим, что звуки состоят из суммы гармонических колебаний. Назовём эти отдельные гармоники идеальными звуками, тонами или просто звуками (нем. Ton). Такие звуки хоть и не существуют в природе в чистом виде, представляют однако полезную абстракцию, упрощённую модель. Такие звуки можно характеризовать частотой (f).
Реальный звук струны состоит из звука основной частоты , а также обертонов (верхних тонов, гармоник) –

Такой сложный звук, состоящий из основного тона и обертонов, называется в немецком языке Klang. Основной тон иногда для удобства называют первым обертоном. Соотношение частот обертонов к основному тону даёт нам ряд натуральных чисел: 1, 2, 3, ...
Звуки, не имеющие основной частоты вовсе (и не описывающиеся волновым уравнением) назовем шумами и не будем рассматривать вовсе.
Именно сочетание обертонов даёт музыкальную окраску звуку - его тембр. Если слегка прикоснуться к струне в некоторой точке, то все гармоники, имеющие в этой точке пучность, будут погашены и не будут слышны. Так можно явно услышать вклад обертонов в общий тембр звука.
3. Звук. Звуковые явления.
Первоначально слуховая система использовалась, вероятно, как система безопасности. В отличие от зрения область чувствительности слуха составляет полный телесный угол. И сегодня система оповещения гражданской обороны основана именно на звуковом информировании: сирены и пр.
В дальнейшем на основе звуковых взаимодействий развилась речь - вторая сигнальная система. Это то, что сделало человека человеком.
Репрезентативная система - система восприятия через органы чувств и внутреннего моделирования окружающей действительности.
В репрезентативной системе выделяются подсистемы, соответствующие основным органам чувств:
-визуальная;
-аудиальная;
-кинестетическая (тактильные ощущения);
-рациональная (дигитальная).
Прочие органы чувств несущественны. Подсистема, доминирующая при восприятии человеком окружающей действительности, называется ключевой репрезентативной системой. Подсистема, доминирующая при построении внутренних моделей действительности, называется ведущей репрезентативной системой.
На рис. 1.1 представлено распределение людей по группам в зависимости от ключевой репрезентативной системы [1]. Аудиальная система здесь только на третьем месте, но это распределение характеризует в основном объем, а не качество, информации, поступающей по данному информационному каналу. Более адекватно важность информации отображает распределение по ведущим системам (рис. 1.2).

Рис. 1.1. Распределение людей по группам в зависимости от ключевой репрезентативной системы

Рис. 1.2. Распределение людей по группам в зависимости от ведущей репрезентативной системы
Можно видеть, что аудиальная система входит в состав ведущей репрезентативной системы у примерно 36-и процентов людей.
До того, как аудио канал стал использоваться в качестве второй сигнальной системы, он также использовался для передачи чувств и настроения посредством высоты, громкости и тембра звука. Это и стало, вероятно, объективной предпосылкой для возникновения музыки.
Никакое искусство ко времени появления звукозаписи так не нуждалось в технических средствах воплощения. Звук в отличие от масляных красок, бронзы и гранита вещь эфемерная и существует только в момент извлечения. В нотах может быть зафиксирована только мелодия, а часть музыки, связанная с непосредственной красотой звука и особенностями исполнительской интерпретации существует только в момент ее исполнения. Таким образом, запись можно рассматривать не только как "музыкальные консервы", но и как окончательно оформленное музыкальное произведение.
Первая электроакустическая система это, конечно, телефон. Изобретен Александром Беллом в 1876 г. В его честь названа универсальная единица измерения в логарифмических шкалах (и, в частности, силы звука) - Белл.
В 1877 г. появилась первая система звукозаписи - фонограф - и с этого момента началась новая жизнь музыкального искусства. Фонограф считается изобретенным Томасом Эдисоном. Он не был электроакустической системой, но быстро выяснилось, что чисто механическая запись очень неудобная и неточная. Надо было очень близко садится музыкантам к раструбу рекордера, с молоточков пианино снимали смягчающие удар подушечки, в студии создавалась неестественно большая реверберация (стены обивали железом). И вот в 1898 году Вальдемар Паульсен (Дания) придумал переводить звуковые колебания в электрический ток, намагничивать стальную проволоку. Также в начале ХХ века происходил переход от чисто механической грамзаписи к записи с промежуточным преобразованием сигнала в электрический ток: механические колебания воздуха переводились в электрический сигнал, который затем усиливался вакуумными лампами и управлял электромагнитом, смещающим резец рекордера.
Изобретения телефона и устройств записи звука привели к возникновению новой отрасли науки и техники - электроакустики. Электроакустика - изучает технические средства перевода звуковых колебаний в электрический сигнал и обратного перевода электрического сигнала в максимально похожие звуковые колебания. Основные области применения электроакустики это:
1) звукоусиление;
2) передача звука на большие расстояния (радиовещание, составляющая телевизионного вещания);
3) запись звука с целью хранения и последующего воспроизведения. Звукозаписью чаще называют процесс, а результат звукозаписи называется фонограммой.
Исходя из определения электроакустики, курс делится на два больших раздела.
Изучение объекта воспроизведения (первоначальных звуков) и условий его похожего воспроизведения (специфика распространения звука и особенностей слуха человека).
Методы перевода звукового поля в электрическую форму и возбуждения похожего звукового поля в другом помещении.
Дадим несколько определений.
Звук. Слово "звук" определяет два понятия: первое - звук как физическое явление; второе - звук как ощущение.
1. В результате вибрации (колебания) какого-либо упругого тела, например струны, возникает волнообразное распространение колебаний воздушной среды. Источником звука является колеблющееся тело. Оно приводит в колебательное движение прилегающие к нему частицы упругой среды (как правило, воздуха), которые заставляют колебаться соседние частицы и т.д. Процесс распространения колебаний частиц упругой среды называют звуковой волной.
2. Звуковые волны улавливаются слуховым органом и вызывают в нем раздражение, которое передается по нервным волокнам в головной мозг, возбуждая ощущение звука.
Звуковое поле - одна из форм существования материи, проявляется в виде кинетической энергии колеблющихся материальных тел, а также звуковых волн в твердой, жидкой и газообразной средах, обладающих упругой структурой.
Естественные источники звука, параметры, виды.
Музыкальные источники.
Речевые источники.
Звук как таковой (например, в охранных системах).
3.1. Музыкальные источники
Для начала определим некоторые из используемых музыкальных терминов. Сложность в том, что нельзя рассматривать характеристики источников в отрыве от свойств слуха и наоборот. Но с чего-то надо начинать, поэтому рассмотрим характеристики источников звука, полагаясь пока на Ваше обыденное знание о свойствах слуха.
Все звуки, используемые в музыке, по периодичности спектра можно разделить на:
1) тональные (имеющие выраженную периодичность со слышимой частотой);
2) нетональные (шумовые).
Основные слышимые свойства установившегося тонального звука следующие: высота, громкость, тембр. При организации звуков в систему большое значение имеет также длительность.
Высота звука определяется частотой колебаний издающего тональный звук тела.
Громкость - слуховая оценка мощности источника звука. Наиболее близким по смыслу физическим параметром является огибающая звукового сигнала. Реально же ощущение громкости складывается из оценки дальности до источника звука (из двух источников, создающих одинаковое звуковое давление у барабанной перепонки, более громким ощущается более удаленный), спектрального состава (более звонкий звук оценивается более громким; это связано с учетом априорной информации о меньшей линейности процессов большей амплитуды), а также наличия и характера реверберации.
Спектр периодического сигнала (представление его в виде суперпозиции синусоидальных колебаний) является линейчатым, т.е. в суперпозиции участвуют только кратные частоты (поскольку закончить период все синусоиды должны в той же фазе, что и начинали, иначе следующий период будет другим по форме). Наиболее глухим, без призвуков, слышится звук, максимально близкий к синусоиде. Чисто синусоидальный звук называется чистым тоном. А под собственно тоном (основным тоном) понимается наименьшая по частоте составляющая в ряду кратных частот спектра тонального звука, имеющая определенную высоту и обозначаемая определенной нотой.
Остальные составляющие спектра тонального звука с частотами, кратными тону, называемые обертонами (нем. obertone - высшие тона), частичными тонами, призвуками, гармониками, определяют тембр (слышимый характер) звука.
В отличие от громкости и высоты, тембр не является одномерной характеристикой и не ощущается параметрически, например, в виде слуховой оценки уровней обертонов, поэтому его аналитическое описание (в виде совокупности частных характеристик) чрезвычайно затруднительно. В лучшем случае для его характеристики используются слова из слуховой области ощущений, например:
1. Глухой / звонкий - физически означает низкий / высокий уровень обертонов. Причем нечетные гармоники и гармоники высших порядков способствуют ощущению звонкого тембра в большей степени.
2. Бубнящий - физически означает наличие низкочастотного сигнала значительной амплитуды с малым уровнем обертонов и медленно изменяющейся громкостью.
2. Рокочущий - физически означает небольшое периодическое изменение громкости и (или) высоты звука. В спектральной области означает возникновение боковых полос вокруг тона и гармоник.
3. Шепелявый, свистящий, шипящий, шумящий (для нетональных звуков) - означает наличие в звуке непериодических, случайных колебаний с достаточно широким непрерывным спектром. Первые три характеристики используются в основном по отношению к высокочастотным шумам.
Неплохим вариантом является также использование для описания тембра общих характеристик динамических процессов: отрывистый, резкий, слитный, вибрирующий. Но этого часто недостаточно и тогда используется множество слов из других областей ощущений - густой, мягкий, жесткий, прозрачный. Это следствие попытки передать непараметрическое ощущение тембра путем его ассоциации с другими явлениями. Такие описания желательно использовать только по необходимости, т.к. велика вероятность отличия ассоциаций собеседника от Ваших собственных.
Все три характеристики (высота, громкость, тембр) являются весьма парадоксальными. Вот некоторые (далеко не все) признаки этого.
1. Кривая огибающей, которая определяет громкость, может быть построена не единственным образом. Точный способ и параметры, которыми руководствуется слуховой аппарат, неизвестны.
2.Частота, определяющая ощущение высоты, и спектр, определяющий тембр, требует для своего определения некоторого времени. Однако высота, громкость и тембр слишком длительного тона на слух воспринимаются с большими погрешностями.
Ряд кратных частот, включающий основной тон и обертоны, называется натуральным звукорядом. Звукорядом вообще называется расположение звуков по высоте. Полный звукоряд современной музыкальной системы состоит из 88 звуков с частотами от 16 до 4176 Гц. Такой шаг сетки приблизительно соответствует разрешающей способности слуха по частоте (хотя существуют и мнения о значительно большей разрешающей способности слуха). Звуки, входящие в звукоряд называются ступенями. Ступени, частоты которых укладываются в ряд 1,2,4,8,16..., при одновременном воспроизведении сливаются, поэтому все ступени этого ряда имеют одинаковые наименования. Интервал между ними называется октавой (от лат. octava - восьмая), потому что этот интервал разбит на семь частей, и каждый восьмой звук образует интервал в 1 октаву. Так что термин "октава" - музыкальный и в технику пришел, вероятно, через электроакустику.
Семь ступеней, образующие октаву, называются до, ре, ми, фа, соль, ля, си. Весь звукоряд состоит из 7 полных и двух неполных октав:
-субконтроктава (3 звука);
-контроктава;
-большая октава;
-малая октава;
-1-4 октавы;
-5 октава (1 звук).
Музыкальный строй - ряд абсолютных частот ступеней. Современный музыкальный строй делит каждую октаву на 12 частей (называемых полутонами), причем ля 1-й октавы имеет частоту 440 Гц. Расстояние в два полутона называется целым тоном. Полутона определяют все основные ступени звукоряда (рис. 2.1, белые клавиши) и 5 дополнительных частот (черные клавиши).

Рис. 2.1. Фрагмент клавиатуры фортепиано
Промежуточные 5 ступеней считаются образуемыми от основных (альтерация) и называются так же, но с добавлениями: если повышать основную ступень на 0,5 тона, то добавляется "диез", если понижать, то "бемоль". Повышение / понижение на тон называется "дубль-диез" / "дубль-бемоль". При этом образуется ситуация, когда один звук может называться по-разному (энгармонизм звуков).
Диапазон музыкального инструмента - диапазон частот его тонов.
Форманта - область частот (не зависящая от высоты звука), в которой заметно усиливается звучание попадающих в нее обертонов или основного тона. Это своеобразное описание "амплитудно-частотной характеристики" музыкального инструмента.
Вибрато - небольшое периодическое изменение высоты (частотное вибрато) или амплитуды (амплитудное вибрато) музыкального звука. Периодичность вибрато находится в пределах от 5 до 7 Гц. Вероятно, красота вибрато связана с погрешностями слухового восприятия монохроматического звука.
Фазы музыкального звука
Атака.
Стабильная фаза.
Затухание.
Атака - переходный процесс, характеризующий установление музыкального звука. Это короткий (от долей до десятков мс), но важнейший этап звучания, в большой степени определяющий узнаваемость и натуральность звучания музыкальных инструментов (эффект присутствия). Попробуйте воспроизвести фонограмму "задом-наперед", при этом атака и затухание меняются местами. Определить вид музыкального инструмента оказывается практически невозможным.
Чередованием стабильных фаз создается мелодия.
Затухание определяет пространственность и глубину звука. В значительной степени характер затухания зависит от акустических свойств помещения.
3.2 Виды музыкальных источников
Совет: сопоставьте приводимые частотные диапазоны со стремлением обеспечить воспроизведение электроакустической аппаратурой диапазона от 20 Гц до 20 кГц.
Певческий голос
- диапазон от 80 до 1000 Гц для мужского голоса и от 160 до 1300 Гц для женского.
Основные характеристики качества:
1) тональный баланс между нижней (около 500 Гц) и верхней (около 3000 Гц) формантами. Нижняя форманта отвечает за теплоту и округлость звучания голоса, верхняя - за его блеск;
2) живость (изменчивость), динамические оттенки;
3) чистота вибрато и интонации;
4) разборчивость артикуляции.
Смычковые инструменты.
1) скрипка - диапазон от 136 до 2000 Гц;
2) альт - от 131 до 1100 Гц;
3) виолончель - от 65 до 700 Гц;
4) контрабас - от 41 до 240 Гц.
Все перечисленные инструменты занимают разные частотные диапазоны, однако имеют сходные признаки звучания.
Характеристики качества (и собственно инструмента, и исполнения):
1) тональный баланс между тремя ее формантами: первая - на частотах от 220 до 300 Гц (отвечает за полноту и звучность инструмента), вторая - в диапазоне частот от 600 до 800 Гц (у скрипок Страдивари она на частоте 630 Гц) и третья - в диапазоне от 1400 до 4500 Гц. Последняя форманта отвечает за сочность, "светлоту" и "полетность" звука.
2) пропорции между первыми ее шестью обертонами.
Как и в случае певческого голоса, главным для достижения натуральности звучания скрипки является передача живости (изменчивости) ее "голоса", чистоты интонации и вибрато, а также яркость воспроизведения штрихов. Все эти особенности звучания описываются критерием "ясность".
В противоположность описанному встречается очень детальное, ясное воспроизведение звучания смычковых инструментов, но звук при этом может восприниматься как "резкий" и "рваный", исчезает ощущение "пения". Такое звучание вызывает чувство дискомфорта и утомляет. Опыт показывает, что очень трудно добиться такой передачи звука смычковых, при которой в той или иной мере не наблюдался бы один из указанных дефектов.
Щипковые инструменты.
Все щипковые инструменты характеризуются быстрой атакой (от 1 до 5 мс) и длительным затуханием звука (от 1 до 5с).
1) клавесин - диапазон от 87 до 1400 Гц;
Звук клавесина чрезвычайно богат обертонами, которые заполняют практически весь средневысокочастотный диапазон слухового восприятия.
Характеристики качества: нежность, тонкость и очень высокая детальность звука.
2) акустическая гитара - от 81 до 1300 Гц.
Ее значение в экспертизе качества звучания электроакустической аппаратуры заключается в ее распространенности и общеизвестности тембра и характера звукоизвлечения. При воспроизведении через аудиосистему звучания гитары нужно обратить внимание на то, как звучит щипок - следует добиваться сходства с натуральным его звучанием.
3) арфа - от 34,6 до 3320 Гц. "Глиссандо" - быстрое проведение пальца одной руки (или пальцев обеих рук) по струнам инструмента.
4) контрабас щипковый - от 41 до 240 Гц.
Клавишные инструменты
Рояль - диапазон от 27,5 до 4186 Гц. Относительно глухой слабоокрашенный звук. Наилучшим образом подходит для проявленного воспроизведения мелодии.
Характеристики качества:
1) специфики тембров нижнего регистра (с присутствием легкого рокотания);
2) звучность среднего регистра;
3) яркость верхнего регистра;
4) разделенность звуков при игре staccato;
5) динамические оттенки.
Дефекты, наиболее часто встречающиеся при воспроизведении через аудиосистему звучания рояля: это неотчетливая или "надтреснутая" атака, а также неестественный или окрашенный тембр звучания его регистров. Невысокий уровень обертонов позволяет осуществлять слуховую оценку коэффициента гармоник аппаратуры.
Деревянные духовые инструменты.
1) флейта поперечная - диапазон от 261 до 2093 Гц;
2) кларнет - от 139 до 1500 Гц;
3) гобой - от 233 до 1568 Гц;
4) английский рожок - от 165 до 1800 Гц;
5) фагот - от 58 до 622 Гц.
Благодаря различию частот формант и специфическому распределению обертонов каждый инструмент этой группы имеет ярко выраженную индивидуальность.
Характеристики качества.
1) гладкость" и "текучесть" звучания (объясняется быстрым спадом к высоким частотам энергии обертонов);
2) плавность и чистота интонации.
Медные духовые инструменты
1) концертная труба - диапазон от 185 до 1046 Гц;
2) валторна - от 61 до 700 Гц;
3) тромбон - от 81 до 520 Гц.
Характеристики: яркое, выразительное звучание, особенно в области атаки. Атака длится от 20 до 100 мс и характеризуется быстрой и очень сложной перестройкой обертонального состава.
Ударные инструменты
1) кастаньеты - спектр в диапазоне от 0,6 до 16 кГц;
2) ксилофон - спектр распространяется до 9 кГц;
3) тарелка (большая оркестровая) - от 800 Гц до 18 кГц;
4) тарелка джазовая - от 500 Гц до 18 кГц;
5) малый барабан - спектр распространяется до 4 кГц. Сухой трескучий звук.
6) литавра большая - от 87 до 800 Гц. Чистый, звонкий и глубокий бас.
Все ударные инструменты характеризуются резкой атакой (меньше 1 мс у кастаньет и ксилофона и около 16 мс у большой литавры) и слабо выраженным тональным характером их звучания.
Характеристики качества:
1) динамика,
2) ясность передачи атаки,
3) отсутствие "окраски".
|