Банк рефератов содержит более 364 тысяч рефератов, курсовых и дипломных работ, шпаргалок и докладов по различным дисциплинам: истории, психологии, экономике, менеджменту, философии, праву, экологии. А также изложения, сочинения по литературе, отчеты по практике, топики по английскому.
Полнотекстовый поиск
Всего работ:
364139
Теги названий
Разделы
Авиация и космонавтика (304)
Административное право (123)
Арбитражный процесс (23)
Архитектура (113)
Астрология (4)
Астрономия (4814)
Банковское дело (5227)
Безопасность жизнедеятельности (2616)
Биографии (3423)
Биология (4214)
Биология и химия (1518)
Биржевое дело (68)
Ботаника и сельское хоз-во (2836)
Бухгалтерский учет и аудит (8269)
Валютные отношения (50)
Ветеринария (50)
Военная кафедра (762)
ГДЗ (2)
География (5275)
Геодезия (30)
Геология (1222)
Геополитика (43)
Государство и право (20403)
Гражданское право и процесс (465)
Делопроизводство (19)
Деньги и кредит (108)
ЕГЭ (173)
Естествознание (96)
Журналистика (899)
ЗНО (54)
Зоология (34)
Издательское дело и полиграфия (476)
Инвестиции (106)
Иностранный язык (62791)
Информатика (3562)
Информатика, программирование (6444)
Исторические личности (2165)
История (21319)
История техники (766)
Кибернетика (64)
Коммуникации и связь (3145)
Компьютерные науки (60)
Косметология (17)
Краеведение и этнография (588)
Краткое содержание произведений (1000)
Криминалистика (106)
Криминология (48)
Криптология (3)
Кулинария (1167)
Культура и искусство (8485)
Культурология (537)
Литература : зарубежная (2044)
Литература и русский язык (11657)
Логика (532)
Логистика (21)
Маркетинг (7985)
Математика (3721)
Медицина, здоровье (10549)
Медицинские науки (88)
Международное публичное право (58)
Международное частное право (36)
Международные отношения (2257)
Менеджмент (12491)
Металлургия (91)
Москвоведение (797)
Музыка (1338)
Муниципальное право (24)
Налоги, налогообложение (214)
Наука и техника (1141)
Начертательная геометрия (3)
Оккультизм и уфология (8)
Остальные рефераты (21692)
Педагогика (7850)
Политология (3801)
Право (682)
Право, юриспруденция (2881)
Предпринимательство (475)
Прикладные науки (1)
Промышленность, производство (7100)
Психология (8692)
психология, педагогика (4121)
Радиоэлектроника (443)
Реклама (952)
Религия и мифология (2967)
Риторика (23)
Сексология (748)
Социология (4876)
Статистика (95)
Страхование (107)
Строительные науки (7)
Строительство (2004)
Схемотехника (15)
Таможенная система (663)
Теория государства и права (240)
Теория организации (39)
Теплотехника (25)
Технология (624)
Товароведение (16)
Транспорт (2652)
Трудовое право (136)
Туризм (90)
Уголовное право и процесс (406)
Управление (95)
Управленческие науки (24)
Физика (3462)
Физкультура и спорт (4482)
Философия (7216)
Финансовые науки (4592)
Финансы (5386)
Фотография (3)
Химия (2244)
Хозяйственное право (23)
Цифровые устройства (29)
Экологическое право (35)
Экология (4517)
Экономика (20644)
Экономико-математическое моделирование (666)
Экономическая география (119)
Экономическая теория (2573)
Этика (889)
Юриспруденция (288)
Языковедение (148)
Языкознание, филология (1140)

Реферат: Методы и средства отображения информации

Название: Методы и средства отображения информации
Раздел: Рефераты по коммуникации и связи
Тип: реферат Добавлен 19:42:14 24 октября 2009 Похожие работы
Просмотров: 550 Комментариев: 15 Оценило: 3 человек Средний балл: 5 Оценка: неизвестно     Скачать

Реферат

ГОУ ВПО Магнитогорский государственный технический университет им. Г. И. Носова

Магнитогорск 2008

Методы отображения информации

Электронно-лучевые индикаторы

Электронно-лучевые индикаторы, или, как их чаще называют, электронно-лучевые трубки (ЭЛТ), являются наиболее распространенным и важным устройством в технике отображения информации. Работа ЭЛТ основана на создании управляемого сфокусированного пучка электронов, воздействующего на покрытый люминофорным веществом экран и вызывающего свечение отдельных его участков.

Монохромные ЭЛТ. На рис. 1 приведено схематическое изображение монохромной электронно-лучевой трубки с электростатической фокусировкой и электромагнитным отклонением луча. Сама трубка представляет собой узкий стеклянный цилиндр. Внутри цилиндра встроен набор электродов, составляющих электронно-оптическую систему, на поверхности цилиндра расположена пара отклоняющих катушек ОК. Вакуумное пространство внутри трубки, по которому распространяется пучок электронов, может быть разделено на три участка. Первый участок включает в себя катод К, покрытый оксидной пленкой и излучающий электроны при повышении его температуры с помощью отдельного нагревателя. Электроны эмиттируют с катода, когда их энергия превышает работу выхода с верхних энергетических уровней атома: эта энергия зависит как от материала катода, так и от его температуры. Освобождаясь, электроны имеют некоторую начальную скорость (см/с), определяемую по известной формуле кинетической теории газов:

,

где — постоянная Больцмана; Т — абсолютная температура, К; т — масса электрона.

Расположенный вблизи катода управляющий электрод-модулятор М имеет потенциал отрицательный относительно катода, поэтому через него пролетают лишь электроны, попадающие в отверстие. Этим создается как бы точечный источник электронов. Управляя потенциалом на модуляторе, можно регулировать интенсивность пучка.

Электроны, попадающие в конце своего пути на внутреннюю поверхность экрана Э с люминофорным покрытием, должны обладать достаточной энергией для возбуждения люминофора. Кроме того, светящееся пятно должно быть возможно меньшего размера, чтобы обеспечить хорошую разрешающую способность изображения. Это требует соответствующей фокусировки луча и его ускорения, что обеспечивается несколькими электродами, имеющими определенные потенциалы относительно катода. В основе действия этих электродов заложены принципы электронной оптики.

Электронный луч, проходящий в среде с некоторым потенциалом под углом , попадая на границу среды с потенциалом , меняет свое направление, распространяясь далее под углом . Таким образом происходит преломление электронного луча, которое подчиняется уравнению, аналогичному уравнению световой оптики:

,

где — электронный аналог показателя преломления среды.

С помощью определенной конфигурации электродов и подбора их потенциалов можно осуществлять различные электронно-оптические эффекты: фокусировку луча, рассеяние, отражение и т. д. Всю систему электродов на первом участке ЭЛТ, обеспечивающую формирование и усиление луча, иногда называют электронной пушкой.

На втором участке кинескопа расположена отклоняющая система. Действие отклоняющей системы заключается в направленном изменении прямолинейного пути электронов. Для отклонения пучка электронов может использоваться как электростатическое поле, так и магнитное. Для создания электростатического поля внутри трубки устанавливаются две пары электродов, отклоняющих луч во взаимно перпендикулярных направлениях. Напряжения на отклоняющих электродах должны быть очень высокими, причем тем выше, чем больше скорость движения электронов, т. е. яркость пятна.

При методе электромагнитного отклонения на небольшом участке электронного пучка прикладывается магнитное поле, возбуждаемое двумя парами катушек, устанавливаемых снаружи трубки. Одна пара катушек ОК сверху и снизу трубки отклоняет луч в горизонтальном направлении, другая пара по бокам трубки (на рис. 1 не показана) отклоняет луч в вертикальном направлении. Электрон, попадающий в магнитное поле, начинает двигаться по дуге и покидает участок отклонения под некоторым углом к направлению первоначального движения. Отметим, однако, что электромагнитные отклоняющие системы обеспечивают ограниченную скорость изменения направления луча. В основном это связано с реактивными параметрами катушек.

Экран ЭЛТ покрыт слоем люминофора. На нем создается изображение с требуемой яркостью, временем послесвечения и цветом. Причиной свечения является передача энергии от ускоренных электронов луча электронам, связанным с кристаллом люминофора, в результате чего последние переходят в возбужденное состояние. При их возвращении в нормальное состояние избыточная энергия выделяется в виде света. Этот физический эффект называют катодной люминесценцией. Люминофоры обычно состоят из смеси солей кальция, кадмия, цинка и некоторых других элементов. Наиболее широкое применение нашли сульфидные люминофоры. Наиболее широкое распространение в монохромных трубках получили белый и зеленый цвета. Время послесвечения экрана, т. е. время, необходимое для спадания яркости свечения от номинальной до первоначальной после прекращения действия электронного луча, также зависит от состава входящих в люминофор компонентов и может находиться в диапазоне от нескольких микросекунд до десятков секунд.

Другим важным физическим явлением, которое должно учитываться при использовании ЭЛТ, является вторичная электронная эмиссия. Она заключается в испускании вторичных электронов из материала люминофора при воздействии на него пучка первичных электронов. По мере увеличения интенсивности пучка количество эмиттированных вторичных электронов возрастает, и при определенном уровне энергии свечение люминофора не увеличивается. Таким образом, существует порог максимальной яркости светового пятна на экране, выше которого она не меняется с увеличением потенциала ускоряющего электрода. Для отвода вторичных электронов на внутреннюю поверхность конуса трубки наносят слой графита, находящийся под положительным потенциалом.

Цветные ЭЛТ. В ЭЛТ с теневой маской применяется метод диафрагмирования электронного луча. Маска помещена между тремя электронными пушками и трехцветным люминофором экрана. Она препятствует попаданию каждого луча на участки люминофора не соответствующего ему цвета.

На рис. 3 схематически показано расположение маски и экрана в цветной ЭЛТ с так называемым компланарным расположением пушек. Каждая из них оуществляет генерацию, фокусировку и ускорение луча. Внутри трубки пушки сориентированы таким образом, что их лучи, распространяясь в одной плоскости под некоторым углом друг к другу и проходя через любое из отверстий в маске, попадают каждый на полоску люминофора только определенного цвета. Цветные пятна, возбуждаемые лучом, благодаря близкому расположению, воспринимаются глазом как одно пятно некоторого производного цвета. Этот цвет зависит от пропорций основных цветов и может быть любым в области видимого спектра. Пропорции можно менять, управляя напряжением модулятора.

Рис. 3. Расположение электродов маски и экрана в цветной ЭЛТ с компланарным расположением пушек (К, 3, С - красный, зеленый, синий)

Цветные ЭЛТ значительно сложнее в изготовлении, чем монохромные. Они требуют очень точной установки элементов в процессе производства. Разрешающая способность цветных ЭЛТ ограничена количеством отверстий в маске.

Сложность конструкции трехпушечных ЭЛТ привела к поискам других методов реализации цветных изображений на экране. Наибольшую известность здесь получили два типа трубок, так называемые тринитрон и элмитрон. В ЭЛТ типа «тринитрон» все электронные лучи генерируются с помощью одной пушки. Она имеет три независимых катода и модулятора. В тринитроне также используется щелевая маска, однако удается получить изображение большей яркости. В обоих из описанных типах трубок предельная разрешающая способность определяется количеством и размерами отверстий в маске. Поэтому интерес представляют цветные трубки типа «элмитрон», в которых маски не используются, а цвет свечения люминофора зависит от глубины проникновения электронного луча и, следовательно, от энергии последнего.

Недостатком является то, что в схеме управления индикатором должен быть предусмотрен быстродействующий высоковольтный переключатель. С целью избежать этого иногда используются двухпушечные ЭЛТ. Трубки типа «элмитрон» используются в технике отображения, когда необходимо получить высокую разрешающую способность при ограниченном цветном диапазоне.

Запоминающие ЭЛТ, или ЭЛТ «прямого видения», используются для преобразования однократно подаваемых на отклоняющую систему сигналов в видимое изображение, сохраняемое на экране в течение длительного времени. В таких трубках управляемый электронный пучок не воздействует непосредственно на люминофор экрана, имеющий небольшое время послесвечения, а создает «потенциальный рельеф» изображения на специальной плоской мишени, расположенной внутри трубки.

Конструкция запоминающей ЭЛТ схематично представлена на рис. 4. Запоминающая поверхность состоит из тонкой металлической сетки, на которую со стороны экрана осажден слой диэлектрика. Внутри колбы размещены две электронные пушки: записывающая, которая формирует модулируемый и адресуемый отклоняющей системой высокоэнергетический пучок, и воспроизводящая, в которой создается интенсивный расходящийся пучок электронов с невысокой энергией. Специальные кольцевые электроды, расположенные на стенках трубки и находящиеся под определенным потенциалом, создают электростатическое поле, благодаря которому медленные электроны двигаются перпендикулярно мишени, равномерно распределяясь по ее поверхности.

Рис. 4. Схематическое изображение конструкции запоминающей трубки:

ЗП – записывающая пушка; ВП – воспроизводящая пушка; ОК – отклоняющие катушки; К – коллекторная сетка; С – сетка мишени; Д – диэлектрик; КЭ – кольцевые электроды; АЭ – алюминированный экран.

Основным преимуществом запоминающей ЭЛТ является простота индикаторов, создаваемых на их базе отсутствие мерцания и высокая яркость. Разрешающая способность экрана в них также достаточно высока и определяется размером и количеством отверстий в сетке мишени. Однако важным недостатком индикаторов на запоминающих трубках, ограничивающим их использование во многих областях, является невозможность избирательного стирания информации. Применяются они в основном в качестве устройства вывода графических данных из машины и в радиолокационных системах.

Электролюминесцентное излучение возникает в результате приложения электрического поля к люминофорному материалу. Интенсивность излучения зависит от напряженности ноля, а также часто ты его изменения, если поле переменное. Свечение связано с ускорением движения носителей зарядов в люминофоре, для чего требуется достаточно высокая напряженность поля (порядка 103- 106 В/см). Наиболее распространенным люминофором является сульфид цинка (ZnS) с примесями меди, марганца и некоторых других элементов. От типа люминофора и количества примесей зависим цвет излучения, перекрывающий практически всю видимую область спектра.

Распространение в области отображения информации получили два основных типа электролюминесцентных индикаторов (ЭЛИ): построенных на основе порошковых люминофоров, возбуждаемых постоянным напряжением, и с использованием люминофоров в виде тонкой пленки, возбуждаемых высокочастотным переменным напряжением.

Основой электролюминесцентного элемента постоянного тока является порошкообразный люминофор, кристаллы которого вместе с примесями распределены в связующем веществе. Этот состав наносят на прозрачную пластину с проводящим покрытием (обычно используется слой оксида олова). С другой стороны к люминофору прикладывают тонкую металлическую пластину (фольгу). Вся конструкция размещена в пластмассовом корпусе и герметизирована (рис. 5.).

Рис. 5. Конструкция электролюминесцентного элемента постоянного тока:

1 – люминофорный слой; 2 – металлический электрод; 3 – выводные контакты; 4 – герметический корпус; 5 – прозрачный электрод (); 6 – стеклянная подложка

Важным преимуществом электролюминесцентных элементов является их малая толщина, позволяющая конструировать компактные индикаторы. Управляются они напряжениями порядка 50 — 100 В, однако по яркости и контрастности уступают многим другим типам излучающих элементов.

В среднем для ЭЛИ постоянного тока при питающем напряжении около 100 В яркость свечения составляет примерно 300 кд/м2. Характерным для этих элементов является уменьшение их световой Мощности в процессе эксплуатации, что связано с миграцией примесей в люминофоре в зонах контакта с электродом. Срок службы элементов может быть увеличен, если осуществить их питание импульсным напряжением. Отметим также важную для некоторых применений способность ЭЛИ менять цвет излучения в зависимости от приложенного напряжения.

Тонкопленочные индикаторы переменного тока являются наиболее перспективными приборами, реализующими принцип электролюминесценции. Слой люминофора размещают между слоями диэлектрика, обеспечивающими гальваническое разделение его с электродами (рис. 6.). Все слои создаются с помощью технологии напыления в вакууме на стеклянную подложку. Долговечность таких ЭЛИ значительно выше, чем порошковых, питающее их высокочастотное напряжение составляет 150 — 250 В.

Рис. 6. Структура слоев тонкопленочного электролюминесцентного индикатора переменного тока:

1 – прозрачный электрод; 2 – пленка люминофора; 3 – металлический электрод; 4 – светопоглощающий диэлектрик; 5 – прозрачный диэлектрик; 6 – стеклянная подложка

1.3. Светодиодные индикаторы

Светоизлучающие диоды (СИД) представляют собой твердотельные приборы, работающие на р-п-переходах, образованных в полупроводниковом материале. В их основе лежит принцип инжекционной люминесценции. Эксплуатационные достоинства СИД способствовали их широкому использованию в вычислительной и другой аппаратуре в качестве дискретных индикаторов.

Рассмотрим коротко физические основы работы светоизлучающих диодов. Известно, что в полупроводниках внешние оболочки атомов, создающих кристаллическую структуру, в результате значительного сближения образуют определенные энергетические зоны. В так называемой валентной зоне располагаются электроны, обеспечивающие связь атомов в кристалле. Отдельные электроны под воздействием тепловой энергии могут переходить в другую зону, называемую зоной проводимости. При этом переходе образуется свободное энергетическое состояние, получившее название дырка. Электроны и дырки рассматриваются как частицы, имеющие соответственно отрицательный и положительный заряды. Введение в материал полупроводника определенных примесей создает избыток электронов или дырок, образуя область проводимости п- или p-типа. Когда области обоих типов выполнены в одном кристалле, они образуют р-п-переход. Через него могут диффундировать заряды, образуя так называемые неосновные носители, т. е. носители зарядов, имеющих знак, противоположный основным (электроны в р-области и дырки в п-области). Диффузия продолжается до тех пор, пока не установится потенциальный барьер, препятствующий движению носителей заряда.

Обычно возвращаемая энергия выделяется в виде теплоты, однако при определенных условиях (сохранение энергии и импульса при рекомбинации) происходит излучение фотона. В зависимости от материала полупроводника и концентрации примесей излучение имеет определенную длину волны, что позволяет создавать СИД с различным цветом свечения. Так как переход электронов осуществляется не с дискретных уровней, а с зон разрешенных состояний, имеющих определенную ширину, то излучение не является монохроматическим.

Рис. 9. Конструкция светоизлучающего диода:

1 – полупроводниковый слой p-типа; 2 – прозрачная подложка; 3 – полупроводниковый слой п-типа; 4 – керамический корпус; 5 – электрод

Изготавливаются СИД в виде дискретных элементов отображения (рис. 9), в виде монолитных полосково-сегментных приборов, а также в виде небольших матриц с - адресацией. В настоящее время промышленностью выпускаются в основном приборы, излучающие в красном, зеленом и желтом диапазонах при яркостях примерно в 100 кд/м2. Монолитные кристаллы СИД имеют площадь не более 1 – 2 см2, однако уже длительное время ведутся работы по созданию на их базе плоских цветных телевизионных экранов.

1.4. Газоразрядные индикаторы

В принципе любой газоразрядный прибор представляет собой заполненную инертным газом изолированную от внешней среды ячейку, внутри которой на близком расстоянии друг от друга расположены два электрода. Широкое распространение в технике получили газоразрядные приборы типа неоновых ламп, тиратронов тлеющего разряда, линейных газоразрядных индикаторов и пр. Их область применения ограничена в основном сигнализацией состояния различных устройств и объектов.

В простых устройствах отображения цифровой и знаковой информации нашли применение индикаторные лампы тлеющего разряда. Их особенностью является наличие нескольких фигурных катодов в одном баллоне.

Значительно расширилась область применения газоразрядных индикаторов с появлением матричных цифровых панелей (плазменных панелей). Они представляют собой плоский экран, на котором любое изображение создается большим числом светоизлучающих газоразрядных элементов, образованных на пересечениях горизонтальных и вертикальных электродов.

Существуют два основных типа плазменных панелей: постоянного тока с внешней адресацией и переменного тока с запоминанием информации. Панели постоянного тока имеют плоскую трехслойную конструкцию, в которой между двумя стеклянными пластинами с нанесенной на их внутреннюю поверхность системой взаимно перпендикулярных полупрозрачных электродов расположена перфорированная изолирующая матрица. Отверстия в матрице заполнены газом и размещаются в местах пересечения электродов. Свечение возникает при подаче на соответствующую пару электродов напряжений. Для получения устойчивого изображения необходимо последовательно подавать высоковольтное напряжение на требуемые точки.

Более широкое распространение получили газоразрядные панели постоянного тока с самосканированием, которые хотя и значительно сложнее по конструкции, но свободны от некоторых недостатков, в частности, в них имеется возможность параллельного ввода информации во все строки, что значительно упрощает управляющие цепи.

Газоразрядная ячейка переменного тока отличается от ячейки постоянного тока тем, что ее электроды гальванически изолированы от газовой смеси диэлектрическими прокладками и по существу ячейка представляет собой конденсатор.

Рис. 11. Общий вид (а) и поперечное сечение (б) фрагмента конструкции плазменной панели переменного тока

Конструкция панели переменного тока показана на рис. 11. На двух стеклянных подложках 3 расположен набор параллельных проводников, вертикальных 2 и горизонтальных 4, покрытых слоем прозрачного диэлектрика 1. Между обкладками с помощью герметизирующей рамки 5 образуется камера, заполненная газовой смесью 6. Наборы проводников взаимно перпендикулярны и в точках их пересечения образуются газоразрядные элементы. При зажигании элемента создается светящаяся точка. Наборы точек обеспечивают отображение необходимой информации. Яркость светящихся точек достаточно высока и не зависит от размерности матрицы.

.Ряд важных преимуществ плазменных панелей – плоскостность экрана, высокая разрешающая способность (уже созданы панели с матрицей 10241024 точки), возможность работы в непрерывном режиме без мерцания и искажения изображения, хорошая видимость при ярком освещении – делает их одними из наиболее перспективных индикаторов для использования в системах отображения высокой информативности.

1.5. Жидкокристаллические индикаторы

Жидкие кристаллы – это сложные органические соединения, характеризующиеся сочетанием свойств жидкости (например, текучестью) и кристалла (оптической анизотропией). Среди множества веществ такого типа для индикаторов выбирают те, которые сохраняют свои свойства в достаточно широком диапазоне температур (обычно 0—70° С). Наличие анизотропии и возможность управляемой перестройки структуры жидкого кристалла дают возможность использовать два типа оптических эффектов: изменение коэффициента отражения света (при его пропускании) и изменение характера поляризации лучей при отражении света. Таким образом, в отличие от описанных индикаторов жидкокристаллические ячейки требуют обязательной внешней подсветки, выполняя роль модуляторов при пропускании или отражении света.

Широкое распространение для целей индикации получило использование в жидких кристаллах так называемого «твист-эффекта». В ячейке, получаемой в результате заполнения жидкокристаллическим веществом полости между двумя стеклянными пластинками, на внутренней поверхности которых нанесены прозрачные электроды (рис. 13.), ориентация молекул постепенно меняется от верхнего слоя к нижнему. Это достигается с помощью определенной технологии изготовления ячейки. При наложении электрического поля молекулы раскручиваются и ориентируются в направлении вектора напряженности электрического поля. Фаза света при прохождении через ячейку в этом случае не меняется. Помещая на входе и выходе ячейки пленочные поляризаторы, обеспечивают блокировку света определенной фазы и пропускание его при повороте плоскости поляризации на 90°. Тем самым задаются включенное и выключенное состояния приборов. Малая потребляемая мощность, плоскостность конструкции и невысокая стоимость делают жидкокристаллические индикаторы (ЖКИ) одним из самых удобных средств отображения знаковой информации в малогабаритных электронных устройствах (часы, калькуляторы, измерительные приборы и пр.). Однако широкое применение этих индикаторов ограничено рядом принципиальных недостатков. Отметим среди них относительно невысокий коэффициент контраста (не более 20 в лучших образцах). Этот коэффициент значительно падает при отклонении утла наблюдения от нормали (обычно допустимый угол обзора не превышает 45°). Жидкокристаллические приборы очень инерционны, время их переключения составляет десятки и даже сотни миллисекунд и зависит от температуры.

Рис. 13. Конструкция жидкокристаллического индикатора:

1 – прозрачные электроды; 2 – жидкокристаллическое вещество; 3 – стеклянные пластины; 4 – герметизирующая рамка

Серийно выпускаемые ЖКИ выполнены в виде единичных знаковых модулей либо в виде небольших табло из наборов этих модулей.

1.6. Принципы отображения информации на больших экранах

Для отображения информации, используемой одновременно группой людей, применяются экраны больших форматов с рабочей поверхностью от одного до десятков квадратных метров. Преобразование информации, выводимой на большой экран, основывается на самых различных принципах. Множество известных устройств работает с промежуточным носителем информации: фотопленкой, фотополупроводниковой пластиной и т. д. Полученное на таком носителе изображение проецируется с помощью оптической системы на экран. При хорошем качестве отображения все эти устройства в принципе не могут работать в реальном масштабе времени с системой, включающей ЭВМ, ввиду чего область их применения ограничена.

Проекционные ЭЛТ, известные достаточно давно, в последние годы значительно усовершенствованы. Основные требования к таким трубкам - повышенная яркость при малых габаритных размерах. Это достигается применением люминофоров с высокой светоотдачей и увеличением анодного напряжения (до 40—80 кВ). При относительно небольших размерах трубки с ее поверхности удается получить световой поток порядка 1000 лм. На базе такой ЭЛТ строятся системы с экраном размером до 33 м. Ввиду большой мощности электронного пучка здесь возникает необходимость использовать принудительное охлаждение трубки и специальную защиту от рентгеновского излучения. Другим недостатком является чувствительность к уровню внешней засветки экрана, что ограничивает область применения таких устройств.

Светоклапанные проекционные системы обеспечивают значительно лучшее качество изображения в условиях внешней засветки и большие размеры экрана, хотя они и сложнее по конструкции, чем системы с проекционными ЭЛТ. Под общим термином «светоклапанные» объединены все устройства, которые модулируют свет внешнего источника, меняя параметры пропускающей его среды. Наиболее распространены устройства, в которых изменяющейся средой является тонкая масляная пленка с определенными оптическими и электрическими характеристиками. Принцип работы светоклапанного устройства отображения упрощенно показан на рис. 14. Свет от мощного источника с линзовой оптикой 1 обеспечивающей равномерность потока, попадает на щелевое зеркало 2 и отражается им на сферическое зеркало 6, покрытое масляной пленкой 7. Зеркала сориентированы таким образом, что при гладкой пленке свет, отражаясь, возвращается в направлении к источнику, а экран 4 остается незасвеченным. Деформация пленки в какой-либо точке вызывает отклонение отражающегося от нее луча, который, проходя через щель зеркала 2, попадает с помощью проекционной оптики 3 в определенную точку экрана. Яркость свечения пятна на экране определяется степенью деформации пленки, которая, в свою очередь, зависит от величины заряда, устанавливаемого на ее поверхности электронным пучком. При снятии заряда пленка достаточно быстро приходит к исходному состоянию. Скорость процесса деформации и восстановления зависит от вязкости пленки и температуры. Электронная пушка 5, генерирующая электронный пучок, заключена в общую со сферическим зеркалом стеклянную оболочку, в которой поддерживается вакуум. Пучок фокусируется, отклоняется электромагнитной системой и модулируется по мощности аналогично тому, как это происходит в обычных ЭЛТ. Отображение информации осуществляется растровым способом по телевизионному стандарту. В некоторых устройствах достигается и более высокая разрешающая способность (до 1000 строк).

Рис. 14. Упрощенная схема расположения элементов светоклапанного устройства

Для поддержания работоспособности описанного устройства необходим ряд мер, усложняющих его конструкцию. В частности, требуется поддерживать постоянный химический состав и температуру пленки, удалять примеси и остаточные заряды, обеспечивать работоспособность катода и т. д.

Описаны также проекционные системы, работающие на пропускание света, в которых модулятором является ЖК панель. Участки панели меняют коэффициент пропускания под воздействием оптических или электрических сигналов.

Лазерные средства отображения на большой экран находятся в настоящее время в стадии эксперимента, однако важные достоинства — высокая разрешающая способность, быстродействие, возможность цветных изображений, отсутствие необходимости в промежуточных носителях — позволяют считать их наиболее перспективными из имеющихся средств коллективного пользования. Используемые для этой цели лазеры имеют непрерывный режим работы со стабильной выходной мощностью. Это обычно криптоновые ионные лазеры, излучающие красный цвет, и аргоновые, излучающие синий или зеленый цвет.

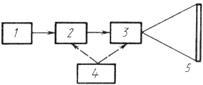
Наиболее развиты методы, при которых изображение создается непосредственно лучами лазера, направляемыми на экран. В упрощенном виде схема лазерного устройства отображения приведена на рис. 15. Электрооптический модулятор работает на принципе вращения плоскости поляризации. На выходе модулятора действует анализатор, пропускающий амплитуду когерентного излучения, пропорциональную косинусу угла поляризации. Угол поляризации меняется в зависимости от приложенного к модулятору электрического напряжения. Управляя поляризацией луча воздействием напряжения на кристалл (вводя фазовое запаздывание на 180°), можно обеспечить его распространение в одном из двух фиксированных направлениях. В принципе, имея набор аналогичных переключателей, через которые последовательно проходит луч, можно дискретно управлять его проекцией на экран.

Рис. 15. Схема лазерного устройства отображения:

1 – лазер; 2 – электрооптический модулятор; 3 – отклоняющая система (дефлектор); 4 – управление модулятором и дефлектором; 5 – экран

Основные трудности в развитии лазерных устройств отображения в настоящее время заключаются в высокой сложности управляющих электрооптических блоков, обеспечении стабильности их работы в обычных условиях. Проблемой является также достижение достаточной яркости изображения на большом экране, так как излучение лазеров имеет значительно более низкую световую отдачу, чем излучение обычных источников.

2. Средства отображения информации

Для современных средств отображения информации характерно значительное разнообразие реализованных в них физических принципов. Увеличиваются функциональные возможности универсальных УОИ. С другой стороны, расширение области их применения приводит к созданию разнообразных узко специализированных устройств. Наиболее четко средства отображении могут быть разделены по используемым в индикаторах физическим принципам. Их особенности решающим образом сказываются на конструкции и функциональных возможностях УОИ.

По прочим признакам технические средства отображения могут быть классифицированы следующим образом.

По типу представляемой информации УОИ подразделяются на устройства, реализующие отображение: дискретных сигналов, цифровых данных, условных графических образов, мнемосхем, алфавитно-цифровой информации, квазиграфической информации, универсальной графической информации.

Отображение дискретных сигналов (но типу «да - нет») имеет место в электротехнических и радиотехнических устройствах. Отображение чисто цифровой информации необходимо в различных устройствах вычислительной и измерительной техники. Это наиболее массовые типы индикаторов. Реализация таких индикаторов в настоящее время в основном осуществляется на базе твердотельных элементов люминесцентного, светодиодного и жидкокристаллического типов.

Для обозначения часто встречающихся явлений и событий иногда используются условные графические образы. Мнемосхемы используются для отображения сложных структур и в условном виде обозначают объекты и явления с учетом связей между ними. При индивидуальном использовании мнемосхемы реализуются на экранных индикаторах различного типа, при групповом — строятся из набора дискретных элементов.

Отображение алфавитно-цифровой информации охватывает наибольшее число применений, в том числе в области АСУ различном назначения. Реализация текстов осуществляется в основном на экранах ЭЛТ, а также на различных плоских панелях: газоразрядных, люминесцентных и др. Добавление к знаковой информации графических элементов позволяет без изменения технической структуры УОИ обеспечить отображение простейших рисунков, относящихся к так называемой информационной графике. Средства отображения такого рода получили название квазиграфических (иногда псевдографических). Наиболее совершенные дисплейные устройства позволяют отображать любую графическую информацию (в том числе и символьную), сложность которой ограничивается лишь разрешающей способностью и емкостью экрана.

По способу формирования изображения УОИ подразделяют на устройства дискретно-знаковые, дискретно-матричные, функциональные и растровые.

В первом случае каждый дискретный знак формируется отдельно адресуемым индикаторным элементом. Возможности таких приборов определяются набором знаков в каждом индикаторе и их нищим количеством. При отображении средних и больших объемов информации такой метод мало эффективен.

При дискретно-матричном способе формирование изображения осуществляется с помощью большого числа точечных элементов, которые собраны в столбцы и строки. Чтобы высветился элемент, расположенный на пересечении определенных строки и столбца, он должен иметь порог включения, который превышается только в месте пересечения, на остальные элементы при этом должен поступать сигнал, по амплитуде меньший порогового. Большинство устройств такого типа реализуется в виде плоских панелей на базе электролюминесценции, газового разряда и некоторых других физических принципов.

Следующие два способа формирования изображения относятся главным образом к индикаторам, построенным на базе ЭЛТ. Функциональный (или векторный) метод предусматривает построение информационных образов (символьных или графических) путем произвольного отклонения луча. При растровом методе подсвет элементов изображения осуществляется в определенные моменты времени синхронно с постоянной разверткой луча по экрану.

По характеру использования средства отображения разделяют на индивидуальные и коллективные (массовые). Различные экранные и матричные средства, предназначенные для использования одним оператором, наиболее распространены в технике отображения. В некоторых крупных пунктах управления и информационных системах используются индикаторные устройства больших размеров, позволяющие осуществлять групповое взаимодействие операторов или выдавать справочную информацию массовому пользователю.

По степени программирования УОИ могут быть разделены на устройства с постоянными (непрограммируемыми) функциями, устройства с программируемыми функциями и параметрами (гибкие устройства) и устройства с возможностью программной обработки данных (активные или интеллектуальные средства отображения). Возможность изменения функций и параметров (например, форматов и алфавита) определяется конструкцией УОИ и его схемой управления, которые при этом достаточно сложны, возможность же обработки данных требует использования в составе УОИ микро-ЭВМ. Усложнение управления целесообразно в дисплеях с широкими возможностями по отображению информации, которые обеспечивают ЭЛТ или многоэлементные плоские панели.

По характеру связи с пользователем средства отображения разделяют на информирующие, запросно-справочные и диалоговые. В первом случае имеется в виду односторонний характер предоставления визуальной информации пользователю от центральной системы или датчиков. Во втором и третьем случаях возможен двусторонний обмен информацией. В запросно-справочных системах оператор передает системе заранее обусловленные команды, но не может модифицировать или вводить данные. В диалоговых системах такая возможность ему предоставляется. Последний тип связи получил наибольшее развитие при работе УОИ в системах с ЭВМ, а также в персональных ЭВМ.

Перечислим в заключение некоторые основные технические параметры, характеризующие УОИ. К ним могут быть отнесены: размер поля отображения; информационная емкость экрана; быстродействие; количество и тип отображаемых элементов (при их фиксации); наличие и объем автономной памяти; эргономические характеристики (разрешающая способность, яркость, мелькание, цвет и пр.); габаритные размеры и энергетические показатели.

В данном разделе основное внимание уделено техническим средствам отображения, получившим в настоящее время широкое распространение в различных автоматизированных системах обработки информации и управления. К ним относятся алфавитно-цифровые и графические дисплеи на ЭЛТ, а также некоторые типы матричных приборов.

Оценить/Добавить комментарий
Имя
Оценка
Комментарии:
Срочная помощь учащимся в написании различных работ. Бесплатные корректировки! Круглосуточная поддержка! Узнай стоимость твоей работы на сайте 64362.ru
02:44:28 11 сентября 2021
Привет студентам) если возникают трудности с любой работой (от реферата и контрольных до диплома), можете обратиться на FAST-REFERAT.RU , я там обычно заказываю, все качественно и в срок) в любом случае попробуйте, за спрос денег не берут)
Olya06:54:05 25 августа 2019
.
.06:54:04 25 августа 2019
.
.06:54:03 25 августа 2019
.
.06:54:03 25 августа 2019

Смотреть все комментарии (15)
Работы, похожие на Реферат: Методы и средства отображения информации

Назад
Меню
Главная
Рефераты
Благодарности
Опрос
Станете ли вы заказывать работу за деньги, если не найдете ее в Интернете?

Да, в любом случае.
Да, но только в случае крайней необходимости.
Возможно, в зависимости от цены.
Нет, напишу его сам.
Нет, забью.



Результаты(286326)
Комментарии (4153)
Copyright © 2005-2021 HEKIMA.RU [email protected] реклама на сайте